Letztes “update” :
27/04/2026
Antibiotikum   Minocycline hydrochloride  
Injektion
Lösung zum Einnehmen
Stabilität der Lösung Gemengestabilität Stabilitätbeeinflussende Faktoren Kompatibilitäten Applikationsart Literaturverzeichnis pdf
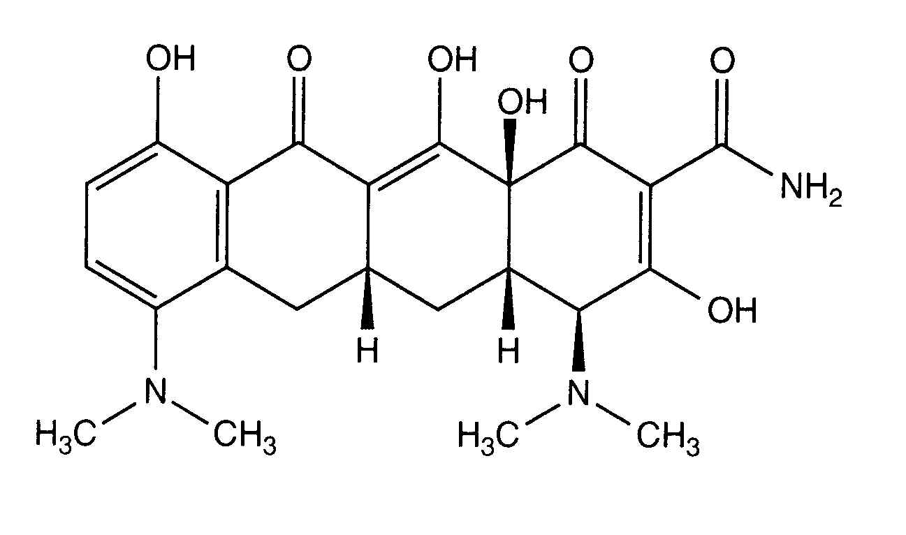
   Chemische Struktur  

Handelsmarke   Handelsmarke     

Handelsnamen sind als beispielhaft anzusehen. Sonstige Bestandteile können je nach Hersteller oder Land verschieden sein

