Последнее обновление :
27/04/2026
Антибиотик   Minocycline hydrochloride  
Инъекция
Раствор для перорального приёма
Стабильность растворов Стабильность смесей Факторы, которые влияют на стабильность Совместимость Способы введения Библиография pdf
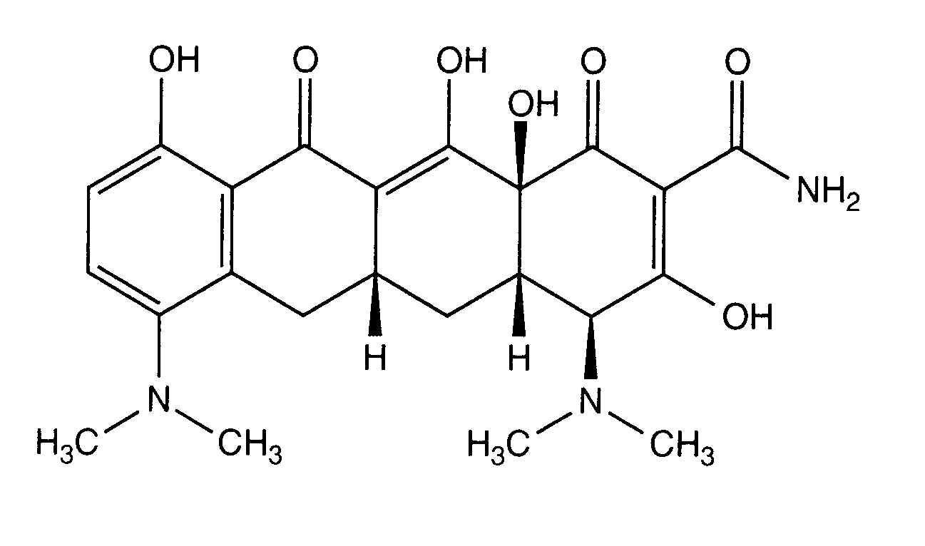
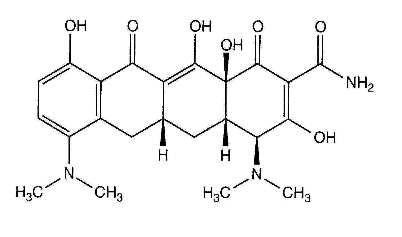
   Химическая структура  

Товарное название   Товарное название     

Trade names are indicative and excipients composition can be different depending on the country and manufacturers

