Dernière mise à jour :
27/04/2026
Antibiotique   Minocycline hydrochloride  
injectable
Solution buvable
Stabilité des solutions Stabilité en mélange Facteur influençant la stabilité Compatibilités Voie d’administration Bibliographie pdf
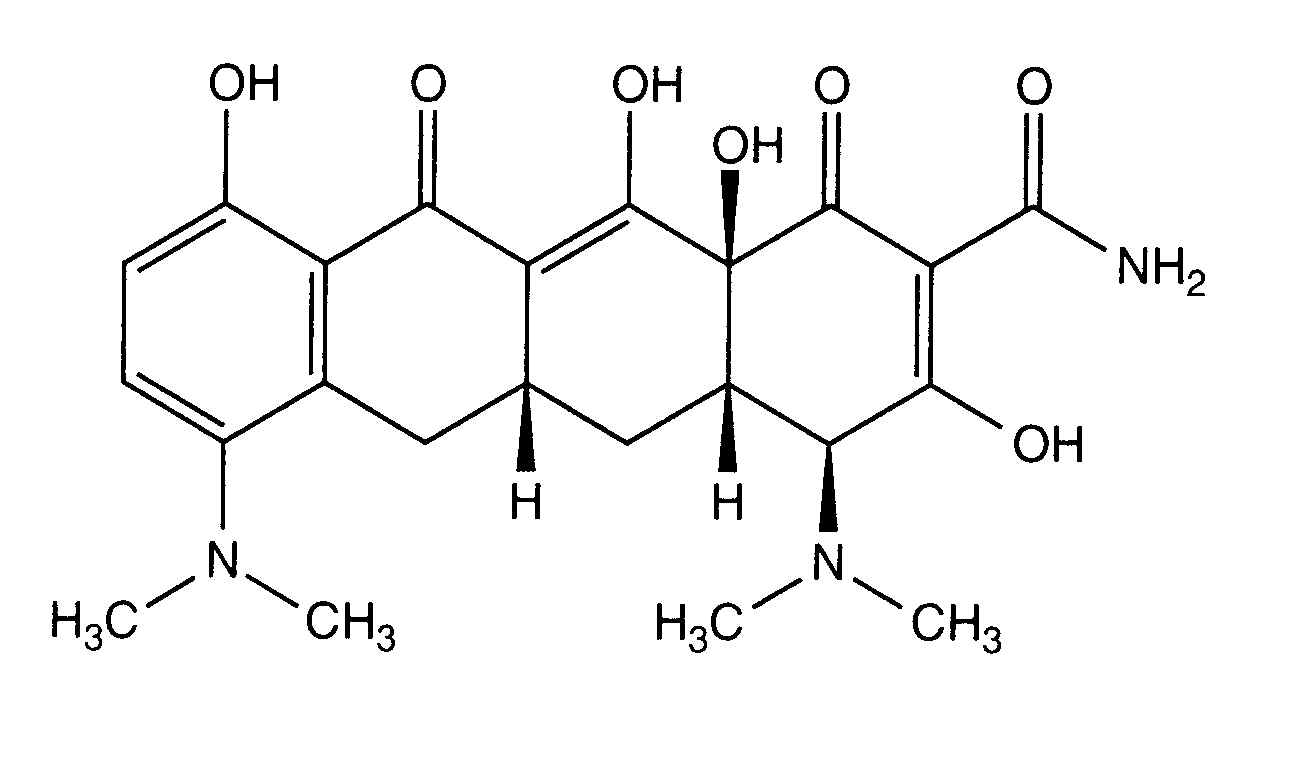
