Ultimo aggiornamento :
27/04/2026
Antibiotico   Minocycline hydrochloride  
Iniezione
Soluzione orale
Stabilità in soluzione Stabilità in miscela Fattori che influenzano la stabilità Compatibilità metodo di iniezione Bibliografia pdf
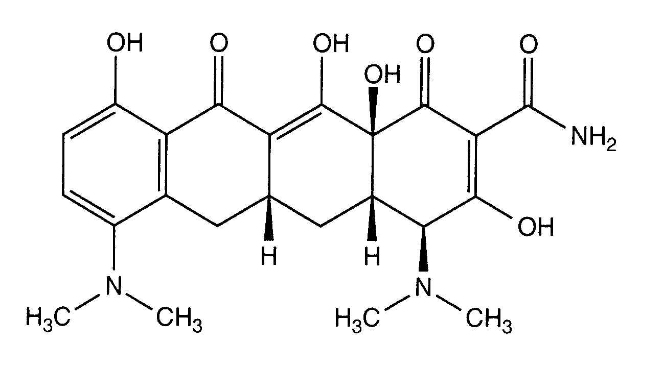
   Struttura chimica  

Nome commerciale   Nome commerciale     

Trade names are indicative and excipients composition can be different depending on the country and manufacturers

Minocin Stati Uniti d’America
Compatibilità   Iniezione   Compatibilità : Minocycline hydrochloride              
explication_incompatibilite_molecules
Molecola Solvente Bibliografia
Cambio colore dopo 4 ore Incompatibile
Iniezione Minocycline hydrochloride 0.2 mg/ml
Iniezione Allopurinol sodium 3 mg/ml
Cloruro di sodio 0,9% 307
Precipitazioni immediate Incompatibile
Iniezione Minocycline hydrochloride
Iniezione Calcium chloride
5058
Precipitazioni immediate Incompatibile
Iniezione Minocycline hydrochloride
Iniezione Calcium glucoheptonate
5058
Incompatibilità non specificata Incompatibile
Iniezione Minocycline hydrochloride
Iniezione Calcium gluconate
3644
Precipitazioni immediate Incompatibile
Iniezione Minocycline hydrochloride
Iniezione Calcium gluconate
5058
Compatibile
Iniezione Minocycline hydrochloride 0.2 mg/ml
Iniezione Cisatracurium besylate 0.1 >> 5 mg/ml
Glucosio 5% 299
Compatibile
Iniezione Minocycline hydrochloride 0.2 mg/ml
Iniezione Docetaxel 0.9 mg/ml
Glucosio 5% 1754
Incompatibilità non specificata Incompatibile
Iniezione Minocycline hydrochloride
Iniezione Erythromycin lactobionate
3674
Compatibile
Iniezione Minocycline hydrochloride 0.2 mg/ml
Iniezione Etoposide phosphate 5 mg/ml
Glucosio 5% 1410
Compatibile
Iniezione Minocycline hydrochloride 0.2 mg/ml
Iniezione Filgrastim 30 µg/ml
Glucosio 5% 244
Precipitazioni immediate Incompatibile
Iniezione Minocycline hydrochloride 1 mg/ml
Nutrizione parenterale (con lipidi) 4440
Cambio di colore Incompatibile
Iniezione Minocycline hydrochloride 0.2 mg/ml
Iniezione Amifostine 10 mg/ml
Glucosio 5% 3
Compatibile
Iniezione Minocycline hydrochloride 0.2 mg/ml
Iniezione Aztreonam 40 mg/ml
Glucosio 5% 99
Compatibile
Iniezione Minocycline hydrochloride 0.2 mg/ml
Iniezione Fludarabine phosphate 1 mg/ml
Glucosio 5% 492
Precipitazioni immediate Incompatibile
Iniezione Minocycline hydrochloride
Iniezione Folinate calcium
5058
Compatibile
Iniezione Minocycline hydrochloride 0.2 mg/ml
Iniezione Gemcitabine hydrochloride 10 mg/ml
Cloruro di sodio 0,9% 1423
Compatibile
Iniezione Minocycline hydrochloride 0.2 mg/ml
Iniezione Granisetron hydrochloride 0.05 mg/ml
Glucosio 5% 182
Compatibile
Iniezione Minocycline hydrochloride 0.2 mg/ml
Iniezione Heparin sodium 1 UI/ml
Ringer lattato 1228
Compatibile
Iniezione Minocycline hydrochloride 0.2 mg/ml
Iniezione Heparin sodium 1 UI/ml
Cloruro di sodio 0,9% 1228
Compatibile
Iniezione Minocycline hydrochloride 0.2 mg/ml
Iniezione Heparin sodium 1 UI/ml
Glucosio 5% 1228
Compatibile
Iniezione Minocycline hydrochloride 50 mg/ml
Iniezione Hydrocortisone sodium succinate 1 mg/ml
Glucosio 5% 1228
Compatibile
Iniezione Minocycline hydrochloride 50 mg/ml
Iniezione Hydrocortisone sodium succinate 1 mg/ml
Ringer lattato 1228
Compatibile
Iniezione Minocycline hydrochloride 50 mg/ml
Iniezione Hydrocortisone sodium succinate 1 mg/ml