Minocin Соединённые Штаты Америки
Совместимость   Инъекция   Совместимость : Minocycline hydrochloride              
Эта таблица показывает совместимость или несовместимость препаратов, по возможности тип несовместимости (преципитат, смена цвета, разложение эмульсии и др.). Показанные здесь совместимости в основном физические, по возможности указана и химическая стабильность каждой молекулы. Анализ этих смесей произведён для исследования возможности ввести препараты пациенту в Y-соединении систем. Эти данные нельзя использовать, чтобы приготовить лекарства на будущее в мешках или шприцах. Эта информация доступна в разделе "Стабильность смесей".
Молекула Растворитель Ссылки
Смена цвета через 4 часа несовместимый
Инъекция Minocycline hydrochloride 0.2 mg/ml
Инъекция Allopurinol sodium 3 mg/ml
Натрия хлорид 0,9% 307
Немедленные осадки несовместимый
Инъекция Minocycline hydrochloride
Инъекция Calcium chloride
5058
Немедленные осадки несовместимый
Инъекция Minocycline hydrochloride
Инъекция Calcium glucoheptonate
5058
Неопределенная несовместимость несовместимый
Инъекция Minocycline hydrochloride
Инъекция Calcium gluconate
3644
Немедленные осадки несовместимый
Инъекция Minocycline hydrochloride
Инъекция Calcium gluconate
5058
совместимый
Инъекция Minocycline hydrochloride 0.2 mg/ml
Инъекция Cisatracurium besylate 0.1 >> 5 mg/ml
Глюкоза 5% 299
совместимый
Инъекция Minocycline hydrochloride 0.2 mg/ml
Инъекция Docetaxel 0.9 mg/ml
Глюкоза 5% 1754
Неопределенная несовместимость несовместимый
Инъекция Minocycline hydrochloride
Инъекция Erythromycin lactobionate
3674
совместимый
Инъекция Minocycline hydrochloride 0.2 mg/ml
Инъекция Etoposide phosphate 5 mg/ml
Глюкоза 5% 1410
совместимый
Инъекция Minocycline hydrochloride 0.2 mg/ml
Инъекция Filgrastim 30 µg/ml
Глюкоза 5% 244
Немедленные осадки несовместимый
Инъекция Minocycline hydrochloride 1 mg/ml
Парентеральное питание (с липидами) 4440
Изменение цвета несовместимый
Инъекция Minocycline hydrochloride 0.2 mg/ml
Инъекция Amifostine 10 mg/ml
Глюкоза 5% 3
совместимый
Инъекция Minocycline hydrochloride 0.2 mg/ml
Инъекция Aztreonam 40 mg/ml
Глюкоза 5% 99
совместимый
Инъекция Minocycline hydrochloride 0.2 mg/ml
Инъекция Fludarabine phosphate 1 mg/ml
Глюкоза 5% 492
Немедленные осадки несовместимый
Инъекция Minocycline hydrochloride
Инъекция Folinate calcium
5058
совместимый
Инъекция Minocycline hydrochloride 0.2 mg/ml
Инъекция Gemcitabine hydrochloride 10 mg/ml
Натрия хлорид 0,9% 1423
совместимый
Инъекция Minocycline hydrochloride 0.2 mg/ml
Инъекция Granisetron hydrochloride 0.05 mg/ml
Глюкоза 5% 182
совместимый
Инъекция Minocycline hydrochloride 0.2 mg/ml
Инъекция Heparin sodium 1 UI/ml
Раствор Рингера лактата 1228
совместимый
Инъекция Minocycline hydrochloride 0.2 mg/ml
Инъекция Heparin sodium 1 UI/ml
Натрия хлорид 0,9% 1228
совместимый
Инъекция Minocycline hydrochloride 0.2 mg/ml
Инъекция Heparin sodium 1 UI/ml
Глюкоза 5% 1228
совместимый
Инъекция Minocycline hydrochloride 50 mg/ml
Инъекция Hydrocortisone sodium succinate 1 mg/ml
Глюкоза 5% 1228
совместимый
Инъекция Minocycline hydrochloride 50 mg/ml
Инъекция Hydrocortisone sodium succinate 1 mg/ml
Раствор Рингера лактата 1228
совместимый
Инъекция Minocycline hydrochloride 50 mg/ml
Инъекция Hydrocortisone sodium succinate 1 mg/ml
Натрия хлорид 0,9% 1228
 35/5000 Изменение цвета через 1 час несовместимый
Инъекция Minocycline hydrochloride 0.2 mg/ml
Инъекция Hydromorphone hydrochloride 0.2 mg/ml
Глюкоза 5% 405
Немедленные осадки несовместимый
Инъекция Minocycline hydrochloride
Инъекция Levofolinate calcium
5058
совместимый
Инъекция Minocycline hydrochloride 0.2 mg/ml
Инъекция Linezolid 2 mg/ml
Нет 1925
совместимый
Инъекция Minocycline hydrochloride 0.2 mg/ml
Инъекция Magnesium sulfate 16.67 >> 100 mg/ml
Глюкоза 5% 1047
совместимый
Инъекция Minocycline hydrochloride 0.2 mg/ml
Инъекция Melphalan 0.1 mg/ml
Натрия хлорид 0,9% 169
Неопределенная несовместимость несовместимый
Инъекция Minocycline hydrochloride
Инъекция Mitomycin
4471
Химическая нестабильность несовместимый
Инъекция Minocycline hydrochloride
Инъекция Mitomycin
3128
 35/5000 Изменение цвета через 1 час несовместимый
Инъекция Minocycline hydrochloride 0.2 mg/ml
Инъекция Morphine sulfate 1 mg/ml
Глюкоза 5% 405
Неопределенная несовместимость несовместимый
Инъекция Minocycline hydrochloride
Инъекция Morphine sulfate
3531
Смена цвета через 4 часа несовместимый
Инъекция Minocycline hydrochloride 0.2 mg/ml
Инъекция Pemetrexed disodium 20 mg/ml
Натрия хлорид 0,9% 1953
 35/5000 Изменение цвета через 1 час несовместимый
Инъекция Minocycline hydrochloride 0.2 mg/ml
Инъекция Pethidine hydrochloride 10 mg/ml
Глюкоза 5% 405
Немедленные осадки несовместимый
Инъекция Minocycline hydrochloride 1 mg/ml
Инъекция Piperacillin sodium / tazobactam 40/5 mg/ml
Глюкоза 5% 81
совместимый
Инъекция Minocycline hydrochloride 50 mg/ml
Инъекция Potassium chloride 40 mEq/l
Глюкоза 5% 1228
совместимый
Инъекция Minocycline hydrochloride 50 mg/ml
Инъекция Potassium chloride 40 mEq/l
Натрия хлорид 0,9% 1228
совместимый
Инъекция Minocycline hydrochloride 50 mg/ml
Инъекция Potassium chloride 40 mEq/l
Раствор Рингера лактата 1228
совместимый
Инъекция Minocycline hydrochloride 0.2 mg/ml
Инъекция Teniposide 0.1 mg/ml
Глюкоза 5% 905
Немедленная нестабильность эмульсии несовместимый
Инъекция Minocycline hydrochloride 0.2 mg/ml
Парентеральное питание (с липидами) 1415
Немедленные осадки несовместимый
Инъекция Minocycline hydrochloride 0.2 mg/ml
Инъекция Propofol 10 mg/ml
Нет 300
совместимый
Инъекция Minocycline hydrochloride 0.2 mg/ml
Инъекция Remifentanil hydrochloride 25 & 250 µg/ml
Натрия хлорид 0,9% 59
совместимый
Инъекция Minocycline hydrochloride 0,1 mg/ml
Инъекция Rifampicin 0,1 mg/ml
Натрия хлорид 0,9% 263
совместимый
Инъекция Minocycline hydrochloride 0.2 mg/ml
Инъекция Sargramostim 10 µg/ml
Натрия хлорид 0,9% 335
совместимый
Инъекция Minocycline hydrochloride 0,4 mg/ml
Инъекция Sulbactam/durlobactam 15/15 mg/ml
Натрия хлорид 0,9% 4801
 35/5000 Изменение цвета через 1 час несовместимый
Инъекция Minocycline hydrochloride 0.2 mg/ml
Инъекция Thiotepa 1 mg/ml
Глюкоза 5% 249
совместимый
Инъекция Minocycline hydrochloride
Раствор Рингера лактата 5058
совместимый
Инъекция Minocycline hydrochloride
Глюкоза 5% 5058
совместимый
Инъекция Minocycline hydrochloride
Натрия хлорид 0,9% 5058
совместимый
Инъекция Minocycline hydrochloride 0.2 mg/ml
Инъекция Vinorelbine tartrate 1 mg/ml
Натрия хлорид 0,9% 84
Изменение цвета несовместимый
Инъекция Minocycline hydrochloride 0.2 mg/ml
Парентеральное питание (бинарная смесь) 301

  Mentions Légales