Última actualização :
27/04/2026
antibiótico   Minocycline hydrochloride  
injetável
Solução Oral
Estabilidade em soluções simples Estabilidade em misturas Factores que afectam a sua estabilidade Compatibilidade Método de administração Bibliografía pdf
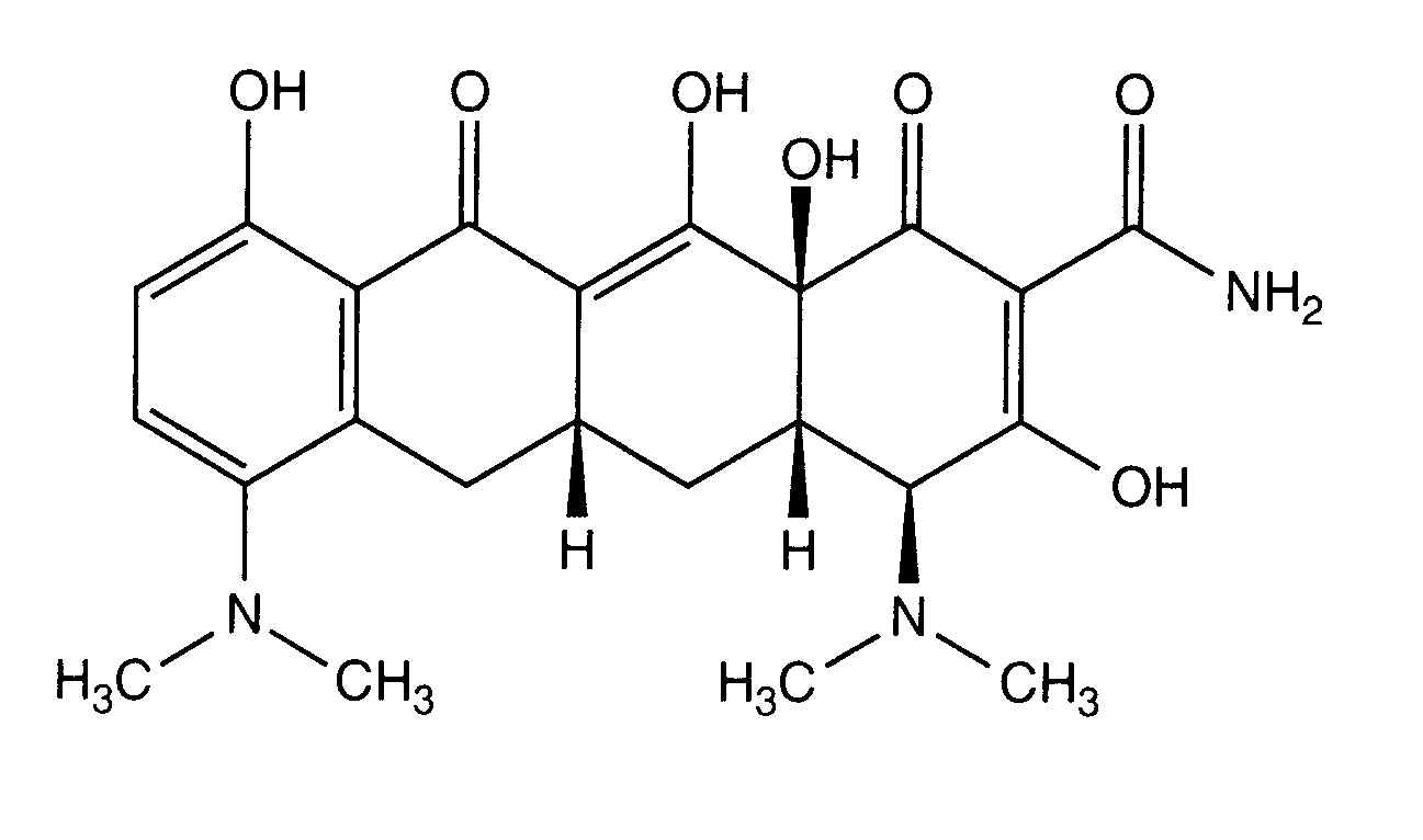
   estrutura química  

Nomes comerciais nos diversos países   Nomes comerciais nos diversos países     

OS NOMES COMERCIAIS SÃO INDICATIVOS E OS EXCIPIENTES DA FORMULAÇÃO PODEM SER DIFERENTES CONFORME O PAÍS E FABRICANTE.

