Viimeisin päivitys :
27/04/2026
Antibiootit   Minocycline hydrochloride  
Injektioneste
Oraaliliuos
Stabilius liuoksessa Stabilius seoksissa Tekijät, jotka vaikuttavat stabiliuteen Yhteensopivuus Antotapa Viitteet pdf
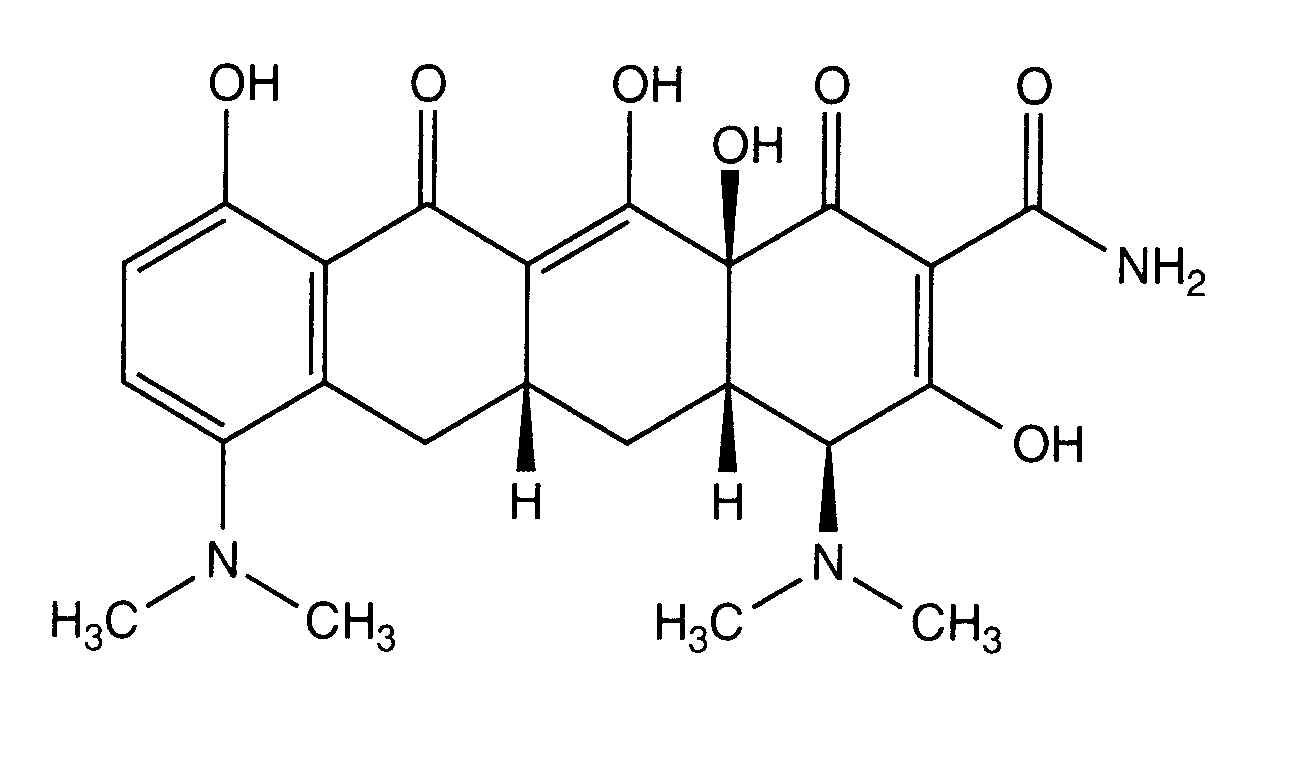
   Kemiallinen rakenne  

Kauppanimi   Kauppanimi     

Trade names are indicative and excipients composition can be different depending on the country and manufacturers

Minocin Yhdysvallat
Yhteensopivuus   Injektioneste   Yhteensopivuus : Minocycline hydrochloride              
Tämä näyttö osoittaa yhteensopivuuden tai yhteensopimattomuuden yhteensopimattomuuden tyypin kanssa (saostuminen, värinmuutos, emulsiomuutos jne.). Tässä esitetty yhteensopivuus on useimmissa tapauksissa vain fysikaalinen, ja kunkin molekyylin kemiallista stabiilisuutta arvioidaan harvoin. Näiden seosten arviointia tutkittiin mahdollisuuden antaa Y-kohta potilaalle. Näitä tietoja ei voida käyttää seosten valmistamiseen etukäteen pusseissa tai ruiskuissa. Tämäntyyppiset tiedot ovat saatavilla "Stabiilisuus seoksessa" -näytössä.
