Laatste update :
27/04/2026
Antibioticum   Minocycline hydrochloride  
injecteerbaar geneesmiddel
Orale Oplossing
Stabiliteit in oplossing Stabiliteit in mengsels Factoren die de stabiliteit beïnvloeden Verenigbaarheden Toedieningswijze Literatuur pdf
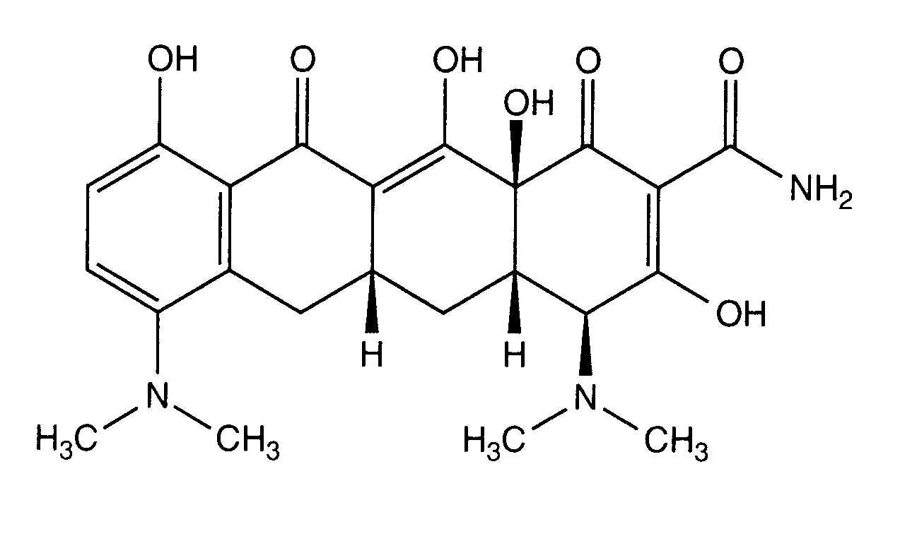
   Molecuulstructuur  

Merknamen in verschillende landen   Merknamen in verschillende landen     

Handelsnamen zijn slechts een indicatie; de samenstelling van hulpstoffen kan per land variëren afhankelijk van de fabrikant

Minocin USA
Verenigbaarheden   injecteerbaar geneesmiddel   Verenigbaarheden : Minocycline hydrochloride              
In dit scherm worden de verenigbaarheden en onverenigbaarheden weergegeven. In het geval van een onverenigbaarheid wordt ook het type (neerslag, kleurverandering, modificatie van een emulsie, etc) weergegeven. De weergegeven verenigbaarheden zijn meestal alleen op uiterlijk beoordeeld, er heeft zelden een chemische beoordeling van iedere component plaatsgevonden. De verenigbaarheden betreffen gelijktijdige toediening aan de patient middels de Y-site. De data kan niet gebruikt worden in de beoordeling van verenigbaarheden van componenten in infuuszakken of spuiten. Die informatie is te vinden onder ‘stabiliteit in mengsels’.
Stof Oplosmiddel Literatuur
Kleurverandering na 4 uur Onverenigbaar
injecteerbaar geneesmiddel Minocycline hydrochloride 0.2 mg/ml
injecteerbaar geneesmiddel Allopurinol sodium 3 mg/ml
Natriumchloride 0,9% 307
Onmiddellijke neerslag Onverenigbaar
injecteerbaar geneesmiddel Minocycline hydrochloride
injecteerbaar geneesmiddel Calcium chloride
5058
Onmiddellijke neerslag Onverenigbaar
injecteerbaar geneesmiddel Minocycline hydrochloride
injecteerbaar geneesmiddel Calcium glucoheptonate
5058
Niet-gespecificeerde incompatibiliteit Onverenigbaar
injecteerbaar geneesmiddel Minocycline hydrochloride
injecteerbaar geneesmiddel Calcium gluconate
3644
Onmiddellijke neerslag Onverenigbaar
injecteerbaar geneesmiddel Minocycline hydrochloride
injecteerbaar geneesmiddel Calcium gluconate
5058
Verenigbaar
injecteerbaar geneesmiddel Minocycline hydrochloride 0.2 mg/ml
injecteerbaar geneesmiddel Cisatracurium besylate 0.1 >> 5 mg/ml
Glucose 5% 299
Verenigbaar
injecteerbaar geneesmiddel Minocycline hydrochloride 0.2 mg/ml
injecteerbaar geneesmiddel Docetaxel 0.9 mg/ml
Glucose 5% 1754
Niet-gespecificeerde incompatibiliteit Onverenigbaar
injecteerbaar geneesmiddel Minocycline hydrochloride
injecteerbaar geneesmiddel Erythromycin lactobionate
3674
Verenigbaar
injecteerbaar geneesmiddel Minocycline hydrochloride 0.2 mg/ml
injecteerbaar geneesmiddel Etoposide phosphate 5 mg/ml
Glucose 5% 1410
Verenigbaar
injecteerbaar geneesmiddel Minocycline hydrochloride 0.2 mg/ml
injecteerbaar geneesmiddel Filgrastim 30 µg/ml
Glucose 5% 244
Onmiddellijke neerslag Onverenigbaar
injecteerbaar geneesmiddel Minocycline hydrochloride 1 mg/ml
Parenterale voeding (met lipiden) 4440
Kleur verandering Onverenigbaar
