آخر تحديث :
27/04/2026
مضاد حيوي   Minocycline hydrochloride  
حقن
عن طريق الفم
الاستقرار في حلول استقرار مخاليط العوامل التي تؤثر على الاستقرار التوافق طريقة التعاطي مراجع pdf
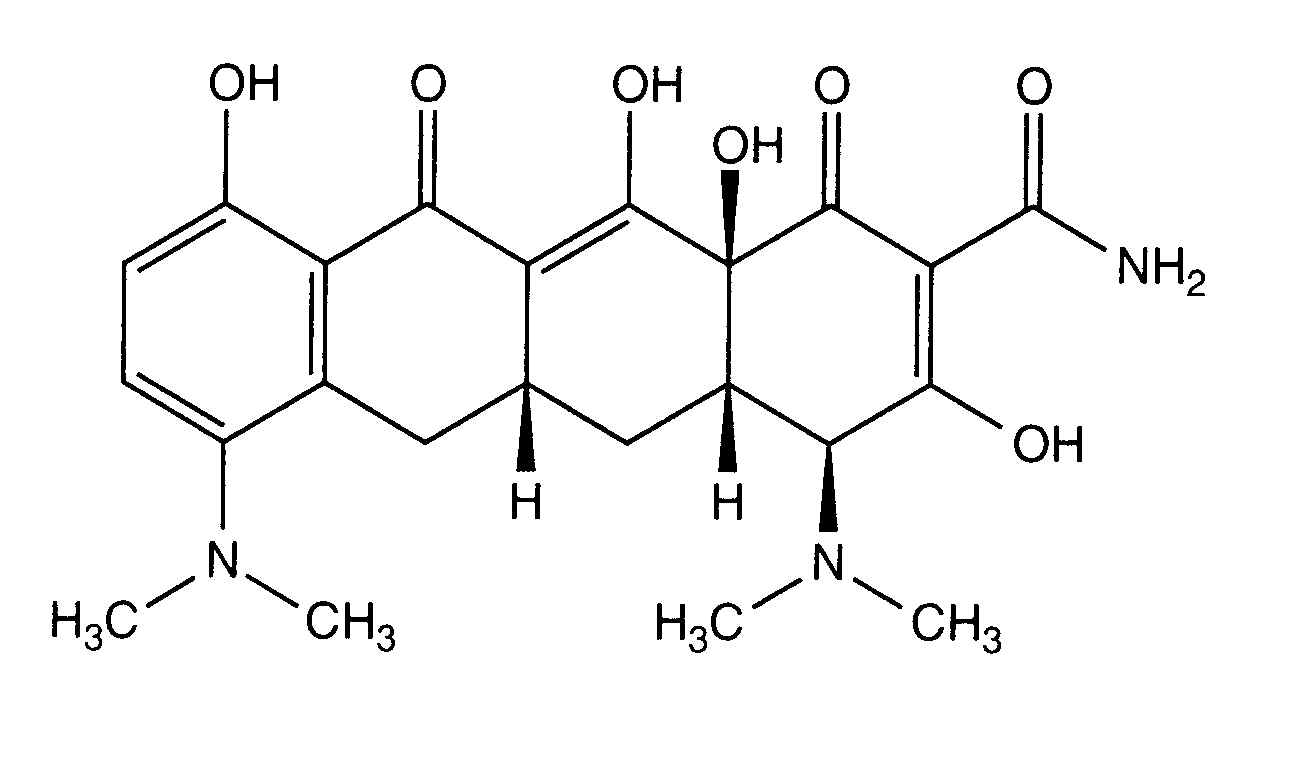
   التركيب الكيميائي  

حجز الاسم التجاري   حجز الاسم التجاري     

تحذير الأسماء التجاريه المختلفه قد تحتوي علي محتوي إضافات مختلفة حسب الدوله و المعمل

Minocin الولايات المتحدة
التوافق   حقن   التوافق : Minocycline hydrochloride              
This screen indicates the compatibilities or incompatibilities with, in this case, the type of incompatibility (precipitation, color change, modification of an emulsion, etc.). The compatibilities shown here are mostly physical only, with the chemical stability of each molecule rarely being assessed. The evaluation of these mixtures was studied to consider the possibility of Y-site administration to the patient. These data cannot be used for making mixtures in advance in bags or syringes. This type of information is available in the screen "Stability in mixture ».