Yhdiste Liuotin Viitteet
Värinvaihto 4 tunnin kuluttua yhteensopimaton
Injektioneste Minocycline hydrochloride 0.2 mg/ml
Injektioneste Allopurinol sodium 3 mg/ml
Natriumkloridi 0,9% 307
Välittömät sateet yhteensopimaton
Injektioneste Minocycline hydrochloride
Injektioneste Calcium chloride
5058
Välittömät sateet yhteensopimaton
Injektioneste Minocycline hydrochloride
Injektioneste Calcium glucoheptonate
5058
Määrittelemätön yhteensopimattomuus yhteensopimaton
Injektioneste Minocycline hydrochloride
Injektioneste Calcium gluconate
3644
Välittömät sateet yhteensopimaton
Injektioneste Minocycline hydrochloride
Injektioneste Calcium gluconate
5058
Yhteensopiva
Injektioneste Minocycline hydrochloride 0.2 mg/ml
Injektioneste Cisatracurium besylate 0.1 >> 5 mg/ml
Glukoosi 5% 299
Yhteensopiva
Injektioneste Minocycline hydrochloride 0.2 mg/ml
Injektioneste Docetaxel 0.9 mg/ml
Glukoosi 5% 1754
Määrittelemätön yhteensopimattomuus yhteensopimaton
Injektioneste Minocycline hydrochloride
Injektioneste Erythromycin lactobionate
3674
Yhteensopiva
Injektioneste Minocycline hydrochloride 0.2 mg/ml
Injektioneste Etoposide phosphate 5 mg/ml
Glukoosi 5% 1410
Yhteensopiva
Injektioneste Minocycline hydrochloride 0.2 mg/ml
Injektioneste Filgrastim 30 µg/ml
Glukoosi 5% 244
Välittömät sateet yhteensopimaton
Injektioneste Minocycline hydrochloride 1 mg/ml
Parenteraalinen (lipidien) 4440
Värinvaihto yhteensopimaton
Injektioneste Minocycline hydrochloride 0.2 mg/ml
Injektioneste Amifostine 10 mg/ml
Glukoosi 5% 3
Yhteensopiva
Injektioneste Minocycline hydrochloride 0.2 mg/ml
Injektioneste Aztreonam 40 mg/ml
Glukoosi 5% 99
Yhteensopiva
Injektioneste Minocycline hydrochloride 0.2 mg/ml
Injektioneste Fludarabine phosphate 1 mg/ml
Glukoosi 5% 492
Välittömät sateet yhteensopimaton
Injektioneste Minocycline hydrochloride
Injektioneste Folinate calcium
5058
Yhteensopiva
Injektioneste Minocycline hydrochloride 0.2 mg/ml
Injektioneste Gemcitabine hydrochloride 10 mg/ml
Natriumkloridi 0,9% 1423
Yhteensopiva
Injektioneste Minocycline hydrochloride 0.2 mg/ml
Injektioneste Granisetron hydrochloride 0.05 mg/ml
Glukoosi 5% 182
Yhteensopiva
Injektioneste Minocycline hydrochloride 0.2 mg/ml
Injektioneste Heparin sodium 1 UI/ml
Ringerlaktaattiliuos 1228
Yhteensopiva
Injektioneste Minocycline hydrochloride 0.2 mg/ml
Injektioneste Heparin sodium 1 UI/ml
Natriumkloridi 0,9% 1228
Yhteensopiva
Injektioneste Minocycline hydrochloride 0.2 mg/ml
Injektioneste Heparin sodium 1 UI/ml
Glukoosi 5% 1228
Yhteensopiva
Injektioneste Minocycline hydrochloride 50 mg/ml
Injektioneste Hydrocortisone sodium succinate 1 mg/ml
Glukoosi 5% 1228
Yhteensopiva
Injektioneste Minocycline hydrochloride 50 mg/ml
Injektioneste Hydrocortisone sodium succinate 1 mg/ml
Ringerlaktaattiliuos 1228
Yhteensopiva
Injektioneste Minocycline hydrochloride 50 mg/ml
Injektioneste Hydrocortisone sodium succinate 1 mg/ml
Natriumkloridi 0,9% 1228
Värinvaihto 1 tunnin kuluttua yhteensopimaton
Injektioneste Minocycline hydrochloride 0.2 mg/ml
Injektioneste Hydromorphone hydrochloride 0.2 mg/ml
Glukoosi 5% 405
Välittömät sateet yhteensopimaton
Injektioneste Minocycline hydrochloride
Injektioneste Levofolinate calcium
5058
Yhteensopiva
