zadnja posodobitev :
27/04/2026
Antibiotik   Minocycline hydrochloride  
Brizgalka
Peroralna raztopina
Stabilnost raztopine Stabilnost mešanice Faktorji, ki vplivajo na stabilnost Kompatibilnost način aplikacije Viri pdf
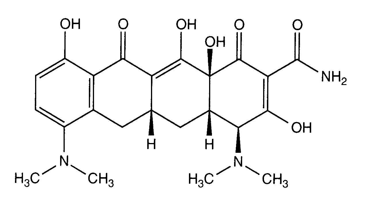
   Kemična formula  

Lastniško ime   Lastniško ime     

Sestava pomožnih snovi je med paralelami lahko različna

Minocin Združene države Amerike
Kompatibilnost   Brizgalka   Kompatibilnost : Minocycline hydrochloride              
Ta zaslon prikazuje združljivost ali nezdružljivost s, v tem primeru, vrsto nezdružljivosti (padavine, sprememba barve, sprememba emulzije itd.). Tu prikazane združljivosti so večinoma samo fizične, pri čemer se kemijska stabilnost vsake molekule redko ocenjuje. Vrednotenje teh zmesi so preučevali, da bi preučili možnost pacientovega dajanja na mestu Y. Teh podatkov ni mogoče uporabiti za pripravo mešanic v vrečkah ali brizgah. Ta vrsta informacij je na voljo na zaslonu "Obstojnost v mešanici".
Sestava Topilo Viri
Sprememba barve po 4 urah Nezdružljivo
Brizgalka Minocycline hydrochloride 0.2 mg/ml
Brizgalka Allopurinol sodium 3 mg/ml
Natrijev klorid 0,9% 307
Takoj padavine Nezdružljivo
Brizgalka Minocycline hydrochloride
Brizgalka Calcium chloride
5058
Takoj padavine Nezdružljivo
Brizgalka Minocycline hydrochloride
Brizgalka Calcium glucoheptonate
5058
Nedoločena nezdružljivost Nezdružljivo
Brizgalka Minocycline hydrochloride
Brizgalka Calcium gluconate
3644
Takoj padavine Nezdružljivo
Brizgalka Minocycline hydrochloride
Brizgalka Calcium gluconate
5058
Združljivo
Brizgalka Minocycline hydrochloride 0.2 mg/ml
Brizgalka Cisatracurium besylate 0.1 >> 5 mg/ml
Glukoza 5% 299
Združljivo
Brizgalka Minocycline hydrochloride 0.2 mg/ml
Brizgalka Docetaxel 0.9 mg/ml
Glukoza 5% 1754
Nedoločena nezdružljivost Nezdružljivo
Brizgalka Minocycline hydrochloride
Brizgalka Erythromycin lactobionate
3674
Združljivo
Brizgalka Minocycline hydrochloride 0.2 mg/ml
Brizgalka Etoposide phosphate 5 mg/ml
Glukoza 5% 1410
Združljivo
Brizgalka Minocycline hydrochloride 0.2 mg/ml
Brizgalka Filgrastim 30 µg/ml
Glukoza 5% 244
Takoj padavine Nezdružljivo
Brizgalka Minocycline hydrochloride 1 mg/ml
Parenteralna prehrana (z lipidi) 4440
Sprememba barve Nezdružljivo
Brizgalka Minocycline hydrochloride 0.2 mg/ml
Brizgalka Amifostine 10 mg/ml
Glukoza 5% 3
Združljivo
Brizgalka Minocycline hydrochloride 0.2 mg/ml
Brizgalka Aztreonam 40 mg/ml
Glukoza 5% 99
Združljivo
Brizgalka Minocycline hydrochloride 0.2 mg/ml
Brizgalka Fludarabine phosphate 1 mg/ml
Glukoza 5% 492
Takoj padavine Nezdružljivo
Brizgalka Minocycline hydrochloride
Brizgalka Folinate calcium
5058
Združljivo
Brizgalka Minocycline hydrochloride 0.2 mg/ml
Brizgalka Gemcitabine hydrochloride 10 mg/ml
Natrijev klorid 0,9% 1423
Združljivo
Brizgalka Minocycline hydrochloride 0.2 mg/ml
Brizgalka Granisetron hydrochloride 0.05 mg/ml
Glukoza 5% 182
Združljivo
Brizgalka Minocycline hydrochloride 0.2 mg/ml
Brizgalka Heparin sodium 1 UI/ml
Ringerjev laktat 1228
Združljivo
Brizgalka Minocycline hydrochloride 0.2 mg/ml
Brizgalka Heparin sodium 1 UI/ml
Natrijev klorid 0,9% 1228
Združljivo
Brizgalka Minocycline hydrochloride 0.2 mg/ml
Brizgalka Heparin sodium 1 UI/ml
Glukoza 5% 1228
Združljivo
Brizgalka Minocycline hydrochloride 50 mg/ml
Brizgalka Hydrocortisone sodium succinate 1 mg/ml
Glukoza 5% 1228
Združljivo
Brizgalka Minocycline hydrochloride 50 mg/ml
