Cập nhật lần cuối :
27/04/2026
Kháng sinh   Gentamicin sulfate  
Dạng tiêm
Thuốc nhỏ mắt
Tính ổn định của các dung dịch Độ ổn định khi trộn lẫn Những yếu tố ảnh hưởng đến độ ổn định Khả năng tương thích Đường dùng Tài liệu tham khảo Pdf
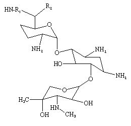
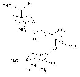
   Cấu trúc hóa học  

Tên thương mại   Tên thương mại     

Các tên thương mại được cung cấp và thành phần tá dược có thể khác nhau giữa các quốc gia và các hãng dược

Azupel Peru
Cidomycin Ả Rập, Anh, Tunisia
Dabroson Hy Lạp
Epigent Ả Rập
Garalone Bồ Đào Nha
Garamicina Brazil, Colombia, Ecuador, Mexico
Garamycin Ả Rập, Ấn Độ, Ba Lan, Croatia, Hà Lan, Hy Lạp, Na Uy, Thụy Sỹ, United Arab Emirates, Đan Mạch
Genmisin Thổ Nhĩ Kỳ
Gensif Thổ Nhĩ Kỳ
Gensumycin Na Uy, Phần Lan, Thụy Điển
Genta-Gobens Tây Ban Nha
Gentalline Morocco
Gentamen Morocco
Genticin Anh, Ireland, United Arab Emirates
Gentreks Thổ Nhĩ Kỳ
Hexamycin Đan Mạch
Plurisemina Argentina
Refobacin Ả Rập, Áo, Colombia, Đức
Rupegen Argentina
Độ ổn định khi trộn lẫn   Dạng tiêm   Độ ổn định khi trộn lẫn : Gentamicin sulfate     
Bao bì Dung môi Nồng độ Phân tử Nhiệt độ Bảo quản Thời gian ổn định Mục lục
Thủy tinh NaCl 0,9% 0,75 mg/ml
Dạng tiêm   Gentamicin sulfate   
Dạng tiêm   Granisetron hydrochloride 0,5 mg/ml
20°C-23°C
4 Giờ
Ánh sáng 57
Cấp độ bằng chứng A+
Thủy tinh NaCl 0,9% 1 mg/ml
Dạng tiêm   Gentamicin sulfate   
Dạng tiêm   Cefpirome sulfate 50 mg/ml
23°C
8 Giờ
Ánh sáng 280
Cấp độ bằng chứng B+
Thủy tinh NaCl 0,9% 0,8 mg/ml
Dạng tiêm   Gentamicin sulfate   
Dạng tiêm   Cefazolin sodium 10 mg/ml
Dạng tiêm   Clindamycin phosphate 9 mg/ml
25°C
12 Giờ
Ánh sáng 695
JOKER
Thủy tinh Glucose 5% 1 mg/ml
Dạng tiêm   Gentamicin sulfate   
Dạng tiêm   Cefpirome sulfate 50 mg/ml
23°C
8 Giờ
Ánh sáng 280
Cấp độ bằng chứng B+
Thủy tinh Glucose 5% 0,32 mg/ml
Dạng tiêm   Gentamicin sulfate   
Dạng tiêm   Dopamine hydrochloride 0,8 mg/ml
23°C-25°C
24 Giờ
Ánh sáng 738
JOKER
Thủy tinh Glucose 5% 0,8 mg/ml
Dạng tiêm   Gentamicin sulfate   
Dạng tiêm   Cefazolin sodium 10 mg/ml
Dạng tiêm   Clindamycin phosphate 9 mg/ml
25°C
1 Giờ
Ánh sáng 695
JOKER
Thủy tinh Glucose 5% 3,2 mg/ml
Dạng tiêm   Gentamicin sulfate   
Dạng tiêm   Filgrastim 40 µg/ml
