Senaste uppdateringen :
27/04/2026
Antibiotikum   Minocycline hydrochloride  
injektion
Oral lösning
Lösningars stabilitet Stabilitet i blandningar Faktorer som påverkar stabiliteten Kompatibilitet Administreringssätt Hänvisningar pdf
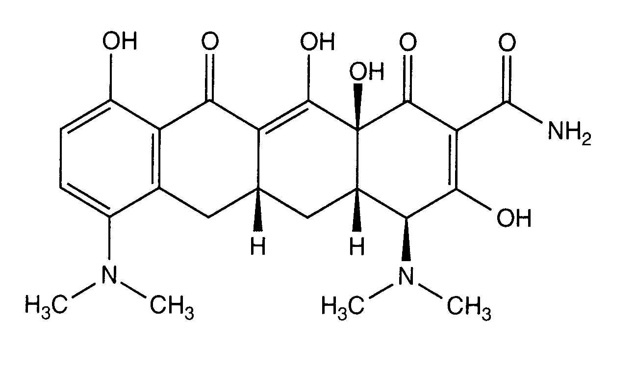
   Molekylstruktur  

Varunamn   Varunamn     

Angivna handelsnamn på läkemedel är enbart vägledande då formulering inklusive hjälpämnen kan variera mellan länder och tillverkare

