Cập nhật lần cuối :
27/04/2026
Kháng sinh   Minocycline hydrochloride  
Dạng tiêm
Dung dịch uống
Tính ổn định của các dung dịch Độ ổn định khi trộn lẫn Những yếu tố ảnh hưởng đến độ ổn định Khả năng tương thích Đường dùng Tài liệu tham khảo Pdf
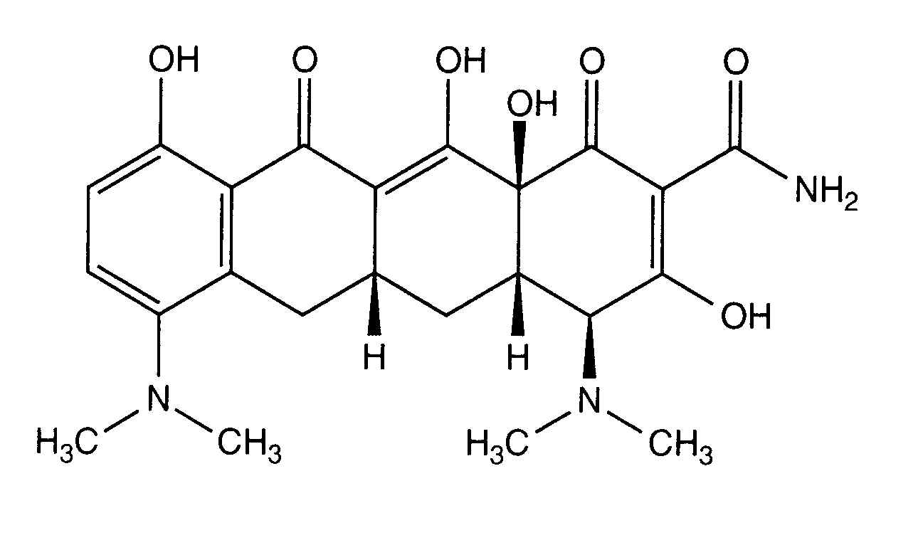
   Cấu trúc hóa học  

Tên thương mại   Tên thương mại     

Các tên thương mại được cung cấp và thành phần tá dược có thể khác nhau giữa các quốc gia và các hãng dược

Minocin Hoa Kỳ
Khả năng tương thích   Dạng tiêm   Khả năng tương thích : Minocycline hydrochloride              
Màn hình này cho biết khả năng tương thích hoặc không tương thích, trong trường hợp này là loại không tương thích (kết tủa, thay đổi màu sắc, sửa đổi nhũ tương, v.v.). Sự tương hợp được chỉ ra ở đây chủ yếu chỉ là vật lý, với độ ổn định hóa học của mỗi phân tử hiếm khi được đánh giá. Việc đánh giá các hỗn hợp này được nghiên cứu để xem xét khả năng sử dụng vị trí Y cho bệnh nhân. Những dữ liệu này không thể được sử dụng để tạo hỗn hợp trước trong túi hoặc ống tiêm. Loại thông tin này có sẵn trong màn hình "Độ ổn định trong hỗn hợp».