Injektioneste Minocycline hydrochloride 0.2 mg/ml
Injektioneste Linezolid 2 mg/ml
Ei mikään 1925
Yhteensopiva
Injektioneste Minocycline hydrochloride 0.2 mg/ml
Injektioneste Magnesium sulfate 16.67 >> 100 mg/ml
Glukoosi 5% 1047
Yhteensopiva
Injektioneste Minocycline hydrochloride 0.2 mg/ml
Injektioneste Melphalan 0.1 mg/ml
Natriumkloridi 0,9% 169
Määrittelemätön yhteensopimattomuus yhteensopimaton
Injektioneste Minocycline hydrochloride
Injektioneste Mitomycin
4471
Kemiallinen epävakaus yhteensopimaton
Injektioneste Minocycline hydrochloride
Injektioneste Mitomycin
3128
Värinvaihto 1 tunnin kuluttua yhteensopimaton
Injektioneste Minocycline hydrochloride 0.2 mg/ml
Injektioneste Morphine sulfate 1 mg/ml
Glukoosi 5% 405
Määrittelemätön yhteensopimattomuus yhteensopimaton
Injektioneste Minocycline hydrochloride
Injektioneste Morphine sulfate
3531
Värinvaihto 4 tunnin kuluttua yhteensopimaton
Injektioneste Minocycline hydrochloride 0.2 mg/ml
Injektioneste Pemetrexed disodium 20 mg/ml
Natriumkloridi 0,9% 1953
Värinvaihto 1 tunnin kuluttua yhteensopimaton
Injektioneste Minocycline hydrochloride 0.2 mg/ml
Injektioneste Pethidine hydrochloride 10 mg/ml
Glukoosi 5% 405
Välittömät sateet yhteensopimaton
Injektioneste Minocycline hydrochloride 1 mg/ml
Injektioneste Piperacillin sodium / tazobactam 40/5 mg/ml
Glukoosi 5% 81
Yhteensopiva
Injektioneste Minocycline hydrochloride 50 mg/ml
Injektioneste Potassium chloride 40 mEq/l
Glukoosi 5% 1228
Yhteensopiva
Injektioneste Minocycline hydrochloride 50 mg/ml
Injektioneste Potassium chloride 40 mEq/l
Natriumkloridi 0,9% 1228
Yhteensopiva
Injektioneste Minocycline hydrochloride 50 mg/ml
Injektioneste Potassium chloride 40 mEq/l
Ringerlaktaattiliuos 1228
Yhteensopiva
Injektioneste Minocycline hydrochloride 0.2 mg/ml
Injektioneste Teniposide 0.1 mg/ml
Glukoosi 5% 905
Emulsion välitön epävakaus yhteensopimaton
Injektioneste Minocycline hydrochloride 0.2 mg/ml
Parenteraalinen (lipidien) 1415
Välittömät sateet yhteensopimaton
Injektioneste Minocycline hydrochloride 0.2 mg/ml
Injektioneste Propofol 10 mg/ml
Ei mikään 300
Yhteensopiva
Injektioneste Minocycline hydrochloride 0.2 mg/ml
Injektioneste Remifentanil hydrochloride 25 & 250 µg/ml
Natriumkloridi 0,9% 59
Yhteensopiva
Injektioneste Minocycline hydrochloride 0,1 mg/ml
Injektioneste Rifampicin 0,1 mg/ml
Natriumkloridi 0,9% 263
Yhteensopiva
Injektioneste Minocycline hydrochloride 0.2 mg/ml
Injektioneste Sargramostim 10 µg/ml
Natriumkloridi 0,9% 335
Yhteensopiva
Injektioneste Minocycline hydrochloride 0,4 mg/ml
Injektioneste Sulbactam/durlobactam 15/15 mg/ml
Natriumkloridi 0,9% 4801
Värinvaihto 1 tunnin kuluttua yhteensopimaton
Injektioneste Minocycline hydrochloride 0.2 mg/ml
Injektioneste Thiotepa 1 mg/ml
Glukoosi 5% 249
Yhteensopiva
Injektioneste Minocycline hydrochloride
Ringerlaktaattiliuos 5058
Yhteensopiva
Injektioneste Minocycline hydrochloride
Glukoosi 5% 5058
Yhteensopiva
Injektioneste Minocycline hydrochloride
Natriumkloridi 0,9% 5058
Yhteensopiva
Injektioneste Minocycline hydrochloride 0.2 mg/ml
Injektioneste Vinorelbine tartrate 1 mg/ml
Natriumkloridi 0,9% 84
Värinvaihto yhteensopimaton
Injektioneste Minocycline hydrochloride 0.2 mg/ml
Parenteraalisesti (rasva-free) 301

  Mentions Légales