25°C
4 Giờ
Không rõ 104
Cấp độ bằng chứng B
Thủy tinh Glucose 5% 5.26 mg/ml
Dạng tiêm   Gentamicin sulfate   
Dạng tiêm   Palonosetron hydrochloride 26.7 µg/ml
25°C
4 Giờ
Không rõ 2228
Cấp độ bằng chứng A+
Thủy tinh Dung dịch Ringer’s lactate 1 mg/ml
Dạng tiêm   Gentamicin sulfate   
Dạng tiêm   Cefpirome sulfate 50 mg/ml
23°C
8 Giờ
Ánh sáng 280
Cấp độ bằng chứng B+
Thủy tinh NaCl 0,45% 1 mg/ml
Dạng tiêm   Gentamicin sulfate   
Dạng tiêm   Cefpirome sulfate 50 mg/ml
23°C
8 Giờ
Ánh sáng 280
Cấp độ bằng chứng B+
Thủy tinh Không 0,8 mg/ml
Dạng tiêm   Gentamicin sulfate   
Dạng tiêm   Ofloxacin 2 mg/ml
25°C
48 Giờ
Không rõ 889
Cấp độ bằng chứng D
Nhựa polyvinyl chloride NaCl 0,9% 1,2 mg/ml
Dạng tiêm   Gentamicin sulfate   
Dạng tiêm   Clindamycin phosphate 9 mg/ml
-20°C
28 Ngày
Tránh ánh sáng 565
Cấp độ bằng chứng D
Nhựa polyvinyl chloride NaCl 0,9% 1 mg/ml
Dạng tiêm   Gentamicin sulfate   
Dạng tiêm   Ciprofloxacin lactate 1,5 mg/ml
25°C
48 Giờ
Ánh sáng 434
Nhựa polyvinyl chloride NaCl 0,9% 0,2 & 0,8 mg/ml
Dạng tiêm   Gentamicin sulfate   
Dạng tiêm   Aztreonam 10 & 20 mg/ml
25°C
8 Giờ
Không rõ 19
Cấp độ bằng chứng D
Nhựa polyvinyl chloride NaCl 0,9% 0,2 & 0,8 mg/ml
Dạng tiêm   Gentamicin sulfate   
Dạng tiêm   Aztreonam 10 & 20 mg/ml
4°C
24 Giờ
Tránh ánh sáng 19
Cấp độ bằng chứng D
Nhựa polyvinyl chloride NaCl 0,9% 1 mg/ml
Dạng tiêm   Gentamicin sulfate   
Dạng tiêm   Ciprofloxacin lactate 1,5 mg/ml
4°C
48 Giờ
Tránh ánh sáng 434
Nhựa polyvinyl chloride Glucose 5% 1,2 mg/ml
Dạng tiêm   Gentamicin sulfate   
Dạng tiêm   Clindamycin phosphate 9 mg/ml
-20°C
28 Ngày
Tránh ánh sáng 565
Cấp độ bằng chứng D
Nhựa polyvinyl chloride Glucose 5% 5 mg/ml
Dạng tiêm   Gentamicin sulfate   
Dạng tiêm   Clindamycin phosphate 6 mg/ml
25°C
24 Giờ
Ánh sáng 423
Cấp độ bằng chứng D
Nhựa polyvinyl chloride Glucose 5% 1 mg/ml
Dạng tiêm   Gentamicin sulfate   
Dạng tiêm   Ciprofloxacin lactate 1,5 mg/ml
25°C
48 Giờ
Ánh sáng 434
Nhựa polyvinyl chloride Glucose 5% 0,2 & 0,8 mg/ml
Dạng tiêm   Gentamicin sulfate   
Dạng tiêm   Aztreonam 10 & 20 mg/ml
25°C
8 Giờ
Không rõ 19
Cấp độ bằng chứng D
Nhựa polyvinyl chloride Glucose 5% 0,2 & 0,8 mg/ml
Dạng tiêm   Gentamicin sulfate   
Dạng tiêm   Aztreonam 10 & 20 mg/ml
4°C