Phân tử Dung môi Mục lục
Thay đổi màu sau 4 giờ Không tương thích
Dạng tiêm Minocycline hydrochloride 0.2 mg/ml
Dạng tiêm Allopurinol sodium 3 mg/ml
NaCl 0,9% 307
Lượng mưa ngay lập tức Không tương thích
Dạng tiêm Minocycline hydrochloride
Dạng tiêm Calcium chloride
5058
Lượng mưa ngay lập tức Không tương thích
Dạng tiêm Minocycline hydrochloride
Dạng tiêm Calcium glucoheptonate
5058
Không tương thích không xác định Không tương thích
Dạng tiêm Minocycline hydrochloride
Dạng tiêm Calcium gluconate
3644
Lượng mưa ngay lập tức Không tương thích
Dạng tiêm Minocycline hydrochloride
Dạng tiêm Calcium gluconate
5058
Tương thích
Dạng tiêm Minocycline hydrochloride 0.2 mg/ml
Dạng tiêm Cisatracurium besylate 0.1 >> 5 mg/ml
Glucose 5% 299
Tương thích
Dạng tiêm Minocycline hydrochloride 0.2 mg/ml
Dạng tiêm Docetaxel 0.9 mg/ml
Glucose 5% 1754
Không tương thích không xác định Không tương thích
Dạng tiêm Minocycline hydrochloride
Dạng tiêm Erythromycin lactobionate
3674
Tương thích
Dạng tiêm Minocycline hydrochloride 0.2 mg/ml
Dạng tiêm Etoposide phosphate 5 mg/ml
Glucose 5% 1410
Tương thích
Dạng tiêm Minocycline hydrochloride 0.2 mg/ml
Dạng tiêm Filgrastim 30 µg/ml
Glucose 5% 244
Lượng mưa ngay lập tức Không tương thích
Dạng tiêm Minocycline hydrochloride 1 mg/ml
Dinh dưỡng đường tĩnh mạch (có lipids) 4440
Thay đổi màu sắc Không tương thích
Dạng tiêm Minocycline hydrochloride 0.2 mg/ml
Dạng tiêm Amifostine 10 mg/ml
Glucose 5% 3
Tương thích
Dạng tiêm Minocycline hydrochloride 0.2 mg/ml
Dạng tiêm Aztreonam 40 mg/ml
Glucose 5% 99
Tương thích
Dạng tiêm Minocycline hydrochloride 0.2 mg/ml
Dạng tiêm Fludarabine phosphate 1 mg/ml
Glucose 5% 492
Lượng mưa ngay lập tức Không tương thích
Dạng tiêm Minocycline hydrochloride
Dạng tiêm Folinate calcium
5058
Tương thích
Dạng tiêm Minocycline hydrochloride 0.2 mg/ml
Dạng tiêm Gemcitabine hydrochloride 10 mg/ml
NaCl 0,9% 1423
Tương thích
Dạng tiêm Minocycline hydrochloride 0.2 mg/ml
Dạng tiêm Granisetron hydrochloride 0.05 mg/ml
Glucose 5% 182
Tương thích
Dạng tiêm Minocycline hydrochloride 0.2 mg/ml
Dạng tiêm Heparin sodium 1 UI/ml
Dung dịch Ringer’s lactate 1228
Tương thích
Dạng tiêm Minocycline hydrochloride 0.2 mg/ml
Dạng tiêm Heparin sodium 1 UI/ml
NaCl 0,9% 1228
Tương thích
Dạng tiêm Minocycline hydrochloride 0.2 mg/ml
Dạng tiêm Heparin sodium 1 UI/ml
Glucose 5% 1228
Tương thích
Dạng tiêm Minocycline hydrochloride 50 mg/ml
Dạng tiêm Hydrocortisone sodium succinate 1 mg/ml
Glucose 5% 1228
Tương thích
Dạng tiêm Minocycline hydrochloride 50 mg/ml
Dạng tiêm Hydrocortisone sodium succinate 1 mg/ml
Dung dịch Ringer’s lactate 1228
Tương thích
Dạng tiêm Minocycline hydrochloride 50 mg/ml
Dạng tiêm Hydrocortisone sodium succinate 1 mg/ml
NaCl 0,9% 1228
Thay đổi màu sau 1 giờ Không tương thích
Dạng tiêm Minocycline hydrochloride 0.2 mg/ml
Dạng tiêm Hydromorphone hydrochloride 0.2 mg/ml
Glucose 5% 405
Lượng mưa ngay lập tức Không tương thích
Dạng tiêm Minocycline hydrochloride
Dạng tiêm Levofolinate calcium
5058
Tương thích