Cloruro di sodio 0,9% 1228
Cambio colore dopo 1 ora Incompatibile
Iniezione Minocycline hydrochloride 0.2 mg/ml
Iniezione Hydromorphone hydrochloride 0.2 mg/ml
Glucosio 5% 405
Precipitazioni immediate Incompatibile
Iniezione Minocycline hydrochloride
Iniezione Levofolinate calcium
5058
Compatibile
Iniezione Minocycline hydrochloride 0.2 mg/ml
Iniezione Linezolid 2 mg/ml
Nessuno 1925
Compatibile
Iniezione Minocycline hydrochloride 0.2 mg/ml
Iniezione Magnesium sulfate 16.67 >> 100 mg/ml
Glucosio 5% 1047
Compatibile
Iniezione Minocycline hydrochloride 0.2 mg/ml
Iniezione Melphalan 0.1 mg/ml
Cloruro di sodio 0,9% 169
Incompatibilità non specificata Incompatibile
Iniezione Minocycline hydrochloride
Iniezione Mitomycin
4471
Instabilità chimica Incompatibile
Iniezione Minocycline hydrochloride
Iniezione Mitomycin
3128
Cambio colore dopo 1 ora Incompatibile
Iniezione Minocycline hydrochloride 0.2 mg/ml
Iniezione Morphine sulfate 1 mg/ml
Glucosio 5% 405
Incompatibilità non specificata Incompatibile
Iniezione Minocycline hydrochloride
Iniezione Morphine sulfate
3531
Cambio colore dopo 4 ore Incompatibile
Iniezione Minocycline hydrochloride 0.2 mg/ml
Iniezione Pemetrexed disodium 20 mg/ml
Cloruro di sodio 0,9% 1953
Cambio colore dopo 1 ora Incompatibile
Iniezione Minocycline hydrochloride 0.2 mg/ml
Iniezione Pethidine hydrochloride 10 mg/ml
Glucosio 5% 405
Precipitazioni immediate Incompatibile
Iniezione Minocycline hydrochloride 1 mg/ml
Iniezione Piperacillin sodium / tazobactam 40/5 mg/ml
Glucosio 5% 81
Compatibile
Iniezione Minocycline hydrochloride 50 mg/ml
Iniezione Potassium chloride 40 mEq/l
Glucosio 5% 1228
Compatibile
Iniezione Minocycline hydrochloride 50 mg/ml
Iniezione Potassium chloride 40 mEq/l
Cloruro di sodio 0,9% 1228
Compatibile
Iniezione Minocycline hydrochloride 50 mg/ml
Iniezione Potassium chloride 40 mEq/l
Ringer lattato 1228
Compatibile
Iniezione Minocycline hydrochloride 0.2 mg/ml
Iniezione Teniposide 0.1 mg/ml
Glucosio 5% 905
Instabilità immediata dell'emulsione Incompatibile
Iniezione Minocycline hydrochloride 0.2 mg/ml
Nutrizione parenterale (con lipidi) 1415
Precipitazioni immediate Incompatibile
Iniezione Minocycline hydrochloride 0.2 mg/ml
Iniezione Propofol 10 mg/ml
Nessuno 300
Compatibile
Iniezione Minocycline hydrochloride 0.2 mg/ml
Iniezione Remifentanil hydrochloride 25 & 250 µg/ml
Cloruro di sodio 0,9% 59
Compatibile
Iniezione Minocycline hydrochloride 0,1 mg/ml
Iniezione Rifampicin 0,1 mg/ml
Cloruro di sodio 0,9% 263
Compatibile
Iniezione Minocycline hydrochloride 0.2 mg/ml
Iniezione Sargramostim 10 µg/ml
Cloruro di sodio 0,9% 335
Compatibile
Iniezione Minocycline hydrochloride 0,4 mg/ml
Iniezione Sulbactam/durlobactam 15/15 mg/ml
Cloruro di sodio 0,9% 4801
Cambio colore dopo 1 ora Incompatibile
Iniezione Minocycline hydrochloride 0.2 mg/ml
Iniezione Thiotepa 1 mg/ml
Glucosio 5% 249
Compatibile
Iniezione Minocycline hydrochloride
Ringer lattato 5058
Compatibile
Iniezione Minocycline hydrochloride
Glucosio 5% 5058
Compatibile
Iniezione Minocycline hydrochloride
Cloruro di sodio 0,9% 5058
Compatibile
Iniezione Minocycline hydrochloride 0.2 mg/ml
Iniezione Vinorelbine tartrate 1 mg/ml
Cloruro di sodio 0,9% 84
Cambio di colore Incompatibile
Iniezione Minocycline hydrochloride 0.2 mg/ml
Nutrizione parenterale (privo di lipidi) 301

  Mentions Légales