Dernière mise à jour :
18/03/2026
Antibiotique   Minocycline hydrochloride  
injectable
Solution buvable
Stabilité des solutions Stabilité en mélange Facteur influençant la stabilité Compatibilités Voie d’administration Bibliographie pdf
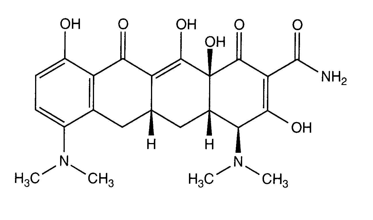
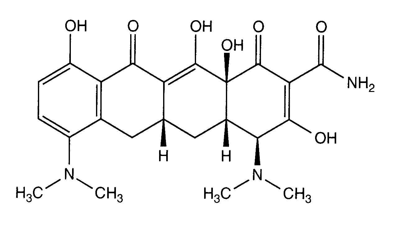
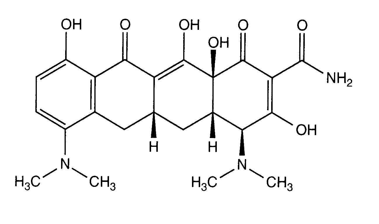
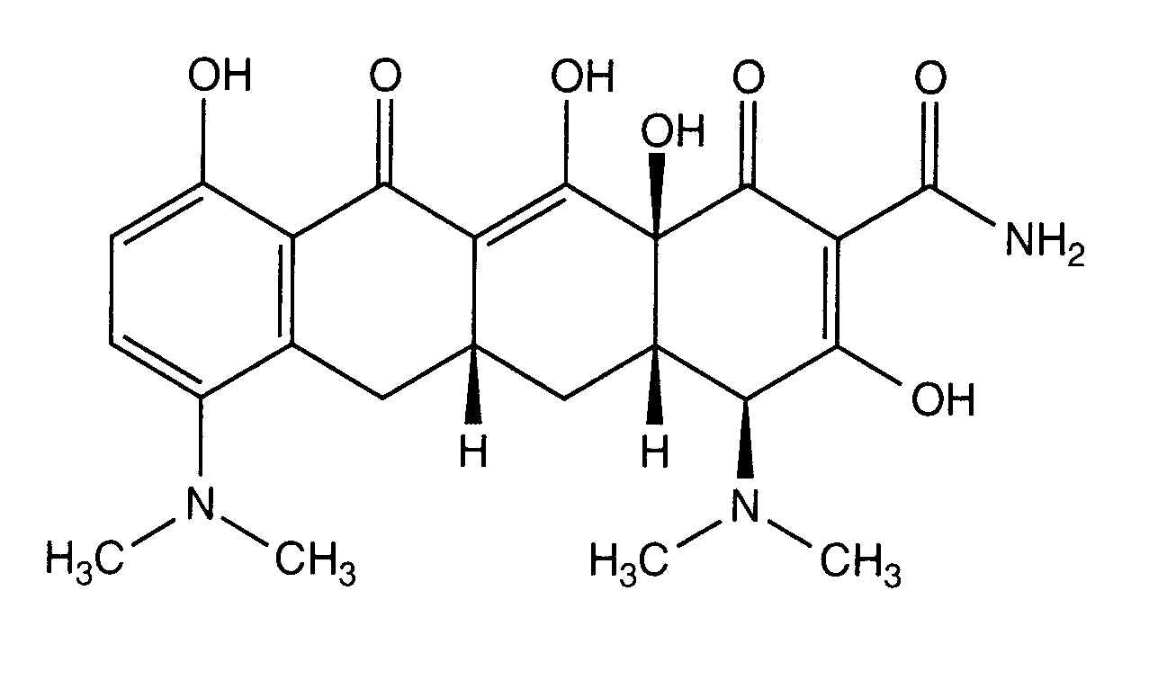
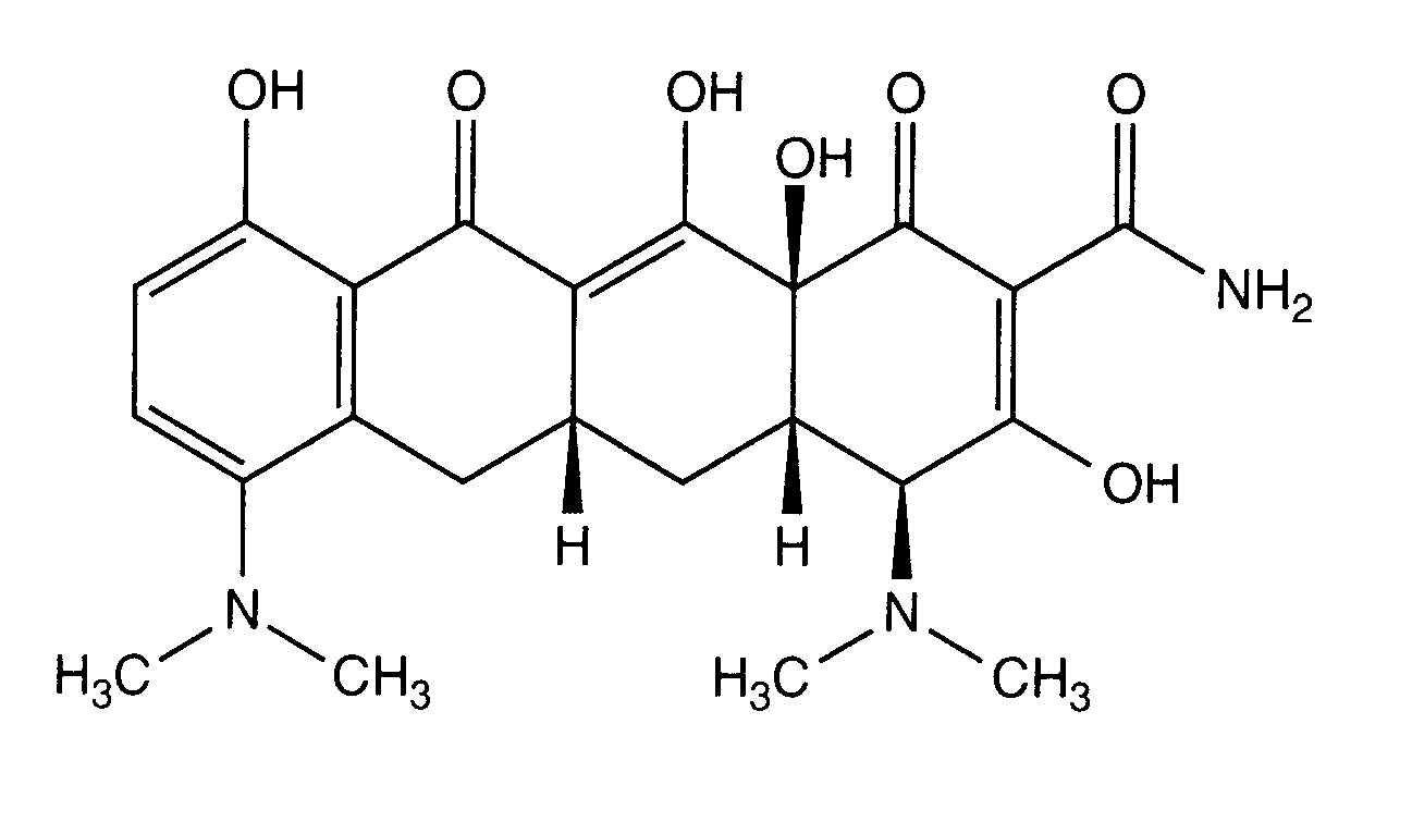
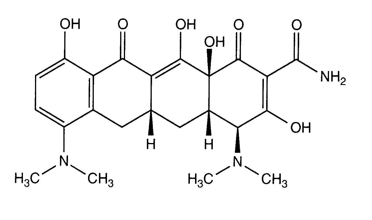
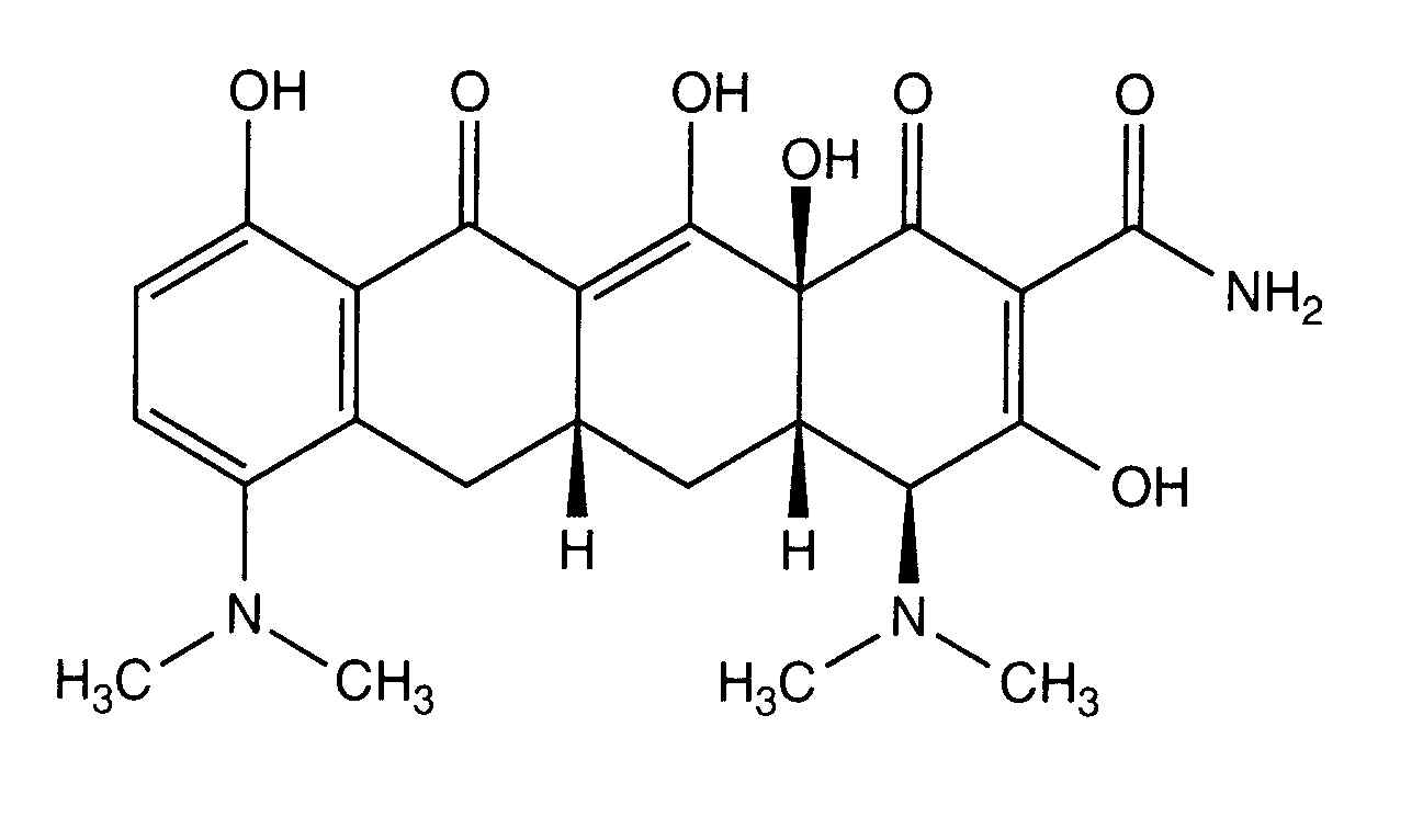
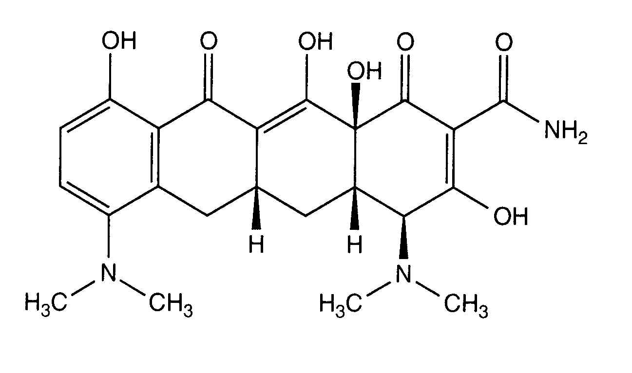
   Structure chimique  

Noms commerciaux   Noms commerciaux     

Les noms commerciaux sont donnés à titre indicatif et la composition en excipients peut être différente selon les pays et selon les laboratoires

Minocin Etats Unis d’Amérique

Facteur influençant la stabilité   injectable   Facteur influençant la stabilité : Minocycline hydrochloride        

  Mentions Légales