Ultimele actualizari :
27/04/2026
Antibiotic   Minocycline hydrochloride  
Injectabil
Soluţie orală
Stabilitatea in solutie Stabilitatea in amestec Factorii care influenteaza stabilitatea Compatibilitate Microunde Bibliografie pdf
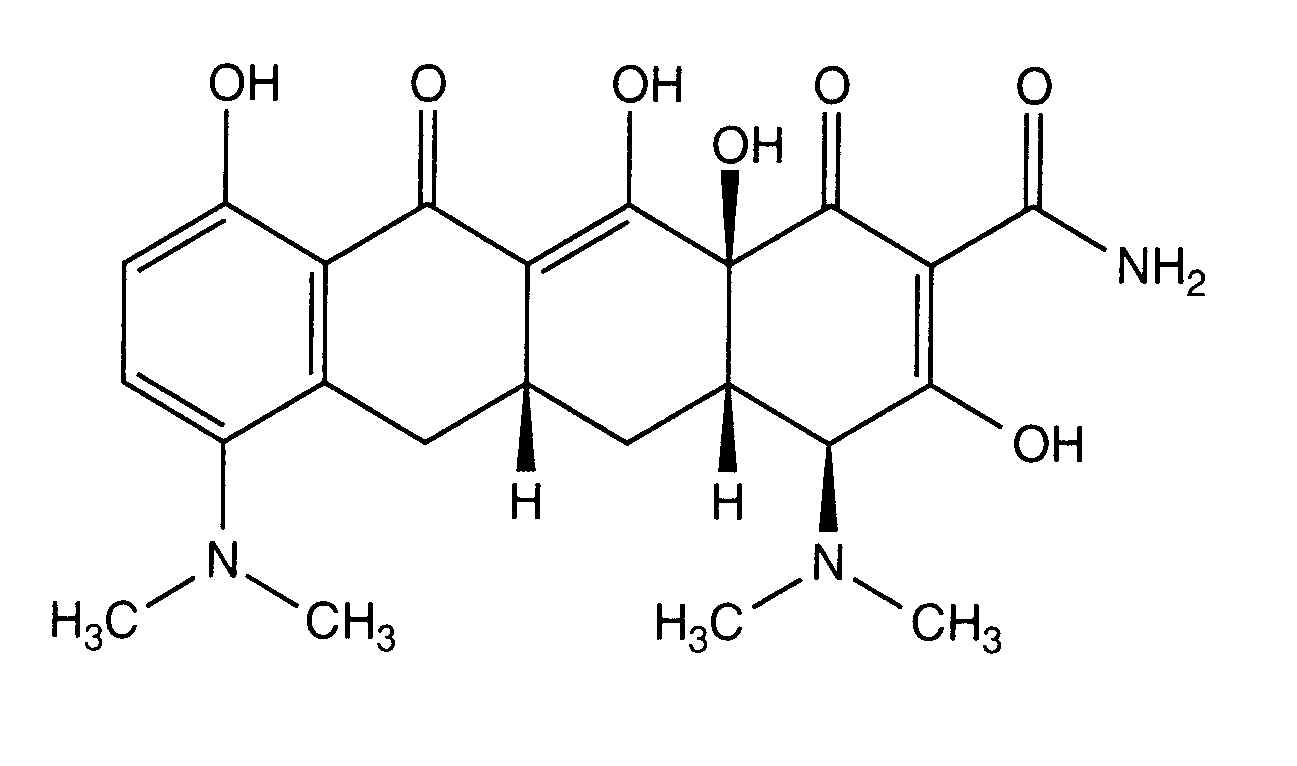
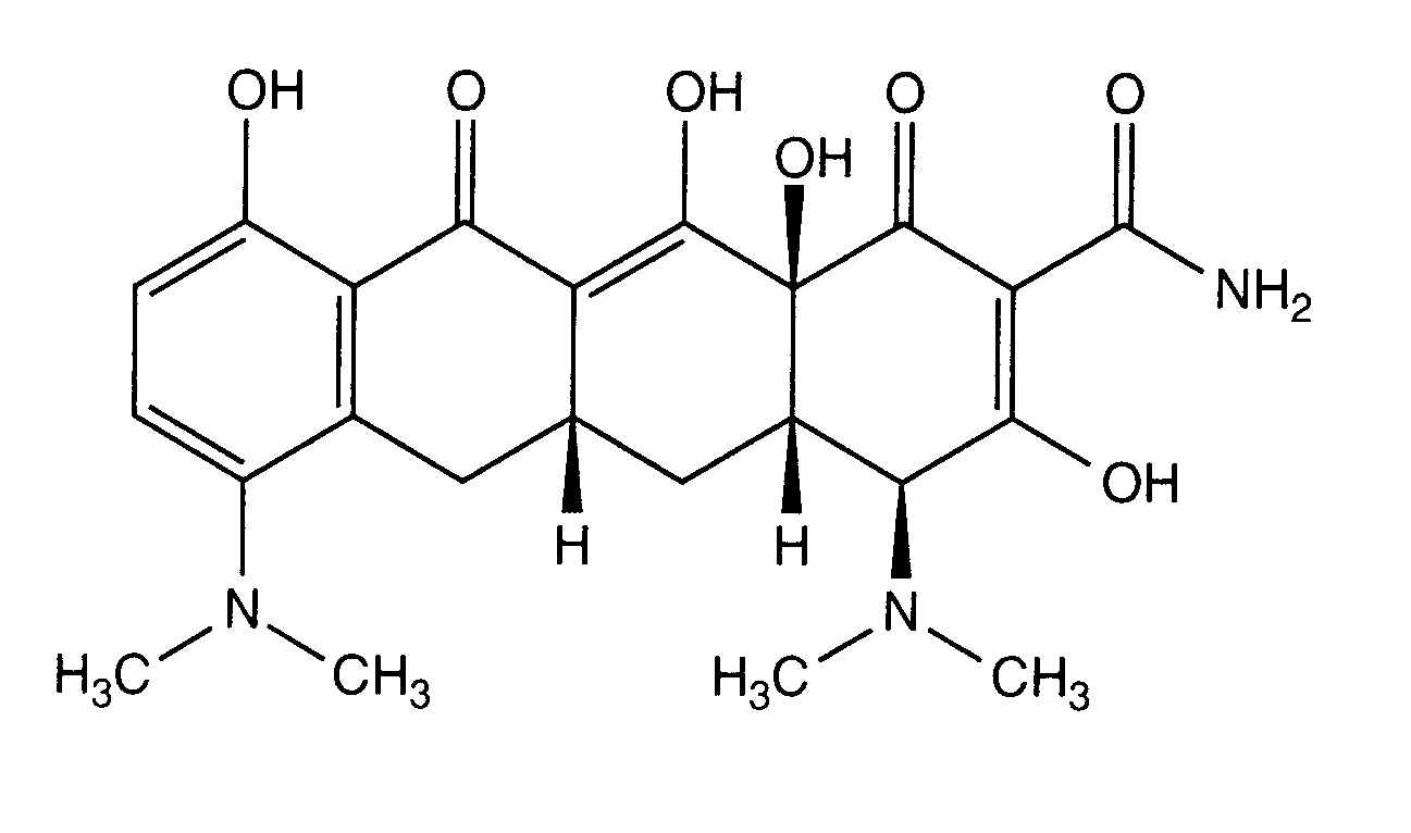
   Formula chimica  

Denumirea comerciala   Denumirea comerciala     

Trade names are indicative and excipients composition can be different depending on the country and manufacturers

Minocin SUA
Compatibilitate   Injectabil   Compatibilitate : Minocycline hydrochloride              
Acest ecran indică compatibilitățile sau incompatibilitățile cu, în acest caz, tipul de incompatibilitate (precipitații, schimbarea culorii, modificarea unei emulsii etc.). Compatibilitățile prezentate aici sunt în mare parte numai fizice, stabilitatea chimică a fiecărei molecule fiind rareori evaluată. Evaluarea acestor amestecuri a fost studiată pentru a lua în considerare posibilitatea administrării site-ului Y la pacient. Aceste date nu pot fi utilizate pentru prepararea în prealabil a amestecurilor în pungi sau seringi. Acest tip de informații este disponibil în ecranul „Stabilitate în amestec».