Minocin Förenta Staterna
Kompatibilitet   injektion   Kompatibilitet : Minocycline hydrochloride              
Den här skärmen visar kompatibiliteten eller inkompatibiliteten med, i detta fall, typen av inkompatibilitet (utfällning, färgförändring, modifiering av en emulsion, etc.). De kompatibiliteter som visas här är oftast endast fysiska, varvid den kemiska stabiliteten för varje molekyl sällan utvärderas. Utvärderingen av dessa blandningar studerades för att överväga möjligheten för Y-platsadministrering till patienten. Dessa data kan inte användas för att göra blandningar i förväg i påsar eller sprutor. Denna typ av information finns på skärmen "Stabilitet i blandning".
Substans Lösningsmedel Hänvisningar
Färgändring efter 4 timmar Oförenlig
injektion Minocycline hydrochloride 0.2 mg/ml
injektion Allopurinol sodium 3 mg/ml
Natriumklorid 0,9 % 307
Omedelbar nederbörd Oförenlig
injektion Minocycline hydrochloride
injektion Calcium chloride
5058
Omedelbar nederbörd Oförenlig
injektion Minocycline hydrochloride
injektion Calcium glucoheptonate
5058
Ospecificerad inkompatibilitet Oförenlig
injektion Minocycline hydrochloride
injektion Calcium gluconate
3644
Omedelbar nederbörd Oförenlig
injektion Minocycline hydrochloride
injektion Calcium gluconate
5058
Kompatibel
injektion Minocycline hydrochloride 0.2 mg/ml
injektion Cisatracurium besylate 0.1 >> 5 mg/ml
Glukos 5 % 299
Kompatibel
injektion Minocycline hydrochloride 0.2 mg/ml
injektion Docetaxel 0.9 mg/ml
Glukos 5 % 1754
Ospecificerad inkompatibilitet Oförenlig
injektion Minocycline hydrochloride
injektion Erythromycin lactobionate
3674
Kompatibel
injektion Minocycline hydrochloride 0.2 mg/ml
injektion Etoposide phosphate 5 mg/ml
Glukos 5 % 1410
Kompatibel
injektion Minocycline hydrochloride 0.2 mg/ml
injektion Filgrastim 30 µg/ml
Glukos 5 % 244
Omedelbar nederbörd Oförenlig
injektion Minocycline hydrochloride 1 mg/ml
Parenteral nutrition (med lipider) 4440
Färgändring Oförenlig
injektion Minocycline hydrochloride 0.2 mg/ml
injektion Amifostine 10 mg/ml
Glukos 5 % 3
Kompatibel
injektion Minocycline hydrochloride 0.2 mg/ml
injektion Aztreonam 40 mg/ml
Glukos 5 % 99
Kompatibel
injektion Minocycline hydrochloride 0.2 mg/ml
injektion Fludarabine phosphate 1 mg/ml
Glukos 5 % 492
Omedelbar nederbörd Oförenlig
injektion Minocycline hydrochloride
injektion Folinate calcium
5058
Kompatibel
injektion Minocycline hydrochloride 0.2 mg/ml
injektion Gemcitabine hydrochloride 10 mg/ml
Natriumklorid 0,9 % 1423
Kompatibel
injektion Minocycline hydrochloride 0.2 mg/ml
injektion Granisetron hydrochloride 0.05 mg/ml
Glukos 5 % 182
Kompatibel
injektion Minocycline hydrochloride 0.2 mg/ml
injektion Heparin sodium 1 UI/ml
Ringer-laktatlösning 1228
Kompatibel
injektion Minocycline hydrochloride 0.2 mg/ml
injektion Heparin sodium 1 UI/ml
Natriumklorid 0,9 % 1228
Kompatibel
injektion Minocycline hydrochloride 0.2 mg/ml
injektion Heparin sodium 1 UI/ml
Glukos 5 % 1228
Kompatibel
injektion Minocycline hydrochloride 50 mg/ml
injektion Hydrocortisone sodium succinate 1 mg/ml
Glukos 5 % 1228
Kompatibel
injektion Minocycline hydrochloride 50 mg/ml
injektion Hydrocortisone sodium succinate 1 mg/ml
Ringer-laktatlösning 1228
Kompatibel
injektion Minocycline hydrochloride 50 mg/ml
injektion Hydrocortisone sodium succinate 1 mg/ml
Natriumklorid 0,9 % 1228
Färgändring efter 1 timme Oförenlig
injektion Minocycline hydrochloride 0.2 mg/ml
injektion Hydromorphone hydrochloride 0.2 mg/ml
Glukos 5 % 405
Omedelbar nederbörd Oförenlig
injektion Minocycline hydrochloride
injektion Levofolinate calcium
5058
Kompatibel
injektion Minocycline hydrochloride 0.2 mg/ml
injektion Linezolid 2 mg/ml
Ingen 1925
Kompatibel
injektion Minocycline hydrochloride 0.2 mg/ml
injektion Magnesium sulfate 16.67 >> 100 mg/ml
Glukos 5 % 1047
Kompatibel
injektion Minocycline hydrochloride 0.2 mg/ml
injektion Melphalan 0.1 mg/ml
Natriumklorid 0,9 % 169
Ospecificerad inkompatibilitet Oförenlig
injektion Minocycline hydrochloride
injektion Mitomycin
4471
Kemisk instabilitet Oförenlig
injektion Minocycline hydrochloride
injektion Mitomycin
3128
Färgändring efter 1 timme Oförenlig
injektion Minocycline hydrochloride 0.2 mg/ml
injektion Morphine sulfate 1 mg/ml
Glukos 5 % 405
Ospecificerad inkompatibilitet Oförenlig
injektion Minocycline hydrochloride
injektion Morphine sulfate
3531
Färgändring efter 4 timmar Oförenlig
injektion Minocycline hydrochloride 0.2 mg/ml
injektion Pemetrexed disodium 20 mg/ml
Natriumklorid 0,9 % 1953
Färgändring efter 1 timme Oförenlig
injektion Minocycline hydrochloride 0.2 mg/ml
injektion Pethidine hydrochloride 10 mg/ml
Glukos 5 % 405
Omedelbar nederbörd Oförenlig
injektion Minocycline hydrochloride 1 mg/ml
injektion Piperacillin sodium / tazobactam 40/5 mg/ml
Glukos 5 % 81
Kompatibel
injektion Minocycline hydrochloride 50 mg/ml
injektion Potassium chloride 40 mEq/l
Glukos 5 % 1228
Kompatibel
injektion Minocycline hydrochloride 50 mg/ml
injektion Potassium chloride 40 mEq/l
Natriumklorid 0,9 % 1228
Kompatibel
injektion Minocycline hydrochloride 50 mg/ml
injektion Potassium chloride 40 mEq/l
Ringer-laktatlösning 1228
Kompatibel
injektion Minocycline hydrochloride 0.2 mg/ml
injektion Teniposide 0.1 mg/ml
Glukos 5 % 905
Omedelbar instabilitet hos emulsionen Oförenlig
injektion Minocycline hydrochloride 0.2 mg/ml
Parenteral nutrition (med lipider) 1415
Omedelbar nederbörd Oförenlig
injektion Minocycline hydrochloride 0.2 mg/ml
injektion Propofol 10 mg/ml
Ingen 300
Kompatibel
injektion Minocycline hydrochloride 0.2 mg/ml
injektion Remifentanil hydrochloride 25 & 250 µg/ml
Natriumklorid 0,9 % 59
Kompatibel
injektion Minocycline hydrochloride 0,1 mg/ml
injektion Rifampicin 0,1 mg/ml
Natriumklorid 0,9 % 263
Kompatibel
injektion Minocycline hydrochloride 0.2 mg/ml
injektion Sargramostim 10 µg/ml
Natriumklorid 0,9 % 335
Kompatibel
injektion Minocycline hydrochloride 0,4 mg/ml
injektion Sulbactam/durlobactam 15/15 mg/ml
Natriumklorid 0,9 % 4801
Färgändring efter 1 timme Oförenlig
injektion Minocycline hydrochloride 0.2 mg/ml
injektion Thiotepa 1 mg/ml
Glukos 5 % 249
Kompatibel
injektion Minocycline hydrochloride
Ringer-laktatlösning 5058
Kompatibel
injektion Minocycline hydrochloride
Glukos 5 % 5058
Kompatibel
injektion Minocycline hydrochloride
Natriumklorid 0,9 % 5058
Kompatibel
injektion Minocycline hydrochloride 0.2 mg/ml
injektion Vinorelbine tartrate 1 mg/ml
Natriumklorid 0,9 % 84
Färgändring Oförenlig
injektion Minocycline hydrochloride 0.2 mg/ml
Parenteral nutrition (binär blandning) 301

  Mentions Légales