最新更新 :
27/04/2026
抗生素   Minocycline hydrochloride  
注射液
口服剂
溶液稳定性 混合物稳定性 影响稳定性的因素 兼容性 用药途径 引用文献 PDF
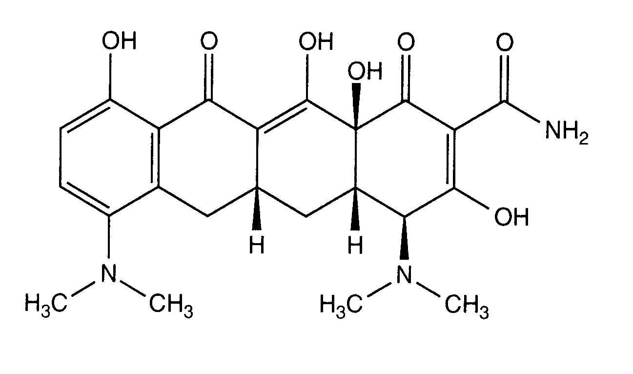
   化学式  

商品名   商品名     

商品名仅供参考, 药品所用的辅料可能依国家或厂商不同有所不同。

Minocin 美国
兼容性   注射液   兼容性 : Minocycline hydrochloride              
This screen indicates the compatibilities or incompatibilities with, in this case, the type of incompatibility (precipitation, color change, modification of an emulsion, etc.). The compatibilities shown here are mostly physical only, with the chemical stability of each molecule rarely being assessed. The evaluation of these mixtures was studied to consider the possibility of Y-site administration to the patient. These data cannot be used for making mixtures in advance in bags or syringes. This type of information is available in the screen "Stability in mixture ».
分子 溶剂 引用文献
4小時後變色 不相容
注射液 Minocycline hydrochloride 0.2 mg/ml
注射液 Allopurinol sodium 3 mg/ml
NaCl 0,9% 307
立即沉澱 不相容
注射液 Minocycline hydrochloride
注射液 Calcium chloride
5058
立即沉澱 不相容
注射液 Minocycline hydrochloride
注射液 Calcium glucoheptonate
5058
未指定的不兼容性 不相容
注射液 Minocycline hydrochloride
注射液 Calcium gluconate
3644
立即沉澱 不相容
注射液 Minocycline hydrochloride
注射液 Calcium gluconate
5058
兼容
注射液 Minocycline hydrochloride 0.2 mg/ml
注射液 Cisatracurium besylate 0.1 >> 5 mg/ml
葡萄糖5% 299
兼容
注射液 Minocycline hydrochloride 0.2 mg/ml
注射液 Docetaxel 0.9 mg/ml
葡萄糖5% 1754
未指定的不兼容性 不相容
注射液 Minocycline hydrochloride
注射液 Erythromycin lactobionate
3674
兼容
注射液 Minocycline hydrochloride 0.2 mg/ml
注射液 Etoposide phosphate 5 mg/ml
葡萄糖5% 1410
兼容
注射液 Minocycline hydrochloride 0.2 mg/ml
注射液 Filgrastim 30 µg/ml
葡萄糖5% 244
立即沉澱 不相容
注射液 Minocycline hydrochloride 1 mg/ml
肠外营养(含脂肪) 4440
顏色變化 不相容
注射液 Minocycline hydrochloride 0.2 mg/ml
注射液 Amifostine 10 mg/ml
葡萄糖5% 3
兼容
注射液 Minocycline hydrochloride 0.2 mg/ml
注射液 Aztreonam 40 mg/ml
葡萄糖5% 99
兼容
注射液 Minocycline hydrochloride 0.2 mg/ml
注射液 Fludarabine phosphate 1 mg/ml
葡萄糖5% 492
立即沉澱 不相容
注射液 Minocycline hydrochloride
注射液 Folinate calcium
5058
兼容
注射液 Minocycline hydrochloride 0.2 mg/ml
注射液 Gemcitabine hydrochloride 10 mg/ml
NaCl 0,9% 1423
兼容
注射液 Minocycline hydrochloride 0.2 mg/ml
注射液 Granisetron hydrochloride 0.05 mg/ml
葡萄糖5% 182
兼容
注射液 Minocycline hydrochloride 0.2 mg/ml
注射液 Heparin sodium 1 UI/ml
Ringer乳酸溶液 1228
兼容
注射液 Minocycline hydrochloride 0.2 mg/ml
注射液 Heparin sodium 1 UI/ml
NaCl 0,9% 1228
兼容
注射液 Minocycline hydrochloride 0.2 mg/ml
注射液 Heparin sodium 1 UI/ml
葡萄糖5% 1228
兼容
注射液 Minocycline hydrochloride 50 mg/ml