injecteerbaar geneesmiddel Minocycline hydrochloride 0.2 mg/ml
injecteerbaar geneesmiddel Amifostine 10 mg/ml
Glucose 5% 3
Verenigbaar
injecteerbaar geneesmiddel Minocycline hydrochloride 0.2 mg/ml
injecteerbaar geneesmiddel Aztreonam 40 mg/ml
Glucose 5% 99
Verenigbaar
injecteerbaar geneesmiddel Minocycline hydrochloride 0.2 mg/ml
injecteerbaar geneesmiddel Fludarabine phosphate 1 mg/ml
Glucose 5% 492
Onmiddellijke neerslag Onverenigbaar
injecteerbaar geneesmiddel Minocycline hydrochloride
injecteerbaar geneesmiddel Folinate calcium
5058
Verenigbaar
injecteerbaar geneesmiddel Minocycline hydrochloride 0.2 mg/ml
injecteerbaar geneesmiddel Gemcitabine hydrochloride 10 mg/ml
Natriumchloride 0,9% 1423
Verenigbaar
injecteerbaar geneesmiddel Minocycline hydrochloride 0.2 mg/ml
injecteerbaar geneesmiddel Granisetron hydrochloride 0.05 mg/ml
Glucose 5% 182
Verenigbaar
injecteerbaar geneesmiddel Minocycline hydrochloride 0.2 mg/ml
injecteerbaar geneesmiddel Heparin sodium 1 UI/ml
Ringer-lactaat 1228
Verenigbaar
injecteerbaar geneesmiddel Minocycline hydrochloride 0.2 mg/ml
injecteerbaar geneesmiddel Heparin sodium 1 UI/ml
Natriumchloride 0,9% 1228
Verenigbaar
injecteerbaar geneesmiddel Minocycline hydrochloride 0.2 mg/ml
injecteerbaar geneesmiddel Heparin sodium 1 UI/ml
Glucose 5% 1228
Verenigbaar
injecteerbaar geneesmiddel Minocycline hydrochloride 50 mg/ml
injecteerbaar geneesmiddel Hydrocortisone sodium succinate 1 mg/ml
Glucose 5% 1228
Verenigbaar
injecteerbaar geneesmiddel Minocycline hydrochloride 50 mg/ml
injecteerbaar geneesmiddel Hydrocortisone sodium succinate 1 mg/ml
Ringer-lactaat 1228
Verenigbaar
injecteerbaar geneesmiddel Minocycline hydrochloride 50 mg/ml
injecteerbaar geneesmiddel Hydrocortisone sodium succinate 1 mg/ml
Natriumchloride 0,9% 1228
Kleurverandering na 1 uur Onverenigbaar
injecteerbaar geneesmiddel Minocycline hydrochloride 0.2 mg/ml
injecteerbaar geneesmiddel Hydromorphone hydrochloride 0.2 mg/ml
Glucose 5% 405
Onmiddellijke neerslag Onverenigbaar
injecteerbaar geneesmiddel Minocycline hydrochloride
injecteerbaar geneesmiddel Levofolinate calcium
5058
Verenigbaar
injecteerbaar geneesmiddel Minocycline hydrochloride 0.2 mg/ml
injecteerbaar geneesmiddel Linezolid 2 mg/ml
Geen 1925
Verenigbaar
injecteerbaar geneesmiddel Minocycline hydrochloride 0.2 mg/ml
injecteerbaar geneesmiddel Magnesium sulfate 16.67 >> 100 mg/ml
Glucose 5% 1047
Verenigbaar
injecteerbaar geneesmiddel Minocycline hydrochloride 0.2 mg/ml
injecteerbaar geneesmiddel Melphalan 0.1 mg/ml
Natriumchloride 0,9% 169
Niet-gespecificeerde incompatibiliteit Onverenigbaar
injecteerbaar geneesmiddel Minocycline hydrochloride
injecteerbaar geneesmiddel Mitomycin
4471
Chemische instabiliteit Onverenigbaar
injecteerbaar geneesmiddel Minocycline hydrochloride
injecteerbaar geneesmiddel Mitomycin
3128
Kleurverandering na 1 uur Onverenigbaar
injecteerbaar geneesmiddel Minocycline hydrochloride 0.2 mg/ml
injecteerbaar geneesmiddel Morphine sulfate 1 mg/ml