Minocin Vereinigte Staaten von Amerika
Kompatibilitäten   Injektion   Kompatibilitäten : Minocycline hydrochloride              
Dieser Bildschirm zeigt die Kompatibilitäten oder Inkompatibilitäten mit der Art der Inkompatibilität (hier: Ausfällung, Farbänderung, Modifikation einer Emulsion usw.) an. Die hier gezeigten Kompatibilitäten sind meist nur physikalisch, wobei die chemische Stabilität jedes Moleküls selten bewertet wird. Die Bewertung dieser Gemische wurde untersucht, um die Möglichkeit einer Verabreichung über eine Y-Verbindung zu berücksichtigen. Diese Daten können daher nicht zur Herstellung von Mischungen im Voraus in Beuteln oder Spritzen verwendet werden. Sie finden diese Informationen auf dem Bildschirm "Stabilität in Mischung».
Molekül Lösungsmittel Literaturverzeichnis
Farbwechsel nach 4 Stunden nicht kompatibel
Injektion Minocycline hydrochloride 0.2 mg/ml
Injektion Allopurinol sodium 3 mg/ml
0,9% Natriumchlorid 307
Sofortiger Niederschlag nicht kompatibel
Injektion Minocycline hydrochloride
Injektion Calcium chloride
5058
Sofortiger Niederschlag nicht kompatibel
Injektion Minocycline hydrochloride
Injektion Calcium glucoheptonate
5058
Nicht spezifizierte Inkompatibilität nicht kompatibel
Injektion Minocycline hydrochloride
Injektion Calcium gluconate
3644
Sofortiger Niederschlag nicht kompatibel
Injektion Minocycline hydrochloride
Injektion Calcium gluconate
5058
kompatibel
Injektion Minocycline hydrochloride 0.2 mg/ml
Injektion Cisatracurium besylate 0.1 >> 5 mg/ml
5% Glucose 299
kompatibel
Injektion Minocycline hydrochloride 0.2 mg/ml
Injektion Docetaxel 0.9 mg/ml
5% Glucose 1754
Nicht spezifizierte Inkompatibilität nicht kompatibel
Injektion Minocycline hydrochloride
Injektion Erythromycin lactobionate
3674
kompatibel
Injektion Minocycline hydrochloride 0.2 mg/ml
Injektion Etoposide phosphate 5 mg/ml
5% Glucose 1410
kompatibel
Injektion Minocycline hydrochloride 0.2 mg/ml
Injektion Filgrastim 30 µg/ml
5% Glucose 244
Sofortiger Niederschlag nicht kompatibel
Injektion Minocycline hydrochloride 1 mg/ml
Parenterale Ernährung (mit Lipiden) 4440
Farbwechsel nicht kompatibel
Injektion Minocycline hydrochloride 0.2 mg/ml
Injektion Amifostine 10 mg/ml
5% Glucose 3
kompatibel
Injektion Minocycline hydrochloride 0.2 mg/ml
Injektion Aztreonam 40 mg/ml
5% Glucose 99
kompatibel
Injektion Minocycline hydrochloride 0.2 mg/ml
Injektion Fludarabine phosphate 1 mg/ml
5% Glucose 492
Sofortiger Niederschlag nicht kompatibel
Injektion Minocycline hydrochloride
Injektion Folinate calcium
5058
kompatibel
Injektion Minocycline hydrochloride 0.2 mg/ml
Injektion Gemcitabine hydrochloride 10 mg/ml
0,9% Natriumchlorid 1423
kompatibel
Injektion Minocycline hydrochloride 0.2 mg/ml
Injektion Granisetron hydrochloride 0.05 mg/ml
5% Glucose 182
kompatibel
Injektion Minocycline hydrochloride 0.2 mg/ml
Injektion Heparin sodium 1 UI/ml
Ringer Lactat - Lösung 1228
kompatibel
Injektion Minocycline hydrochloride 0.2 mg/ml
Injektion Heparin sodium 1 UI/ml
0,9% Natriumchlorid 1228
kompatibel
Injektion Minocycline hydrochloride 0.2 mg/ml
Injektion Heparin sodium 1 UI/ml
5% Glucose 1228
kompatibel
Injektion Minocycline hydrochloride 50 mg/ml
Injektion Hydrocortisone sodium succinate 1 mg/ml
5% Glucose 1228
kompatibel
Injektion Minocycline hydrochloride 50 mg/ml
Injektion Hydrocortisone sodium succinate 1 mg/ml
Ringer Lactat - Lösung 1228
kompatibel
Injektion Minocycline hydrochloride 50 mg/ml
Injektion Hydrocortisone sodium succinate 1 mg/ml
0,9% Natriumchlorid 1228
Farbwechsel nach 1 Stunde nicht kompatibel
Injektion Minocycline hydrochloride 0.2 mg/ml
Injektion Hydromorphone hydrochloride 0.2 mg/ml
5% Glucose 405
Sofortiger Niederschlag nicht kompatibel
Injektion Minocycline hydrochloride
Injektion Levofolinate calcium
5058
kompatibel
Injektion Minocycline hydrochloride 0.2 mg/ml
Injektion Linezolid 2 mg/ml
Kein 1925
kompatibel
Injektion Minocycline hydrochloride 0.2 mg/ml
Injektion Magnesium sulfate 16.67 >> 100 mg/ml
5% Glucose 1047
kompatibel
Injektion Minocycline hydrochloride 0.2 mg/ml
Injektion Melphalan 0.1 mg/ml
0,9% Natriumchlorid 169
Nicht spezifizierte Inkompatibilität nicht kompatibel
Injektion Minocycline hydrochloride
Injektion Mitomycin
4471
Chemische Instabilität nicht kompatibel
Injektion Minocycline hydrochloride
Injektion Mitomycin
3128
Farbwechsel nach 1 Stunde nicht kompatibel
Injektion Minocycline hydrochloride 0.2 mg/ml
Injektion Morphine sulfate 1 mg/ml
5% Glucose 405
Nicht spezifizierte Inkompatibilität nicht kompatibel
Injektion Minocycline hydrochloride
Injektion Morphine sulfate
3531
Farbwechsel nach 4 Stunden nicht kompatibel
Injektion Minocycline hydrochloride 0.2 mg/ml
Injektion Pemetrexed disodium 20 mg/ml
0,9% Natriumchlorid 1953
Farbwechsel nach 1 Stunde nicht kompatibel
Injektion Minocycline hydrochloride 0.2 mg/ml
Injektion Pethidine hydrochloride 10 mg/ml
5% Glucose 405
Sofortiger Niederschlag nicht kompatibel
Injektion Minocycline hydrochloride 1 mg/ml
Injektion Piperacillin sodium / tazobactam 40/5 mg/ml
5% Glucose 81
kompatibel
Injektion Minocycline hydrochloride 50 mg/ml
Injektion Potassium chloride 40 mEq/l
5% Glucose 1228
kompatibel
Injektion Minocycline hydrochloride 50 mg/ml
Injektion Potassium chloride 40 mEq/l
0,9% Natriumchlorid 1228
kompatibel
Injektion Minocycline hydrochloride 50 mg/ml
Injektion Potassium chloride 40 mEq/l
Ringer Lactat - Lösung 1228
kompatibel
Injektion Minocycline hydrochloride 0.2 mg/ml
Injektion Teniposide 0.1 mg/ml
5% Glucose 905
Sofortige Instabilität der Emulsion nicht kompatibel
Injektion Minocycline hydrochloride 0.2 mg/ml
Parenterale Ernährung (mit Lipiden) 1415
Sofortiger Niederschlag nicht kompatibel
Injektion Minocycline hydrochloride 0.2 mg/ml
Injektion Propofol 10 mg/ml
Kein 300
kompatibel
Injektion Minocycline hydrochloride 0.2 mg/ml
Injektion Remifentanil hydrochloride 25 & 250 µg/ml
0,9% Natriumchlorid 59
kompatibel
Injektion Minocycline hydrochloride 0,1 mg/ml
Injektion Rifampicin 0,1 mg/ml
0,9% Natriumchlorid 263
kompatibel
Injektion Minocycline hydrochloride 0.2 mg/ml
Injektion Sargramostim 10 µg/ml
0,9% Natriumchlorid 335
kompatibel
Injektion Minocycline hydrochloride 0,4 mg/ml
Injektion Sulbactam/durlobactam 15/15 mg/ml
0,9% Natriumchlorid 4801
Farbwechsel nach 1 Stunde nicht kompatibel
Injektion Minocycline hydrochloride 0.2 mg/ml
Injektion Thiotepa 1 mg/ml
5% Glucose 249
kompatibel
Injektion Minocycline hydrochloride
Ringer Lactat - Lösung 5058
kompatibel
Injektion Minocycline hydrochloride
5% Glucose 5058
kompatibel
Injektion Minocycline hydrochloride
0,9% Natriumchlorid 5058
kompatibel
Injektion Minocycline hydrochloride 0.2 mg/ml
Injektion Vinorelbine tartrate 1 mg/ml
0,9% Natriumchlorid 84
Farbwechsel nicht kompatibel
Injektion Minocycline hydrochloride 0.2 mg/ml
Parenterale Ernährung (Lipid-frei) 301

  Mentions Légales