Последно актуализиране :
27/04/2026
Антибиотик   Minocycline hydrochloride  
Инжекция/Инжекционен
Орален разтвор
Стабилност на разтвори Стабилност на смеси Фактори, повлияващи стабилността Съвместимост Път на въвеждане Библиография Pdf
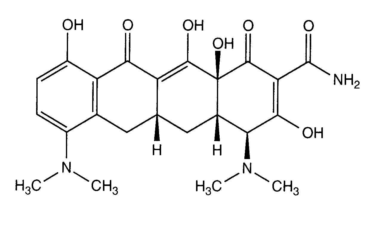
   Химична структура  

Търговско наименование   Търговско наименование     

Търговските имена са примерни и съставът на помощните вещества може да бъде различен в зависимост от държавата и лабораториите

Minocin Съединени Американски щати / САЩ
Съвместимост   Инжекция/Инжекционен   Съвместимост : Minocycline hydrochloride              
Този екран показва съвместимостта или несъвместимостта с, в този случай, вида на несъвместимостта (утаяване, промяна на цвета, модификация на емулсия и др.). Показаните тук съвместимости са предимно физически, като рядко се оценява химическата стабилност на всяка молекула. Оценката на тези смеси беше проучена, за да се разгледа възможността за приложение на Y-място на пациента. Тези данни не могат да се използват за предварително приготвяне на смеси в торбички или спринцовки. Този тип информация е достъпна на екрана "Стабилност в сместа".
Състав / молекула Разтворител Библиография
Промяна на цвета след 4 часа Несъвместим
Инжекция/Инжекционен Minocycline hydrochloride 0.2 mg/ml
Инжекция/Инжекционен Allopurinol sodium 3 mg/ml
Sodium chloride 0,9% 307
Незабавни валежи Несъвместим
Инжекция/Инжекционен Minocycline hydrochloride
Инжекция/Инжекционен Calcium chloride
5058
Незабавни валежи Несъвместим
Инжекция/Инжекционен Minocycline hydrochloride
Инжекция/Инжекционен Calcium glucoheptonate
5058
Неопределена несъвместимост Несъвместим
Инжекция/Инжекционен Minocycline hydrochloride
Инжекция/Инжекционен Calcium gluconate
3644
Незабавни валежи Несъвместим
Инжекция/Инжекционен Minocycline hydrochloride
Инжекция/Инжекционен Calcium gluconate
5058
съвместим
Инжекция/Инжекционен Minocycline hydrochloride 0.2 mg/ml
Инжекция/Инжекционен Cisatracurium besylate 0.1 >> 5 mg/ml
Glucose 5% 299
съвместим
Инжекция/Инжекционен Minocycline hydrochloride 0.2 mg/ml
Инжекция/Инжекционен Docetaxel 0.9 mg/ml
Glucose 5% 1754
Неопределена несъвместимост Несъвместим
Инжекция/Инжекционен Minocycline hydrochloride
Инжекция/Инжекционен Erythromycin lactobionate
3674
съвместим
Инжекция/Инжекционен Minocycline hydrochloride 0.2 mg/ml
Инжекция/Инжекционен Etoposide phosphate 5 mg/ml
Glucose 5% 1410
съвместим
Инжекция/Инжекционен Minocycline hydrochloride 0.2 mg/ml
Инжекция/Инжекционен Filgrastim 30 µg/ml
Glucose 5% 244
Незабавни валежи Несъвместим
Инжекция/Инжекционен Minocycline hydrochloride 1 mg/ml
Парентерално хранене (с липиди) 4440
Промяна на цвета Несъвместим
Инжекция/Инжекционен Minocycline hydrochloride 0.2 mg/ml
Инжекция/Инжекционен Amifostine 10 mg/ml
Glucose 5% 3
съвместим
Инжекция/Инжекционен Minocycline hydrochloride 0.2 mg/ml
Инжекция/Инжекционен Aztreonam 40 mg/ml
Glucose 5% 99
съвместим
Инжекция/Инжекционен Minocycline hydrochloride 0.2 mg/ml
Инжекция/Инжекционен Fludarabine phosphate 1 mg/ml
Glucose 5% 492
Незабавни валежи Несъвместим
Инжекция/Инжекционен Minocycline hydrochloride
Инжекция/Инжекционен Folinate calcium
5058
съвместим
Инжекция/Инжекционен Minocycline hydrochloride 0.2 mg/ml
Инжекция/Инжекционен Gemcitabine hydrochloride 10 mg/ml
Sodium chloride 0,9% 1423
съвместим
Инжекция/Инжекционен Minocycline hydrochloride 0.2 mg/ml
Инжекция/Инжекционен Granisetron hydrochloride 0.05 mg/ml
Glucose 5% 182
съвместим
Инжекция/Инжекционен Minocycline hydrochloride 0.2 mg/ml
Инжекция/Инжекционен Heparin sodium 1 UI/ml
Ринтер лактат 1228
съвместим
Инжекция/Инжекционен Minocycline hydrochloride 0.2 mg/ml
Инжекция/Инжекционен Heparin sodium 1 UI/ml
Sodium chloride 0,9% 1228
съвместим
Инжекция/Инжекционен Minocycline hydrochloride 0.2 mg/ml
Инжекция/Инжекционен Heparin sodium 1 UI/ml
Glucose 5% 1228
съвместим
Инжекция/Инжекционен Minocycline hydrochloride 50 mg/ml
Инжекция/Инжекционен Hydrocortisone sodium succinate 1 mg/ml
Glucose 5% 1228
съвместим
Инжекция/Инжекционен Minocycline hydrochloride 50 mg/ml