Glucose 5% 405
Niet-gespecificeerde incompatibiliteit Onverenigbaar
injecteerbaar geneesmiddel Minocycline hydrochloride
injecteerbaar geneesmiddel Morphine sulfate
3531
Kleurverandering na 4 uur Onverenigbaar
injecteerbaar geneesmiddel Minocycline hydrochloride 0.2 mg/ml
injecteerbaar geneesmiddel Pemetrexed disodium 20 mg/ml
Natriumchloride 0,9% 1953
Kleurverandering na 1 uur Onverenigbaar
injecteerbaar geneesmiddel Minocycline hydrochloride 0.2 mg/ml
injecteerbaar geneesmiddel Pethidine hydrochloride 10 mg/ml
Glucose 5% 405
Onmiddellijke neerslag Onverenigbaar
injecteerbaar geneesmiddel Minocycline hydrochloride 1 mg/ml
injecteerbaar geneesmiddel Piperacillin sodium / tazobactam 40/5 mg/ml
Glucose 5% 81
Verenigbaar
injecteerbaar geneesmiddel Minocycline hydrochloride 50 mg/ml
injecteerbaar geneesmiddel Potassium chloride 40 mEq/l
Glucose 5% 1228
Verenigbaar
injecteerbaar geneesmiddel Minocycline hydrochloride 50 mg/ml
injecteerbaar geneesmiddel Potassium chloride 40 mEq/l
Natriumchloride 0,9% 1228
Verenigbaar
injecteerbaar geneesmiddel Minocycline hydrochloride 50 mg/ml
injecteerbaar geneesmiddel Potassium chloride 40 mEq/l
Ringer-lactaat 1228
Verenigbaar
injecteerbaar geneesmiddel Minocycline hydrochloride 0.2 mg/ml
injecteerbaar geneesmiddel Teniposide 0.1 mg/ml
Glucose 5% 905
Onmiddellijke instabiliteit van de emulsie Onverenigbaar
injecteerbaar geneesmiddel Minocycline hydrochloride 0.2 mg/ml
Parenterale voeding (met lipiden) 1415
Onmiddellijke neerslag Onverenigbaar
injecteerbaar geneesmiddel Minocycline hydrochloride 0.2 mg/ml
injecteerbaar geneesmiddel Propofol 10 mg/ml
Geen 300
Verenigbaar
injecteerbaar geneesmiddel Minocycline hydrochloride 0.2 mg/ml
injecteerbaar geneesmiddel Remifentanil hydrochloride 25 & 250 µg/ml
Natriumchloride 0,9% 59
Verenigbaar
injecteerbaar geneesmiddel Minocycline hydrochloride 0,1 mg/ml
injecteerbaar geneesmiddel Rifampicin 0,1 mg/ml
Natriumchloride 0,9% 263
Verenigbaar
injecteerbaar geneesmiddel Minocycline hydrochloride 0.2 mg/ml
injecteerbaar geneesmiddel Sargramostim 10 µg/ml
Natriumchloride 0,9% 335
Verenigbaar
injecteerbaar geneesmiddel Minocycline hydrochloride 0,4 mg/ml
injecteerbaar geneesmiddel Sulbactam/durlobactam 15/15 mg/ml
Natriumchloride 0,9% 4801
Kleurverandering na 1 uur Onverenigbaar
injecteerbaar geneesmiddel Minocycline hydrochloride 0.2 mg/ml
injecteerbaar geneesmiddel Thiotepa 1 mg/ml
Glucose 5% 249
Verenigbaar
injecteerbaar geneesmiddel Minocycline hydrochloride
Ringer-lactaat 5058
Verenigbaar
injecteerbaar geneesmiddel Minocycline hydrochloride
Glucose 5% 5058
Verenigbaar
injecteerbaar geneesmiddel Minocycline hydrochloride
Natriumchloride 0,9% 5058
Verenigbaar
injecteerbaar geneesmiddel Minocycline hydrochloride 0.2 mg/ml
injecteerbaar geneesmiddel Vinorelbine tartrate 1 mg/ml
Natriumchloride 0,9% 84
Kleur verandering Onverenigbaar
injecteerbaar geneesmiddel Minocycline hydrochloride 0.2 mg/ml
Parenterale voeding (zonder vet) 301

  Mentions Légales