Molecula (substanta activa) Solvent Bibiografie
Schimbarea culorii după 4 ore Incompatibil
Injectabil Minocycline hydrochloride 0.2 mg/ml
Injectabil Allopurinol sodium 3 mg/ml
clorura de sodiu 0,9% 307
Precipitații imediate Incompatibil
Injectabil Minocycline hydrochloride
Injectabil Calcium chloride
5058
Precipitații imediate Incompatibil
Injectabil Minocycline hydrochloride
Injectabil Calcium glucoheptonate
5058
Incompatibilitate nespecificată Incompatibil
Injectabil Minocycline hydrochloride
Injectabil Calcium gluconate
3644
Precipitații imediate Incompatibil
Injectabil Minocycline hydrochloride
Injectabil Calcium gluconate
5058
Compatibil
Injectabil Minocycline hydrochloride 0.2 mg/ml
Injectabil Cisatracurium besylate 0.1 >> 5 mg/ml
Glucoza 5% 299
Compatibil
Injectabil Minocycline hydrochloride 0.2 mg/ml
Injectabil Docetaxel 0.9 mg/ml
Glucoza 5% 1754
Incompatibilitate nespecificată Incompatibil
Injectabil Minocycline hydrochloride
Injectabil Erythromycin lactobionate
3674
Compatibil
Injectabil Minocycline hydrochloride 0.2 mg/ml
Injectabil Etoposide phosphate 5 mg/ml
Glucoza 5% 1410
Compatibil
Injectabil Minocycline hydrochloride 0.2 mg/ml
Injectabil Filgrastim 30 µg/ml
Glucoza 5% 244
Precipitații imediate Incompatibil
Injectabil Minocycline hydrochloride 1 mg/ml
Nutriție parenterală (cu lipide) 4440
Schimbarea culorii Incompatibil
Injectabil Minocycline hydrochloride 0.2 mg/ml
Injectabil Amifostine 10 mg/ml
Glucoza 5% 3
Compatibil
Injectabil Minocycline hydrochloride 0.2 mg/ml
Injectabil Aztreonam 40 mg/ml
Glucoza 5% 99
Compatibil
Injectabil Minocycline hydrochloride 0.2 mg/ml
Injectabil Fludarabine phosphate 1 mg/ml
Glucoza 5% 492
Precipitații imediate Incompatibil
Injectabil Minocycline hydrochloride
Injectabil Folinate calcium
5058
Compatibil
Injectabil Minocycline hydrochloride 0.2 mg/ml
Injectabil Gemcitabine hydrochloride 10 mg/ml
clorura de sodiu 0,9% 1423
Compatibil
Injectabil Minocycline hydrochloride 0.2 mg/ml
Injectabil Granisetron hydrochloride 0.05 mg/ml
Glucoza 5% 182
Compatibil
Injectabil Minocycline hydrochloride 0.2 mg/ml
Injectabil Heparin sodium 1 UI/ml
Solutie Ringer lactat 1228
Compatibil
Injectabil Minocycline hydrochloride 0.2 mg/ml
Injectabil Heparin sodium 1 UI/ml
clorura de sodiu 0,9% 1228
Compatibil
Injectabil Minocycline hydrochloride 0.2 mg/ml
Injectabil Heparin sodium 1 UI/ml
Glucoza 5% 1228
Compatibil
Injectabil Minocycline hydrochloride 50 mg/ml
Injectabil Hydrocortisone sodium succinate 1 mg/ml
Glucoza 5% 1228
Compatibil
Injectabil Minocycline hydrochloride 50 mg/ml
Injectabil Hydrocortisone sodium succinate 1 mg/ml
Solutie Ringer lactat 1228
Compatibil
Injectabil Minocycline hydrochloride 50 mg/ml
Injectabil Hydrocortisone sodium succinate 1 mg/ml
clorura de sodiu 0,9% 1228
Schimbarea culorii după 1 oră Incompatibil
Injectabil Minocycline hydrochloride 0.2 mg/ml
Injectabil Hydromorphone hydrochloride 0.2 mg/ml
Glucoza 5% 405
Precipitații imediate Incompatibil
Injectabil Minocycline hydrochloride
Injectabil Levofolinate calcium
5058
Compatibil