24 Giờ
Tránh ánh sáng 19
Cấp độ bằng chứng D
Nhựa polyvinyl chloride Glucose 5% 1 mg/ml
Dạng tiêm   Gentamicin sulfate   
Dạng tiêm   Ciprofloxacin lactate 1,5 mg/ml
4°C
48 Giờ
Tránh ánh sáng 434
Nhựa polyvinyl chloride Extraneal® (Baxter) 0,02 mg/ml
Dạng tiêm   Gentamicin sulfate   
Dạng tiêm   Cefazolin sodium 0,5 mg/ml
25°C
4 Ngày
Tránh ánh sáng 3888
Cấp độ bằng chứng D
Nhựa polyvinyl chloride Extraneal® (Baxter) 0,02 mg/ml
Dạng tiêm   Gentamicin sulfate   
Dạng tiêm   Vancomycin hydrochloride 1 mg/ml
25°C
14 Ngày
Tránh ánh sáng 3888
Cấp độ bằng chứng D
Nhựa polyvinyl chloride Extraneal® (Baxter) 0,02 mg/ml
Dạng tiêm   Gentamicin sulfate   
Dạng tiêm   Vancomycin hydrochloride 1 mg/ml
37°C
4 Ngày
Tránh ánh sáng 3888
Cấp độ bằng chứng D
Nhựa polyvinyl chloride Extraneal® (Baxter) 0,02 mg/ml
Dạng tiêm   Gentamicin sulfate   
Dạng tiêm   Cefazolin sodium 0,5 mg/ml
37°C
24 Giờ
Tránh ánh sáng 3888
Cấp độ bằng chứng D
Nhựa polyvinyl chloride Extraneal® (Baxter) 0,02 mg/ml
Dạng tiêm   Gentamicin sulfate   
Dạng tiêm   Cefazolin sodium 0,5 mg/ml
4°C
14 Ngày
Tránh ánh sáng 3888
Cấp độ bằng chứng D
Nhựa polyethylen Nước cất pha tiêm 2,5 mg/ml
Dạng tiêm   Gentamicin sulfate   
Dạng tiêm   Trisodium citrate 40 mg/ml
25°C
112 Ngày
Tránh ánh sáng 3141
Cấp độ bằng chứng B
Nhựa polypropylen NaCl 0,9% 0,1 mg/ml
Dạng tiêm   Gentamicin sulfate   
Dạng tiêm   Heparin sodium 5000 UI/ml
4°C
28 Ngày
Không rõ 3956
Phương pháp sinh học
Nhựa polyolefin Không 0,75 mg/ml
Dạng tiêm   Gentamicin sulfate   
Dạng tiêm   Linezolid 1,80 mg/ml
23°C
5 Ngày
Tránh ánh sáng 2353
Cấp độ bằng chứng B+
Nhựa polyolefin Không 0,75 mg/ml
Dạng tiêm   Gentamicin sulfate   
Dạng tiêm   Linezolid 1,80 mg/ml
4°C
7 Ngày
Tránh ánh sáng 2353
Cấp độ bằng chứng B+
ống tiêm polypropylene NaCl 0,9% 30 mg/ml
Dạng tiêm   Gentamicin sulfate   
Dạng tiêm   Clindamycin phosphate 90 mg/ml
22°C-23°C
48 Giờ
Ánh sáng 639
Cấp độ bằng chứng D
Không rõ Nước cất pha tiêm 2,5 mg/ml
Dạng tiêm   Gentamicin sulfate   
Dạng tiêm   Sodium citrate 40 mg/ml
37°C
96 Giờ
Không rõ 3952
Cấp độ bằng chứng A
Không rõ NaCl 0,9% 1,5 mg/ml
Dạng tiêm   Gentamicin sulfate   
Dạng tiêm   Daptomycin 19,2 mg/ml
22°C-28°C
2 Giờ
Không rõ 1937
Cấp độ bằng chứng C+

  Mentions Légales