Dạng tiêm Minocycline hydrochloride 0.2 mg/ml
Dạng tiêm Linezolid 2 mg/ml
Không 1925
Tương thích
Dạng tiêm Minocycline hydrochloride 0.2 mg/ml
Dạng tiêm Magnesium sulfate 16.67 >> 100 mg/ml
Glucose 5% 1047
Tương thích
Dạng tiêm Minocycline hydrochloride 0.2 mg/ml
Dạng tiêm Melphalan 0.1 mg/ml
NaCl 0,9% 169
Không tương thích không xác định Không tương thích
Dạng tiêm Minocycline hydrochloride
Dạng tiêm Mitomycin
4471
Không ổn định hóa học Không tương thích
Dạng tiêm Minocycline hydrochloride
Dạng tiêm Mitomycin
3128
Thay đổi màu sau 1 giờ Không tương thích
Dạng tiêm Minocycline hydrochloride 0.2 mg/ml
Dạng tiêm Morphine sulfate 1 mg/ml
Glucose 5% 405
Không tương thích không xác định Không tương thích
Dạng tiêm Minocycline hydrochloride
Dạng tiêm Morphine sulfate
3531
Thay đổi màu sau 4 giờ Không tương thích
Dạng tiêm Minocycline hydrochloride 0.2 mg/ml
Dạng tiêm Pemetrexed disodium 20 mg/ml
NaCl 0,9% 1953
Thay đổi màu sau 1 giờ Không tương thích
Dạng tiêm Minocycline hydrochloride 0.2 mg/ml
Dạng tiêm Pethidine hydrochloride 10 mg/ml
Glucose 5% 405
Lượng mưa ngay lập tức Không tương thích
Dạng tiêm Minocycline hydrochloride 1 mg/ml
Dạng tiêm Piperacillin sodium / tazobactam 40/5 mg/ml
Glucose 5% 81
Tương thích
Dạng tiêm Minocycline hydrochloride 50 mg/ml
Dạng tiêm Potassium chloride 40 mEq/l
Glucose 5% 1228
Tương thích
Dạng tiêm Minocycline hydrochloride 50 mg/ml
Dạng tiêm Potassium chloride 40 mEq/l
NaCl 0,9% 1228
Tương thích
Dạng tiêm Minocycline hydrochloride 50 mg/ml
Dạng tiêm Potassium chloride 40 mEq/l
Dung dịch Ringer’s lactate 1228
Tương thích
Dạng tiêm Minocycline hydrochloride 0.2 mg/ml
Dạng tiêm Teniposide 0.1 mg/ml
Glucose 5% 905
Sự mất ổn định tức thì của nhũ tương Không tương thích
Dạng tiêm Minocycline hydrochloride 0.2 mg/ml
Dinh dưỡng đường tĩnh mạch (có lipids) 1415
Lượng mưa ngay lập tức Không tương thích
Dạng tiêm Minocycline hydrochloride 0.2 mg/ml
Dạng tiêm Propofol 10 mg/ml
Không 300
Tương thích
Dạng tiêm Minocycline hydrochloride 0.2 mg/ml
Dạng tiêm Remifentanil hydrochloride 25 & 250 µg/ml
NaCl 0,9% 59
Tương thích
Dạng tiêm Minocycline hydrochloride 0,1 mg/ml
Dạng tiêm Rifampicin 0,1 mg/ml
NaCl 0,9% 263
Tương thích
Dạng tiêm Minocycline hydrochloride 0.2 mg/ml
Dạng tiêm Sargramostim 10 µg/ml
NaCl 0,9% 335
Tương thích
Dạng tiêm Minocycline hydrochloride 0,4 mg/ml
Dạng tiêm Sulbactam/durlobactam 15/15 mg/ml
NaCl 0,9% 4801
Thay đổi màu sau 1 giờ Không tương thích
Dạng tiêm Minocycline hydrochloride 0.2 mg/ml
Dạng tiêm Thiotepa 1 mg/ml
Glucose 5% 249
Tương thích
Dạng tiêm Minocycline hydrochloride
Dung dịch Ringer’s lactate 5058
Tương thích
Dạng tiêm Minocycline hydrochloride
Glucose 5% 5058
Tương thích
Dạng tiêm Minocycline hydrochloride
NaCl 0,9% 5058
Tương thích
Dạng tiêm Minocycline hydrochloride 0.2 mg/ml
Dạng tiêm Vinorelbine tartrate 1 mg/ml
NaCl 0,9% 84
Thay đổi màu sắc Không tương thích
Dạng tiêm Minocycline hydrochloride 0.2 mg/ml
Dinh dưỡng đường tĩnh mạch (hỗn hợp 2 thành phần) 301

  Mentions Légales