Brizgalka Hydrocortisone sodium succinate 1 mg/ml
Ringerjev laktat 1228
Združljivo
Brizgalka Minocycline hydrochloride 50 mg/ml
Brizgalka Hydrocortisone sodium succinate 1 mg/ml
Natrijev klorid 0,9% 1228
Sprememba barve po 1 uri Nezdružljivo
Brizgalka Minocycline hydrochloride 0.2 mg/ml
Brizgalka Hydromorphone hydrochloride 0.2 mg/ml
Glukoza 5% 405
Takoj padavine Nezdružljivo
Brizgalka Minocycline hydrochloride
Brizgalka Levofolinate calcium
5058
Združljivo
Brizgalka Minocycline hydrochloride 0.2 mg/ml
Brizgalka Linezolid 2 mg/ml
Nobeden 1925
Združljivo
Brizgalka Minocycline hydrochloride 0.2 mg/ml
Brizgalka Magnesium sulfate 16.67 >> 100 mg/ml
Glukoza 5% 1047
Združljivo
Brizgalka Minocycline hydrochloride 0.2 mg/ml
Brizgalka Melphalan 0.1 mg/ml
Natrijev klorid 0,9% 169
Nedoločena nezdružljivost Nezdružljivo
Brizgalka Minocycline hydrochloride
Brizgalka Mitomycin
4471
Kemijska nestabilnost Nezdružljivo
Brizgalka Minocycline hydrochloride
Brizgalka Mitomycin
3128
Sprememba barve po 1 uri Nezdružljivo
Brizgalka Minocycline hydrochloride 0.2 mg/ml
Brizgalka Morphine sulfate 1 mg/ml
Glukoza 5% 405
Nedoločena nezdružljivost Nezdružljivo
Brizgalka Minocycline hydrochloride
Brizgalka Morphine sulfate
3531
Sprememba barve po 4 urah Nezdružljivo
Brizgalka Minocycline hydrochloride 0.2 mg/ml
Brizgalka Pemetrexed disodium 20 mg/ml
Natrijev klorid 0,9% 1953
Sprememba barve po 1 uri Nezdružljivo
Brizgalka Minocycline hydrochloride 0.2 mg/ml
Brizgalka Pethidine hydrochloride 10 mg/ml
Glukoza 5% 405
Takoj padavine Nezdružljivo
Brizgalka Minocycline hydrochloride 1 mg/ml
Brizgalka Piperacillin sodium / tazobactam 40/5 mg/ml
Glukoza 5% 81
Združljivo
Brizgalka Minocycline hydrochloride 50 mg/ml
Brizgalka Potassium chloride 40 mEq/l
Glukoza 5% 1228
Združljivo
Brizgalka Minocycline hydrochloride 50 mg/ml
Brizgalka Potassium chloride 40 mEq/l
Natrijev klorid 0,9% 1228
Združljivo
Brizgalka Minocycline hydrochloride 50 mg/ml
Brizgalka Potassium chloride 40 mEq/l
Ringerjev laktat 1228
Združljivo
Brizgalka Minocycline hydrochloride 0.2 mg/ml
Brizgalka Teniposide 0.1 mg/ml
Glukoza 5% 905
Takojšnja nestabilnost emulzije Nezdružljivo
Brizgalka Minocycline hydrochloride 0.2 mg/ml
Parenteralna prehrana (z lipidi) 1415
Takoj padavine Nezdružljivo
Brizgalka Minocycline hydrochloride 0.2 mg/ml
Brizgalka Propofol 10 mg/ml
Nobeden 300
Združljivo
Brizgalka Minocycline hydrochloride 0.2 mg/ml
Brizgalka Remifentanil hydrochloride 25 & 250 µg/ml
Natrijev klorid 0,9% 59
Združljivo
Brizgalka Minocycline hydrochloride 0,1 mg/ml
Brizgalka Rifampicin 0,1 mg/ml
Natrijev klorid 0,9% 263
Združljivo
Brizgalka Minocycline hydrochloride 0.2 mg/ml
Brizgalka Sargramostim 10 µg/ml
Natrijev klorid 0,9% 335
Združljivo
Brizgalka Minocycline hydrochloride 0,4 mg/ml
Brizgalka Sulbactam/durlobactam 15/15 mg/ml
Natrijev klorid 0,9% 4801
Sprememba barve po 1 uri Nezdružljivo
Brizgalka Minocycline hydrochloride 0.2 mg/ml
Brizgalka Thiotepa 1 mg/ml
Glukoza 5% 249
Združljivo
Brizgalka Minocycline hydrochloride
Ringerjev laktat 5058
Združljivo
Brizgalka Minocycline hydrochloride
Glukoza 5% 5058
Združljivo
Brizgalka Minocycline hydrochloride
Natrijev klorid 0,9% 5058
Združljivo
Brizgalka Minocycline hydrochloride 0.2 mg/ml
Brizgalka Vinorelbine tartrate 1 mg/ml
Natrijev klorid 0,9% 84
Sprememba barve Nezdružljivo
Brizgalka Minocycline hydrochloride 0.2 mg/ml
Parenteralna prehrana (binarno zmes) 301

  Mentions Légales