مركب مذيب مراجع
تغير اللون بعد 4 ساعات غير متوافق
حقن Minocycline hydrochloride 0.2 mg/ml
حقن Allopurinol sodium 3 mg/ml
كلوريد الصوديوم 0.9% 307
هطول فوري غير متوافق
حقن Minocycline hydrochloride
حقن Calcium chloride
5058
هطول فوري غير متوافق
حقن Minocycline hydrochloride
حقن Calcium glucoheptonate
5058
عدم توافق غير محدد غير متوافق
حقن Minocycline hydrochloride
حقن Calcium gluconate
3644
هطول فوري غير متوافق
حقن Minocycline hydrochloride
حقن Calcium gluconate
5058
kompatibel
حقن Minocycline hydrochloride 0.2 mg/ml
حقن Cisatracurium besylate 0.1 >> 5 mg/ml
الجلوكوز %5 299
kompatibel
حقن Minocycline hydrochloride 0.2 mg/ml
حقن Docetaxel 0.9 mg/ml
الجلوكوز %5 1754
عدم توافق غير محدد غير متوافق
حقن Minocycline hydrochloride
حقن Erythromycin lactobionate
3674
kompatibel
حقن Minocycline hydrochloride 0.2 mg/ml
حقن Etoposide phosphate 5 mg/ml
الجلوكوز %5 1410
kompatibel
حقن Minocycline hydrochloride 0.2 mg/ml
حقن Filgrastim 30 µg/ml
الجلوكوز %5 244
هطول فوري غير متوافق
حقن Minocycline hydrochloride 1 mg/ml
التغذية الوريدية (مع الدهون) 4440
تغير اللون غير متوافق
حقن Minocycline hydrochloride 0.2 mg/ml
حقن Amifostine 10 mg/ml
الجلوكوز %5 3
kompatibel
حقن Minocycline hydrochloride 0.2 mg/ml
حقن Aztreonam 40 mg/ml
الجلوكوز %5 99
kompatibel
حقن Minocycline hydrochloride 0.2 mg/ml
حقن Fludarabine phosphate 1 mg/ml
الجلوكوز %5 492
هطول فوري غير متوافق
حقن Minocycline hydrochloride
حقن Folinate calcium
5058
kompatibel
حقن Minocycline hydrochloride 0.2 mg/ml
حقن Gemcitabine hydrochloride 10 mg/ml
كلوريد الصوديوم 0.9% 1423
kompatibel
حقن Minocycline hydrochloride 0.2 mg/ml
حقن Granisetron hydrochloride 0.05 mg/ml
الجلوكوز %5 182
kompatibel
حقن Minocycline hydrochloride 0.2 mg/ml
حقن Heparin sodium 1 UI/ml
محلول رينجر  اللاكتات 1228
kompatibel
حقن Minocycline hydrochloride 0.2 mg/ml
حقن Heparin sodium 1 UI/ml
كلوريد الصوديوم 0.9% 1228
kompatibel
حقن Minocycline hydrochloride 0.2 mg/ml
حقن Heparin sodium 1 UI/ml
الجلوكوز %5 1228
kompatibel
حقن Minocycline hydrochloride 50 mg/ml
حقن Hydrocortisone sodium succinate 1 mg/ml
الجلوكوز %5 1228
kompatibel
حقن Minocycline hydrochloride 50 mg/ml
حقن Hydrocortisone sodium succinate 1 mg/ml
محلول رينجر  اللاكتات 1228
kompatibel
حقن Minocycline hydrochloride 50 mg/ml
حقن Hydrocortisone sodium succinate 1 mg/ml
كلوريد الصوديوم 0.9% 1228
تغير اللون بعد ساعة واحدة غير متوافق
حقن Minocycline hydrochloride 0.2 mg/ml
حقن Hydromorphone hydrochloride 0.2 mg/ml
الجلوكوز %5 405
هطول فوري غير متوافق
حقن Minocycline hydrochloride
حقن Levofolinate calcium
5058
kompatibel
حقن Minocycline hydrochloride 0.2 mg/ml