Injectabil Minocycline hydrochloride 0.2 mg/ml
Injectabil Linezolid 2 mg/ml
fara 1925
Compatibil
Injectabil Minocycline hydrochloride 0.2 mg/ml
Injectabil Magnesium sulfate 16.67 >> 100 mg/ml
Glucoza 5% 1047
Compatibil
Injectabil Minocycline hydrochloride 0.2 mg/ml
Injectabil Melphalan 0.1 mg/ml
clorura de sodiu 0,9% 169
Incompatibilitate nespecificată Incompatibil
Injectabil Minocycline hydrochloride
Injectabil Mitomycin
4471
Instabilitate chimică Incompatibil
Injectabil Minocycline hydrochloride
Injectabil Mitomycin
3128
Schimbarea culorii după 1 oră Incompatibil
Injectabil Minocycline hydrochloride 0.2 mg/ml
Injectabil Morphine sulfate 1 mg/ml
Glucoza 5% 405
Incompatibilitate nespecificată Incompatibil
Injectabil Minocycline hydrochloride
Injectabil Morphine sulfate
3531
Schimbarea culorii după 4 ore Incompatibil
Injectabil Minocycline hydrochloride 0.2 mg/ml
Injectabil Pemetrexed disodium 20 mg/ml
clorura de sodiu 0,9% 1953
Schimbarea culorii după 1 oră Incompatibil
Injectabil Minocycline hydrochloride 0.2 mg/ml
Injectabil Pethidine hydrochloride 10 mg/ml
Glucoza 5% 405
Precipitații imediate Incompatibil
Injectabil Minocycline hydrochloride 1 mg/ml
Injectabil Piperacillin sodium / tazobactam 40/5 mg/ml
Glucoza 5% 81
Compatibil
Injectabil Minocycline hydrochloride 50 mg/ml
Injectabil Potassium chloride 40 mEq/l
Glucoza 5% 1228
Compatibil
Injectabil Minocycline hydrochloride 50 mg/ml
Injectabil Potassium chloride 40 mEq/l
clorura de sodiu 0,9% 1228
Compatibil
Injectabil Minocycline hydrochloride 50 mg/ml
Injectabil Potassium chloride 40 mEq/l
Solutie Ringer lactat 1228
Compatibil
Injectabil Minocycline hydrochloride 0.2 mg/ml
Injectabil Teniposide 0.1 mg/ml
Glucoza 5% 905
Instabilitate imediată a emulsiei Incompatibil
Injectabil Minocycline hydrochloride 0.2 mg/ml
Nutriție parenterală (cu lipide) 1415
Precipitații imediate Incompatibil
Injectabil Minocycline hydrochloride 0.2 mg/ml
Injectabil Propofol 10 mg/ml
fara 300
Compatibil
Injectabil Minocycline hydrochloride 0.2 mg/ml
Injectabil Remifentanil hydrochloride 25 & 250 µg/ml
clorura de sodiu 0,9% 59
Compatibil
Injectabil Minocycline hydrochloride 0,1 mg/ml
Injectabil Rifampicin 0,1 mg/ml
clorura de sodiu 0,9% 263
Compatibil
Injectabil Minocycline hydrochloride 0.2 mg/ml
Injectabil Sargramostim 10 µg/ml
clorura de sodiu 0,9% 335
Compatibil
Injectabil Minocycline hydrochloride 0,4 mg/ml
Injectabil Sulbactam/durlobactam 15/15 mg/ml
clorura de sodiu 0,9% 4801
Schimbarea culorii după 1 oră Incompatibil
Injectabil Minocycline hydrochloride 0.2 mg/ml
Injectabil Thiotepa 1 mg/ml
Glucoza 5% 249
Compatibil
Injectabil Minocycline hydrochloride
Solutie Ringer lactat 5058
Compatibil
Injectabil Minocycline hydrochloride
Glucoza 5% 5058
Compatibil
Injectabil Minocycline hydrochloride
clorura de sodiu 0,9% 5058
Compatibil
Injectabil Minocycline hydrochloride 0.2 mg/ml
Injectabil Vinorelbine tartrate 1 mg/ml
clorura de sodiu 0,9% 84
Schimbarea culorii Incompatibil
Injectabil Minocycline hydrochloride 0.2 mg/ml
Nutritie parenterala (amestec binar) 301

  Mentions Légales