Minocin Estados Unidos de América
Compatibilidade   injetável   Compatibilidade : Minocycline hydrochloride              
Este ecrã indica as compatibilidades ou incompatibilidades com, neste caso, o tipo de incompatibilidade (precipitação, mudança de cor, modificação de uma emulsão, etc.). As compatibilidades mostradas aqui são principalmente físicas, com a estabilidade química de cada molécula raramente sendo avaliada. A avaliação dessas misturas foi estudada para considerar a possibilidade de administração do local Y ao paciente. Estes dados não podem ser usados para fazer misturas antecipadamente em sacos ou seringas. Este tipo de informação está disponível na tela “Estabilidade na mistura».
molécula Solvente Bibliografia
Mudança de cor após 4 horas Incompatível
injetável Minocycline hydrochloride 0.2 mg/ml
injetável Allopurinol sodium 3 mg/ml
cloreto de sódio 0,9% 307
Precipitação imediata Incompatível
injetável Minocycline hydrochloride
injetável Calcium chloride
5058
Precipitação imediata Incompatível
injetável Minocycline hydrochloride
injetável Calcium glucoheptonate
5058
Incompatibilidade não especificada Incompatível
injetável Minocycline hydrochloride
injetável Calcium gluconate
3644
Precipitação imediata Incompatível
injetável Minocycline hydrochloride
injetável Calcium gluconate
5058
Compatível
injetável Minocycline hydrochloride 0.2 mg/ml
injetável Cisatracurium besylate 0.1 >> 5 mg/ml
Glucose 5% 299
Compatível
injetável Minocycline hydrochloride 0.2 mg/ml
injetável Docetaxel 0.9 mg/ml
Glucose 5% 1754
Incompatibilidade não especificada Incompatível
injetável Minocycline hydrochloride
injetável Erythromycin lactobionate
3674
Compatível
injetável Minocycline hydrochloride 0.2 mg/ml
injetável Etoposide phosphate 5 mg/ml
Glucose 5% 1410
Compatível
injetável Minocycline hydrochloride 0.2 mg/ml
injetável Filgrastim 30 µg/ml
Glucose 5% 244
Precipitação imediata Incompatível
injetável Minocycline hydrochloride 1 mg/ml
Nutrição parenteral (com lípidos) 4440
Mudança de cor Incompatível
injetável Minocycline hydrochloride 0.2 mg/ml
injetável Amifostine 10 mg/ml
Glucose 5% 3
Compatível
injetável Minocycline hydrochloride 0.2 mg/ml
injetável Aztreonam 40 mg/ml
Glucose 5% 99
Compatível
injetável Minocycline hydrochloride 0.2 mg/ml
injetável Fludarabine phosphate 1 mg/ml
Glucose 5% 492
Precipitação imediata Incompatível
injetável Minocycline hydrochloride
injetável Folinate calcium
5058
Compatível
injetável Minocycline hydrochloride 0.2 mg/ml
injetável Gemcitabine hydrochloride 10 mg/ml
cloreto de sódio 0,9% 1423
Compatível
injetável Minocycline hydrochloride 0.2 mg/ml
injetável Granisetron hydrochloride 0.05 mg/ml
Glucose 5% 182
Compatível
injetável Minocycline hydrochloride 0.2 mg/ml
injetável Heparin sodium 1 UI/ml
Ringer lactato 1228
Compatível
injetável Minocycline hydrochloride 0.2 mg/ml
injetável Heparin sodium 1 UI/ml
cloreto de sódio 0,9% 1228
Compatível
injetável Minocycline hydrochloride 0.2 mg/ml
injetável Heparin sodium 1 UI/ml
Glucose 5% 1228
Compatível
injetável Minocycline hydrochloride 50 mg/ml
injetável Hydrocortisone sodium succinate 1 mg/ml
Glucose 5% 1228
Compatível
injetável Minocycline hydrochloride 50 mg/ml
injetável Hydrocortisone sodium succinate 1 mg/ml
Ringer lactato 1228
Compatível
injetável Minocycline hydrochloride 50 mg/ml