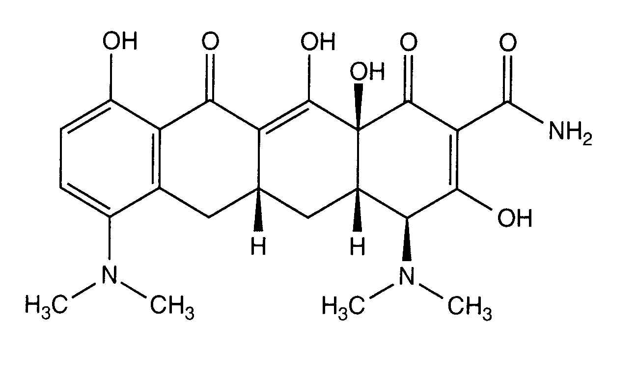
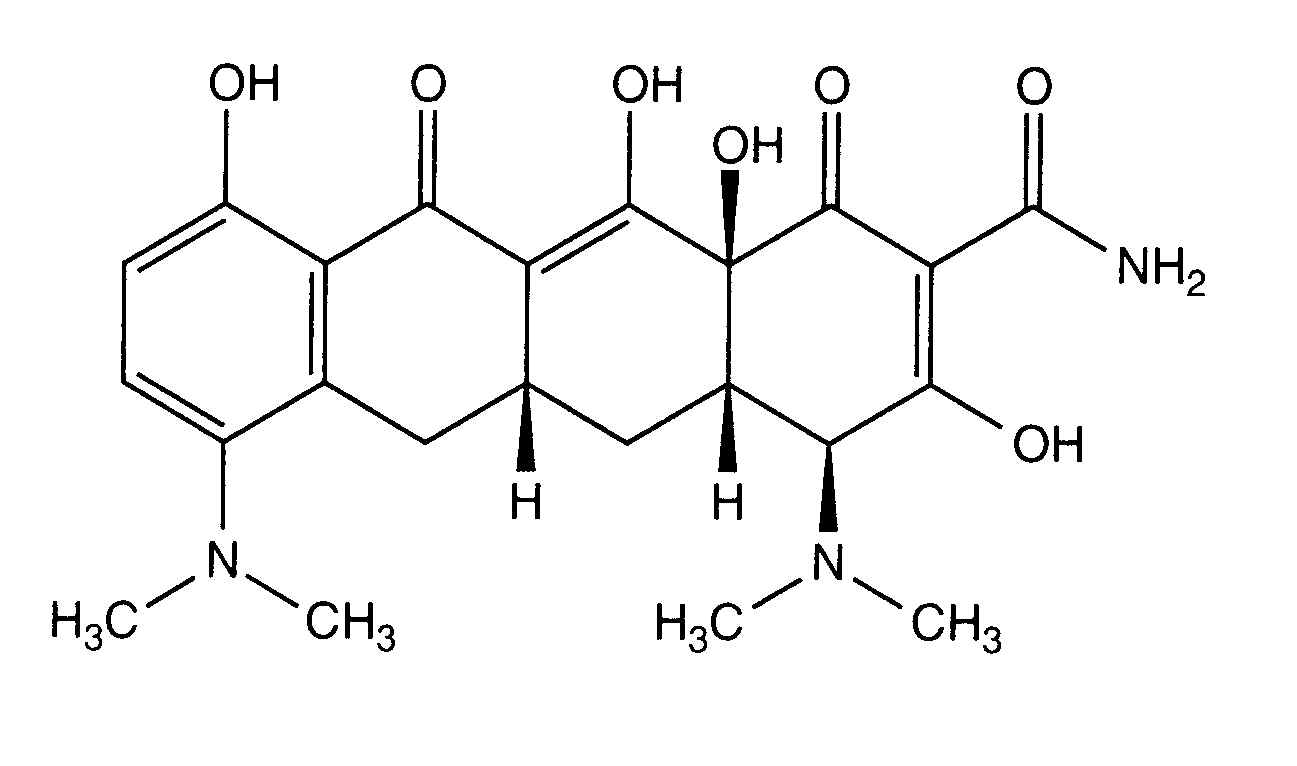
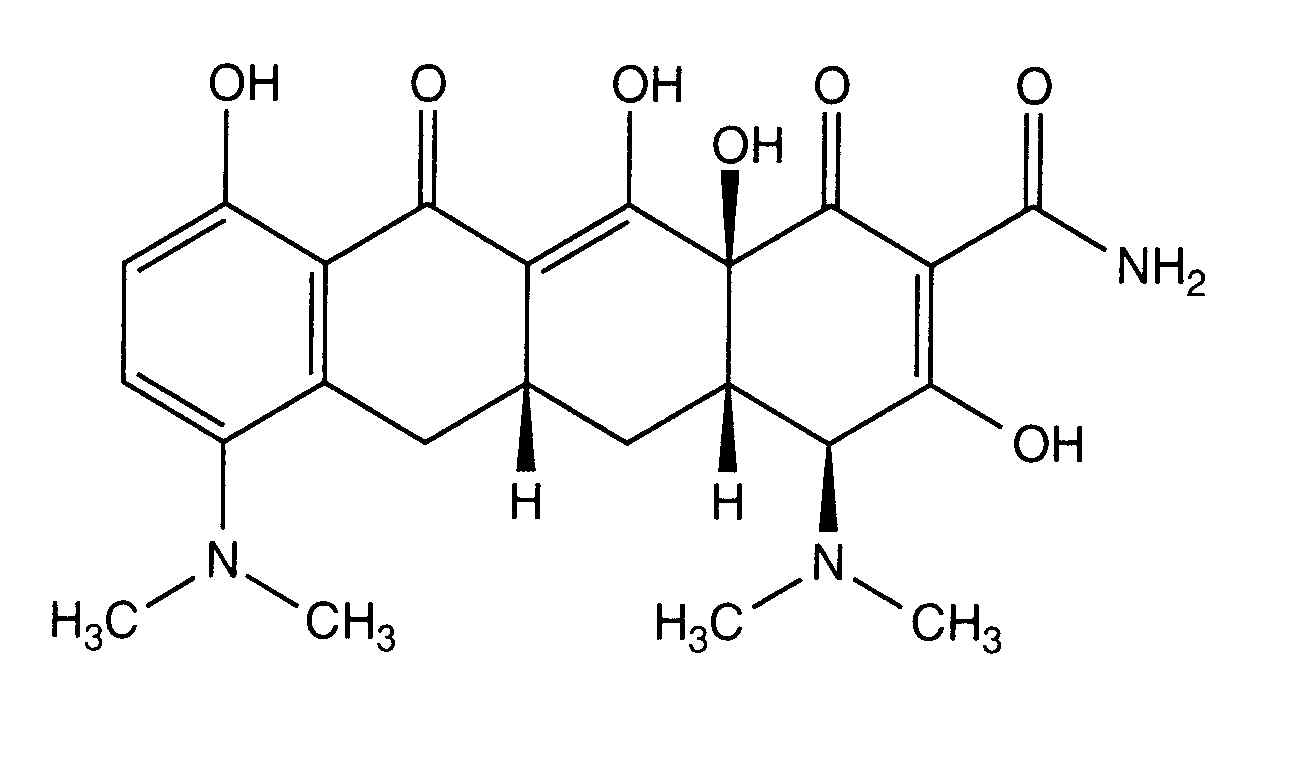
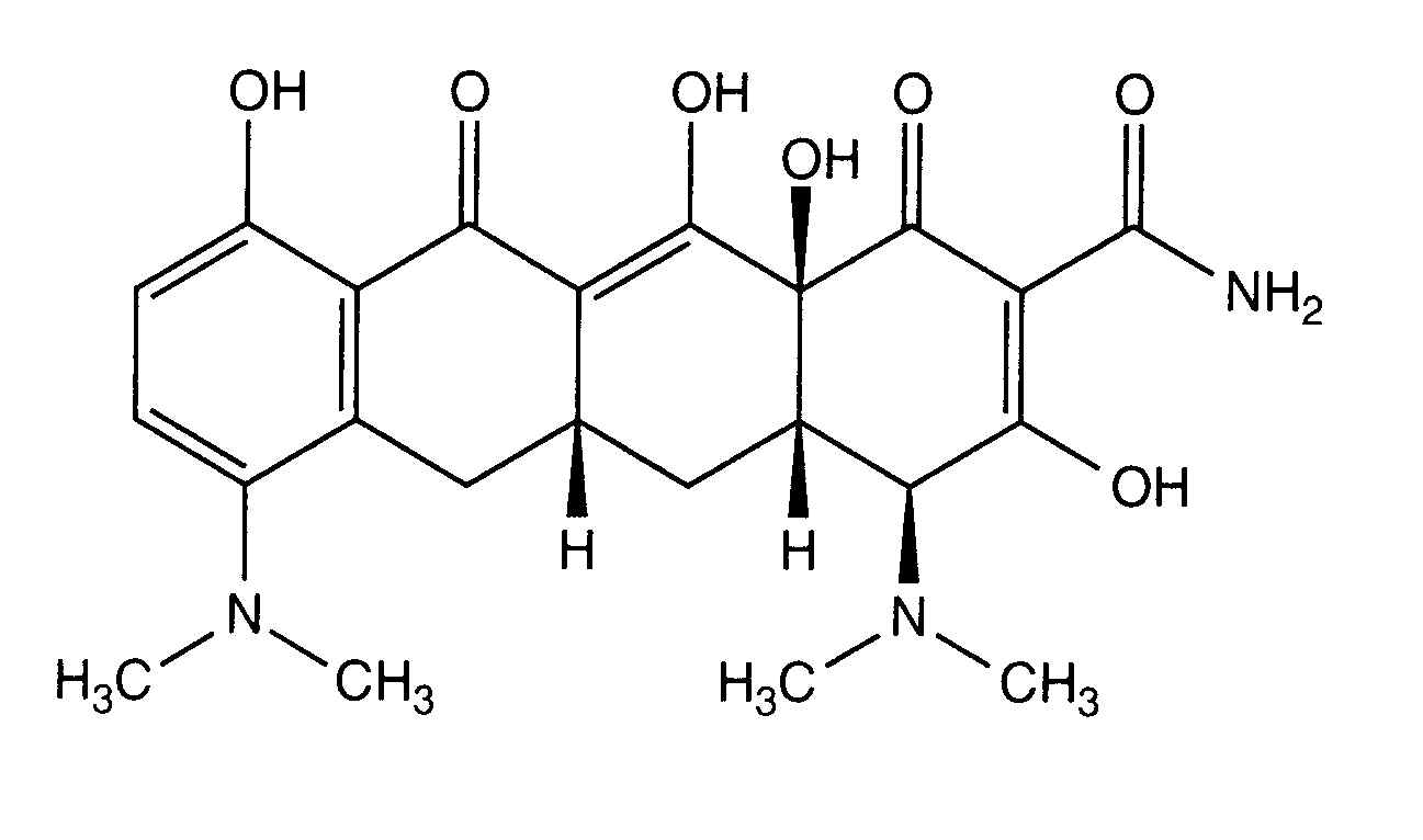
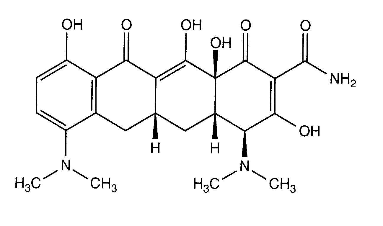
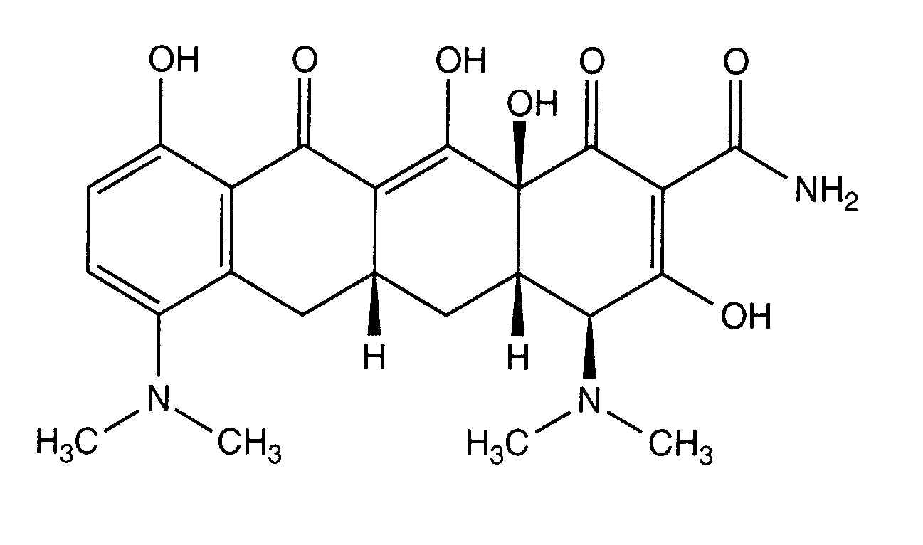
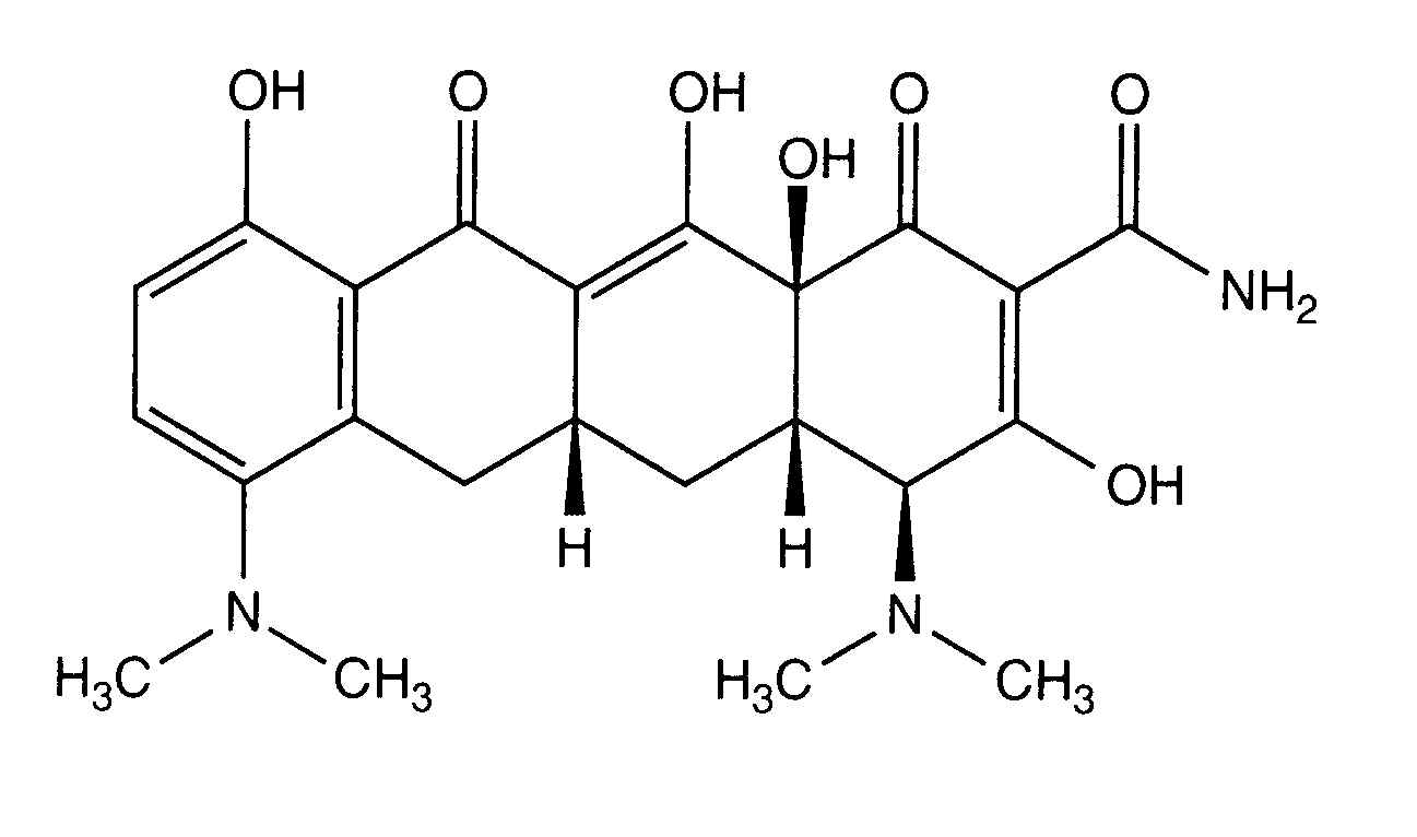
   Structure chimique  

Noms commerciaux   Noms commerciaux     

Les noms commerciaux sont donnés à titre indicatif et la composition en excipients peut être différente selon les pays et selon les laboratoires

Minocin Etats Unis d’Amérique
Stabilité en mélange   injectable   Stabilité en mélange : Minocycline hydrochloride     
Contenant Solvant Concentration Molécule Température Conservation Durée de stabilité Bibliographie
Polyvinyl chlorure Chlorure de sodium 0,9% 0,1 mg/ml
injectable   Minocycline hydrochloride   
injectable   Rifampicin 0,1 mg/ml
24°C
8 Heure
Non précisée 263
Niveau de preuve B +
Polyvinyl chlorure Chlorure de sodium 0,9% 0,1 mg/ml
injectable   Minocycline hydrochloride   
injectable   Rifampicin 0,1 mg/ml
4°C
72 Heure
A l’abri de la lumière 263
Niveau de preuve B +

  Mentions Légales