حقن Linezolid 2 mg/ml
لا شيء 1925
kompatibel
حقن Minocycline hydrochloride 0.2 mg/ml
حقن Magnesium sulfate 16.67 >> 100 mg/ml
الجلوكوز %5 1047
kompatibel
حقن Minocycline hydrochloride 0.2 mg/ml
حقن Melphalan 0.1 mg/ml
كلوريد الصوديوم 0.9% 169
عدم توافق غير محدد غير متوافق
حقن Minocycline hydrochloride
حقن Mitomycin
4471
عدم الاستقرار الكيميائي غير متوافق
حقن Minocycline hydrochloride
حقن Mitomycin
3128
تغير اللون بعد ساعة واحدة غير متوافق
حقن Minocycline hydrochloride 0.2 mg/ml
حقن Morphine sulfate 1 mg/ml
الجلوكوز %5 405
عدم توافق غير محدد غير متوافق
حقن Minocycline hydrochloride
حقن Morphine sulfate
3531
تغير اللون بعد 4 ساعات غير متوافق
حقن Minocycline hydrochloride 0.2 mg/ml
حقن Pemetrexed disodium 20 mg/ml
كلوريد الصوديوم 0.9% 1953
تغير اللون بعد ساعة واحدة غير متوافق
حقن Minocycline hydrochloride 0.2 mg/ml
حقن Pethidine hydrochloride 10 mg/ml
الجلوكوز %5 405
هطول فوري غير متوافق
حقن Minocycline hydrochloride 1 mg/ml
حقن Piperacillin sodium / tazobactam 40/5 mg/ml
الجلوكوز %5 81
kompatibel
حقن Minocycline hydrochloride 50 mg/ml
حقن Potassium chloride 40 mEq/l
الجلوكوز %5 1228
kompatibel
حقن Minocycline hydrochloride 50 mg/ml
حقن Potassium chloride 40 mEq/l
كلوريد الصوديوم 0.9% 1228
kompatibel
حقن Minocycline hydrochloride 50 mg/ml
حقن Potassium chloride 40 mEq/l
محلول رينجر  اللاكتات 1228
kompatibel
حقن Minocycline hydrochloride 0.2 mg/ml
حقن Teniposide 0.1 mg/ml
الجلوكوز %5 905
عدم استقرار فوري للمستحلب غير متوافق
حقن Minocycline hydrochloride 0.2 mg/ml
التغذية الوريدية (مع الدهون) 1415
هطول فوري غير متوافق
حقن Minocycline hydrochloride 0.2 mg/ml
حقن Propofol 10 mg/ml
لا شيء 300
kompatibel
حقن Minocycline hydrochloride 0.2 mg/ml
حقن Remifentanil hydrochloride 25 & 250 µg/ml
كلوريد الصوديوم 0.9% 59
kompatibel
حقن Minocycline hydrochloride 0,1 mg/ml
حقن Rifampicin 0,1 mg/ml
كلوريد الصوديوم 0.9% 263
kompatibel
حقن Minocycline hydrochloride 0.2 mg/ml
حقن Sargramostim 10 µg/ml
كلوريد الصوديوم 0.9% 335
kompatibel
حقن Minocycline hydrochloride 0,4 mg/ml
حقن Sulbactam/durlobactam 15/15 mg/ml
كلوريد الصوديوم 0.9% 4801
تغير اللون بعد ساعة واحدة غير متوافق
حقن Minocycline hydrochloride 0.2 mg/ml
حقن Thiotepa 1 mg/ml
الجلوكوز %5 249
kompatibel
حقن Minocycline hydrochloride
محلول رينجر  اللاكتات 5058
kompatibel
حقن Minocycline hydrochloride
الجلوكوز %5 5058
kompatibel
حقن Minocycline hydrochloride
كلوريد الصوديوم 0.9% 5058
kompatibel
حقن Minocycline hydrochloride 0.2 mg/ml
حقن Vinorelbine tartrate 1 mg/ml
كلوريد الصوديوم 0.9% 84
تغير اللون غير متوافق
حقن Minocycline hydrochloride 0.2 mg/ml
 التغذية الوريدية (خالية من الدهن) 301

  Mentions Légales