注射液 Hydrocortisone sodium succinate 1 mg/ml
葡萄糖5% 1228
兼容
注射液 Minocycline hydrochloride 50 mg/ml
注射液 Hydrocortisone sodium succinate 1 mg/ml
Ringer乳酸溶液 1228
兼容
注射液 Minocycline hydrochloride 50 mg/ml
注射液 Hydrocortisone sodium succinate 1 mg/ml
NaCl 0,9% 1228
1小時後變色 不相容
注射液 Minocycline hydrochloride 0.2 mg/ml
注射液 Hydromorphone hydrochloride 0.2 mg/ml
葡萄糖5% 405
立即沉澱 不相容
注射液 Minocycline hydrochloride
注射液 Levofolinate calcium
5058
兼容
注射液 Minocycline hydrochloride 0.2 mg/ml
注射液 Linezolid 2 mg/ml
无 1925
兼容
注射液 Minocycline hydrochloride 0.2 mg/ml
注射液 Magnesium sulfate 16.67 >> 100 mg/ml
葡萄糖5% 1047
兼容
注射液 Minocycline hydrochloride 0.2 mg/ml
注射液 Melphalan 0.1 mg/ml
NaCl 0,9% 169
未指定的不兼容性 不相容
注射液 Minocycline hydrochloride
注射液 Mitomycin
4471
化學不穩定性 不相容
注射液 Minocycline hydrochloride
注射液 Mitomycin
3128
1小時後變色 不相容
注射液 Minocycline hydrochloride 0.2 mg/ml
注射液 Morphine sulfate 1 mg/ml
葡萄糖5% 405
未指定的不兼容性 不相容
注射液 Minocycline hydrochloride
注射液 Morphine sulfate
3531
4小時後變色 不相容
注射液 Minocycline hydrochloride 0.2 mg/ml
注射液 Pemetrexed disodium 20 mg/ml
NaCl 0,9% 1953
1小時後變色 不相容
注射液 Minocycline hydrochloride 0.2 mg/ml
注射液 Pethidine hydrochloride 10 mg/ml
葡萄糖5% 405
立即沉澱 不相容
注射液 Minocycline hydrochloride 1 mg/ml
注射液 Piperacillin sodium / tazobactam 40/5 mg/ml
葡萄糖5% 81
兼容
注射液 Minocycline hydrochloride 50 mg/ml
注射液 Potassium chloride 40 mEq/l
葡萄糖5% 1228
兼容
注射液 Minocycline hydrochloride 50 mg/ml
注射液 Potassium chloride 40 mEq/l
NaCl 0,9% 1228
兼容
注射液 Minocycline hydrochloride 50 mg/ml
注射液 Potassium chloride 40 mEq/l
Ringer乳酸溶液 1228
兼容
注射液 Minocycline hydrochloride 0.2 mg/ml
注射液 Teniposide 0.1 mg/ml
葡萄糖5% 905
乳液立即不穩定 不相容
注射液 Minocycline hydrochloride 0.2 mg/ml
肠外营养(含脂肪) 1415
立即沉澱 不相容
注射液 Minocycline hydrochloride 0.2 mg/ml
注射液 Propofol 10 mg/ml
无 300
兼容
注射液 Minocycline hydrochloride 0.2 mg/ml
注射液 Remifentanil hydrochloride 25 & 250 µg/ml
NaCl 0,9% 59
兼容
注射液 Minocycline hydrochloride 0,1 mg/ml
注射液 Rifampicin 0,1 mg/ml
NaCl 0,9% 263
兼容
注射液 Minocycline hydrochloride 0.2 mg/ml
注射液 Sargramostim 10 µg/ml
NaCl 0,9% 335
兼容
注射液 Minocycline hydrochloride 0,4 mg/ml
注射液 Sulbactam/durlobactam 15/15 mg/ml
NaCl 0,9% 4801
1小時後變色 不相容
注射液 Minocycline hydrochloride 0.2 mg/ml
注射液 Thiotepa 1 mg/ml
葡萄糖5% 249
兼容
注射液 Minocycline hydrochloride
Ringer乳酸溶液 5058
兼容
注射液 Minocycline hydrochloride
葡萄糖5% 5058
兼容
注射液 Minocycline hydrochloride
NaCl 0,9% 5058
兼容
注射液 Minocycline hydrochloride 0.2 mg/ml
注射液 Vinorelbine tartrate 1 mg/ml
NaCl 0,9% 84
顏色變化 不相容
注射液 Minocycline hydrochloride 0.2 mg/ml
肠外营养(二种混合物) 301

  Mentions Légales