Last update :
27/04/2026
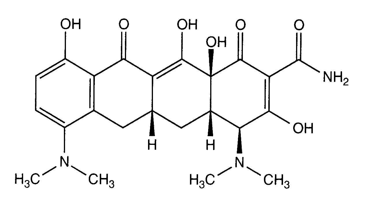
Antibiotic   Minocycline hydrochloride  
injection
Oral solution
Stability in solutions Stability of mixtures Factors which affect stability Compatibility Route of administration References pdf
   Chemical structure  

Tradename   Tradename     

Trade names are indicative and excipients composition can be different depending on the country and manufacturers

Minocin United States of America
Compatibility   injection   Compatibility : Minocycline hydrochloride              
This screen indicates the compatibilities or incompatibilities with, in this case, the type of incompatibility (precipitation, color change, modification of an emulsion, etc.). The compatibilities shown here are mostly physical only, with the chemical stability of each molecule rarely being assessed. The evaluation of these mixtures was studied to consider the possibility of Y-site administration to the patient. These data cannot be used for making mixtures in advance in bags or syringes. This type of information is available in the screen "Stability in mixture ».
Compound Solvent References
Color change after 4 hours Incompatible
injection Minocycline hydrochloride 0.2 mg/ml
injection Allopurinol sodium 3 mg/ml
Sodium chloride 0,9% 307
Immediate precipitation Incompatible
injection Minocycline hydrochloride
injection Calcium chloride
5058
Immediate precipitation Incompatible
injection Minocycline hydrochloride
injection Calcium glucoheptonate
5058
Unspecified incompatibility Incompatible
injection Minocycline hydrochloride
injection Calcium gluconate
3644
Immediate precipitation Incompatible
injection Minocycline hydrochloride
injection Calcium gluconate
5058
Compatible
injection Minocycline hydrochloride 0.2 mg/ml
injection Cisatracurium besylate 0.1 >> 5 mg/ml
Glucose 5% 299
Compatible
injection Minocycline hydrochloride 0.2 mg/ml
injection Docetaxel 0.9 mg/ml
Glucose 5% 1754
Unspecified incompatibility Incompatible
injection Minocycline hydrochloride
injection Erythromycin lactobionate
3674
Compatible
injection Minocycline hydrochloride 0.2 mg/ml
injection Etoposide phosphate 5 mg/ml
Glucose 5% 1410
Compatible
injection Minocycline hydrochloride 0.2 mg/ml
injection Filgrastim 30 µg/ml
Glucose 5% 244
Immediate precipitation Incompatible
injection Minocycline hydrochloride 1 mg/ml
Parenteral nutrition (with lipids) 4440
Color change Incompatible
injection Minocycline hydrochloride 0.2 mg/ml
injection Amifostine 10 mg/ml
Glucose 5% 3
Compatible
injection Minocycline hydrochloride 0.2 mg/ml
injection Aztreonam 40 mg/ml
Glucose 5% 99
Compatible
injection Minocycline hydrochloride 0.2 mg/ml
injection Fludarabine phosphate 1 mg/ml
Glucose 5% 492
Immediate precipitation Incompatible
injection Minocycline hydrochloride
injection Folinate calcium
5058
Compatible
injection Minocycline hydrochloride 0.2 mg/ml
injection Gemcitabine hydrochloride 10 mg/ml
Sodium chloride 0,9% 1423
Compatible
injection Minocycline hydrochloride 0.2 mg/ml
injection Granisetron hydrochloride 0.05 mg/ml
Glucose 5% 182
Compatible
injection Minocycline hydrochloride 0.2 mg/ml
injection Heparin sodium 1 UI/ml
Ringer’s lactate solution 1228
Compatible
injection Minocycline hydrochloride 0.2 mg/ml
injection Heparin sodium 1 UI/ml
Sodium chloride 0,9% 1228
Compatible
injection Minocycline hydrochloride 0.2 mg/ml
injection Heparin sodium 1 UI/ml
Glucose 5% 1228
Compatible
injection Minocycline hydrochloride 50 mg/ml
injection Hydrocortisone sodium succinate 1 mg/ml
Glucose 5% 1228