injetável Hydrocortisone sodium succinate 1 mg/ml
cloreto de sódio 0,9% 1228
Mudança de cor após 1 hora Incompatível
injetável Minocycline hydrochloride 0.2 mg/ml
injetável Hydromorphone hydrochloride 0.2 mg/ml
Glucose 5% 405
Precipitação imediata Incompatível
injetável Minocycline hydrochloride
injetável Levofolinate calcium
5058
Compatível
injetável Minocycline hydrochloride 0.2 mg/ml
injetável Linezolid 2 mg/ml
nenhum 1925
Compatível
injetável Minocycline hydrochloride 0.2 mg/ml
injetável Magnesium sulfate 16.67 >> 100 mg/ml
Glucose 5% 1047
Compatível
injetável Minocycline hydrochloride 0.2 mg/ml
injetável Melphalan 0.1 mg/ml
cloreto de sódio 0,9% 169
Incompatibilidade não especificada Incompatível
injetável Minocycline hydrochloride
injetável Mitomycin
4471
Instabilidade química Incompatível
injetável Minocycline hydrochloride
injetável Mitomycin
3128
Mudança de cor após 1 hora Incompatível
injetável Minocycline hydrochloride 0.2 mg/ml
injetável Morphine sulfate 1 mg/ml
Glucose 5% 405
Incompatibilidade não especificada Incompatível
injetável Minocycline hydrochloride
injetável Morphine sulfate
3531
Mudança de cor após 4 horas Incompatível
injetável Minocycline hydrochloride 0.2 mg/ml
injetável Pemetrexed disodium 20 mg/ml
cloreto de sódio 0,9% 1953
Mudança de cor após 1 hora Incompatível
injetável Minocycline hydrochloride 0.2 mg/ml
injetável Pethidine hydrochloride 10 mg/ml
Glucose 5% 405
Precipitação imediata Incompatível
injetável Minocycline hydrochloride 1 mg/ml
injetável Piperacillin sodium / tazobactam 40/5 mg/ml
Glucose 5% 81
Compatível
injetável Minocycline hydrochloride 50 mg/ml
injetável Potassium chloride 40 mEq/l
Glucose 5% 1228
Compatível
injetável Minocycline hydrochloride 50 mg/ml
injetável Potassium chloride 40 mEq/l
cloreto de sódio 0,9% 1228
Compatível
injetável Minocycline hydrochloride 50 mg/ml
injetável Potassium chloride 40 mEq/l
Ringer lactato 1228
Compatível
injetável Minocycline hydrochloride 0.2 mg/ml
injetável Teniposide 0.1 mg/ml
Glucose 5% 905
Instabilidade imediata da emulsão Incompatível
injetável Minocycline hydrochloride 0.2 mg/ml
Nutrição parenteral (com lípidos) 1415
Precipitação imediata Incompatível
injetável Minocycline hydrochloride 0.2 mg/ml
injetável Propofol 10 mg/ml
nenhum 300
Compatível
injetável Minocycline hydrochloride 0.2 mg/ml
injetável Remifentanil hydrochloride 25 & 250 µg/ml
cloreto de sódio 0,9% 59
Compatível
injetável Minocycline hydrochloride 0,1 mg/ml
injetável Rifampicin 0,1 mg/ml
cloreto de sódio 0,9% 263
Compatível
injetável Minocycline hydrochloride 0.2 mg/ml
injetável Sargramostim 10 µg/ml
cloreto de sódio 0,9% 335
Compatível
injetável Minocycline hydrochloride 0,4 mg/ml
injetável Sulbactam/durlobactam 15/15 mg/ml
cloreto de sódio 0,9% 4801
Mudança de cor após 1 hora Incompatível
injetável Minocycline hydrochloride 0.2 mg/ml
injetável Thiotepa 1 mg/ml
Glucose 5% 249
Compatível
injetável Minocycline hydrochloride
Ringer lactato 5058
Compatível
injetável Minocycline hydrochloride
Glucose 5% 5058
Compatível
injetável Minocycline hydrochloride
cloreto de sódio 0,9% 5058
Compatível
injetável Minocycline hydrochloride 0.2 mg/ml
injetável Vinorelbine tartrate 1 mg/ml
cloreto de sódio 0,9% 84
Mudança de cor Incompatível
injetável Minocycline hydrochloride 0.2 mg/ml
Nutrição parenterica (mistura binária) 301

  Mentions Légales