Инжекция/Инжекционен Hydrocortisone sodium succinate 1 mg/ml
Ринтер лактат 1228
съвместим
Инжекция/Инжекционен Minocycline hydrochloride 50 mg/ml
Инжекция/Инжекционен Hydrocortisone sodium succinate 1 mg/ml
Sodium chloride 0,9% 1228
Промяна на цвета след 1 час Несъвместим
Инжекция/Инжекционен Minocycline hydrochloride 0.2 mg/ml
Инжекция/Инжекционен Hydromorphone hydrochloride 0.2 mg/ml
Glucose 5% 405
Незабавни валежи Несъвместим
Инжекция/Инжекционен Minocycline hydrochloride
Инжекция/Инжекционен Levofolinate calcium
5058
съвместим
Инжекция/Инжекционен Minocycline hydrochloride 0.2 mg/ml
Инжекция/Инжекционен Linezolid 2 mg/ml
Няма 1925
съвместим
Инжекция/Инжекционен Minocycline hydrochloride 0.2 mg/ml
Инжекция/Инжекционен Magnesium sulfate 16.67 >> 100 mg/ml
Glucose 5% 1047
съвместим
Инжекция/Инжекционен Minocycline hydrochloride 0.2 mg/ml
Инжекция/Инжекционен Melphalan 0.1 mg/ml
Sodium chloride 0,9% 169
Неопределена несъвместимост Несъвместим
Инжекция/Инжекционен Minocycline hydrochloride
Инжекция/Инжекционен Mitomycin
4471
Химическа нестабилност Несъвместим
Инжекция/Инжекционен Minocycline hydrochloride
Инжекция/Инжекционен Mitomycin
3128
Промяна на цвета след 1 час Несъвместим
Инжекция/Инжекционен Minocycline hydrochloride 0.2 mg/ml
Инжекция/Инжекционен Morphine sulfate 1 mg/ml
Glucose 5% 405
Неопределена несъвместимост Несъвместим
Инжекция/Инжекционен Minocycline hydrochloride
Инжекция/Инжекционен Morphine sulfate
3531
Промяна на цвета след 4 часа Несъвместим
Инжекция/Инжекционен Minocycline hydrochloride 0.2 mg/ml
Инжекция/Инжекционен Pemetrexed disodium 20 mg/ml
Sodium chloride 0,9% 1953
Промяна на цвета след 1 час Несъвместим
Инжекция/Инжекционен Minocycline hydrochloride 0.2 mg/ml
Инжекция/Инжекционен Pethidine hydrochloride 10 mg/ml
Glucose 5% 405
Незабавни валежи Несъвместим
Инжекция/Инжекционен Minocycline hydrochloride 1 mg/ml
Инжекция/Инжекционен Piperacillin sodium / tazobactam 40/5 mg/ml
Glucose 5% 81
съвместим
Инжекция/Инжекционен Minocycline hydrochloride 50 mg/ml
Инжекция/Инжекционен Potassium chloride 40 mEq/l
Glucose 5% 1228
съвместим
Инжекция/Инжекционен Minocycline hydrochloride 50 mg/ml
Инжекция/Инжекционен Potassium chloride 40 mEq/l
Sodium chloride 0,9% 1228
съвместим
Инжекция/Инжекционен Minocycline hydrochloride 50 mg/ml
Инжекция/Инжекционен Potassium chloride 40 mEq/l
Ринтер лактат 1228
съвместим
Инжекция/Инжекционен Minocycline hydrochloride 0.2 mg/ml
Инжекция/Инжекционен Teniposide 0.1 mg/ml
Glucose 5% 905
Непосредствена нестабилност на емулсията Несъвместим
Инжекция/Инжекционен Minocycline hydrochloride 0.2 mg/ml
Парентерално хранене (с липиди) 1415
Незабавни валежи Несъвместим
Инжекция/Инжекционен Minocycline hydrochloride 0.2 mg/ml
Инжекция/Инжекционен Propofol 10 mg/ml
Няма 300
съвместим
Инжекция/Инжекционен Minocycline hydrochloride 0.2 mg/ml
Инжекция/Инжекционен Remifentanil hydrochloride 25 & 250 µg/ml
Sodium chloride 0,9% 59
съвместим
Инжекция/Инжекционен Minocycline hydrochloride 0,1 mg/ml
Инжекция/Инжекционен Rifampicin 0,1 mg/ml
Sodium chloride 0,9% 263
съвместим
Инжекция/Инжекционен Minocycline hydrochloride 0.2 mg/ml
Инжекция/Инжекционен Sargramostim 10 µg/ml
Sodium chloride 0,9% 335
съвместим
Инжекция/Инжекционен Minocycline hydrochloride 0,4 mg/ml
Инжекция/Инжекционен Sulbactam/durlobactam 15/15 mg/ml
Sodium chloride 0,9% 4801
Промяна на цвета след 1 час Несъвместим
Инжекция/Инжекционен Minocycline hydrochloride 0.2 mg/ml
Инжекция/Инжекционен Thiotepa 1 mg/ml
Glucose 5% 249
съвместим
Инжекция/Инжекционен Minocycline hydrochloride
Ринтер лактат 5058
съвместим
Инжекция/Инжекционен Minocycline hydrochloride
Glucose 5% 5058
съвместим
Инжекция/Инжекционен Minocycline hydrochloride
Sodium chloride 0,9% 5058
съвместим
Инжекция/Инжекционен Minocycline hydrochloride 0.2 mg/ml
Инжекция/Инжекционен Vinorelbine tartrate 1 mg/ml
Sodium chloride 0,9% 84
Промяна на цвета Несъвместим
Инжекция/Инжекционен Minocycline hydrochloride 0.2 mg/ml
Парентерално хранене (липидите безплатно) 301

  Mentions Légales