Compatible
injection Minocycline hydrochloride 50 mg/ml
injection Hydrocortisone sodium succinate 1 mg/ml
Ringer’s lactate solution 1228
Compatible
injection Minocycline hydrochloride 50 mg/ml
injection Hydrocortisone sodium succinate 1 mg/ml
Sodium chloride 0,9% 1228
Color change after 1 hour Incompatible
injection Minocycline hydrochloride 0.2 mg/ml
injection Hydromorphone hydrochloride 0.2 mg/ml
Glucose 5% 405
Immediate precipitation Incompatible
injection Minocycline hydrochloride
injection Levofolinate calcium
5058
Compatible
injection Minocycline hydrochloride 0.2 mg/ml
injection Linezolid 2 mg/ml
None 1925
Compatible
injection Minocycline hydrochloride 0.2 mg/ml
injection Magnesium sulfate 16.67 >> 100 mg/ml
Glucose 5% 1047
Compatible
injection Minocycline hydrochloride 0.2 mg/ml
injection Melphalan 0.1 mg/ml
Sodium chloride 0,9% 169
Unspecified incompatibility Incompatible
injection Minocycline hydrochloride
injection Mitomycin
4471
Chemical instability Incompatible
injection Minocycline hydrochloride
injection Mitomycin
3128
Color change after 1 hour Incompatible
injection Minocycline hydrochloride 0.2 mg/ml
injection Morphine sulfate 1 mg/ml
Glucose 5% 405
Unspecified incompatibility Incompatible
injection Minocycline hydrochloride
injection Morphine sulfate
3531
Color change after 4 hours Incompatible
injection Minocycline hydrochloride 0.2 mg/ml
injection Pemetrexed disodium 20 mg/ml
Sodium chloride 0,9% 1953
Color change after 1 hour Incompatible
injection Minocycline hydrochloride 0.2 mg/ml
injection Pethidine hydrochloride 10 mg/ml
Glucose 5% 405
Immediate precipitation Incompatible
injection Minocycline hydrochloride 1 mg/ml
injection Piperacillin sodium / tazobactam 40/5 mg/ml
Glucose 5% 81
Compatible
injection Minocycline hydrochloride 50 mg/ml
injection Potassium chloride 40 mEq/l
Glucose 5% 1228
Compatible
injection Minocycline hydrochloride 50 mg/ml
injection Potassium chloride 40 mEq/l
Sodium chloride 0,9% 1228
Compatible
injection Minocycline hydrochloride 50 mg/ml
injection Potassium chloride 40 mEq/l
Ringer’s lactate solution 1228
Compatible
injection Minocycline hydrochloride 0.2 mg/ml
injection Teniposide 0.1 mg/ml
Glucose 5% 905
Immediate instability of the emulsion Incompatible
injection Minocycline hydrochloride 0.2 mg/ml
Parenteral nutrition (with lipids) 1415
Immediate precipitation Incompatible
injection Minocycline hydrochloride 0.2 mg/ml
injection Propofol 10 mg/ml
None 300
Compatible
injection Minocycline hydrochloride 0.2 mg/ml
injection Remifentanil hydrochloride 25 & 250 µg/ml
Sodium chloride 0,9% 59
Compatible
injection Minocycline hydrochloride 0,1 mg/ml
injection Rifampicin 0,1 mg/ml
Sodium chloride 0,9% 263
Compatible
injection Minocycline hydrochloride 0.2 mg/ml
injection Sargramostim 10 µg/ml
Sodium chloride 0,9% 335
Compatible
injection Minocycline hydrochloride 0,4 mg/ml
injection Sulbactam/durlobactam 15/15 mg/ml
Sodium chloride 0,9% 4801
Color change after 1 hour Incompatible
injection Minocycline hydrochloride 0.2 mg/ml
injection Thiotepa 1 mg/ml
Glucose 5% 249
Compatible
injection Minocycline hydrochloride
Ringer’s lactate solution 5058
Compatible
injection Minocycline hydrochloride
Glucose 5% 5058
Compatible
injection Minocycline hydrochloride
Sodium chloride 0,9% 5058
Compatible
injection Minocycline hydrochloride 0.2 mg/ml
injection Vinorelbine tartrate 1 mg/ml
Sodium chloride 0,9% 84
Color change Incompatible
injection Minocycline hydrochloride 0.2 mg/ml
Parenteral nutrition (binary mixture) 301

  Mentions Légales