Utolsó frissítés :
27/04/2026
Antibiotikum   Gentamicin sulfate  
Injekció
Szemcsepp
Az oldatok stabilitása A keverékek stabilitása Stabilitást befolyásoló tényezők Kompatibilitás Az alkalmazás módja Irodalom pdf
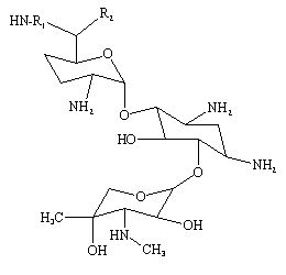
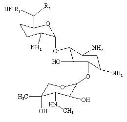
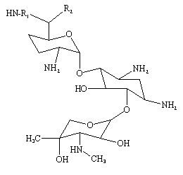
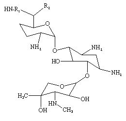
   Kémiai szerkezet   

Kereskedelmi név   Kereskedelmi név     

A kereskedelmi név meghatározó jelentőségű: a készítmények összetétele országonként, előállítóként eltérő lehet

Azupel Peru
Cidomycin Egyiptom, Nagy-Britannia, Tunézia
Dabroson Görögország
Epigent Egyiptom
Garalone Portugália
Garamicina Brazília, Colombia, Ecuador, Mexikó
Garamycin Dánia, Egyesült Arab Emírségek, Egyiptom, Görögország, Hollandia, Horvátország, India, Lengyelország, Norvégia, Svájc
Genmisin Törökország
Gensif Törökország
Gensumycin Finnország, Norvégia, Svédország
Genta-Gobens Spanyolország
Gentalline Marokkó
Gentamen Marokkó
Genticin Egyesült Arab Emírségek, Írország, Nagy-Britannia
Gentreks Törökország
Hexamycin Dánia
Plurisemina Argentína
Refobacin Ausztria, Colombia, Egyiptom, Németország
Rupegen Argentína
A keverékek stabilitása   Injekció   A keverékek stabilitása : Gentamicin sulfate     
Csomagolás Oldószer Koncentráció Vegyület Hőmérséklet Tárolás A stabilitás időtartama Irodalom
Üveg 0,9% nátrium-klorid 0,75 mg/ml
Injekció   Gentamicin sulfate   
Injekció   Granisetron hydrochloride 0,5 mg/ml
20°C-23°C
4 Óra
Fény 57
Szintű bizonyítékot A+
Üveg 0,9% nátrium-klorid 1 mg/ml
Injekció   Gentamicin sulfate   
Injekció   Cefpirome sulfate 50 mg/ml
23°C
8 Óra
Fény 280
Szintű bizonyítékot B+
Üveg 0,9% nátrium-klorid 0,8 mg/ml
Injekció   Gentamicin sulfate   
Injekció   Cefazolin sodium 10 mg/ml
Injekció   Clindamycin phosphate 9 mg/ml
25°C
12 Óra
Fény 695
tréfacsináló
Üveg 5% glükóz 1 mg/ml
Injekció   Gentamicin sulfate   
Injekció   Cefpirome sulfate 50 mg/ml
23°C
8 Óra
Fény 280
Szintű bizonyítékot B+
Üveg 5% glükóz 0,32 mg/ml
Injekció   Gentamicin sulfate   
Injekció   Dopamine hydrochloride 0,8 mg/ml
23°C-25°C
24 Óra
Fény 738
tréfacsináló
Üveg 5% glükóz 0,8 mg/ml
Injekció   Gentamicin sulfate   
Injekció   Cefazolin sodium 10 mg/ml
Injekció   Clindamycin phosphate 9 mg/ml
25°C
1 Óra
Fény 695
tréfacsináló
Üveg 5% glükóz 3,2 mg/ml
Injekció   Gentamicin sulfate   
Injekció   Filgrastim 40 µg/ml
25°C
4 Óra
Nincs meghatározva 104
Szintű bizonyítékot B
Üveg 5% glükóz 5.26 mg/ml
Injekció   Gentamicin sulfate   
Injekció   Palonosetron hydrochloride 26.7 µg/ml
25°C
4 Óra
Nincs meghatározva 2228
Szintű bizonyítékot A+
Üveg Ringer-laktát oldat 1 mg/ml
Injekció   Gentamicin sulfate   
Injekció   Cefpirome sulfate 50 mg/ml
23°C
8 Óra
Fény 280
Szintű bizonyítékot B+
Üveg 0,45% nátrium-klorid 1 mg/ml
Injekció   Gentamicin sulfate   
Injekció   Cefpirome sulfate 50 mg/ml
23°C
8 Óra
Fény 280
Szintű bizonyítékot B+
Üveg Egy sem 0,8 mg/ml
Injekció   Gentamicin sulfate   
Injekció   Ofloxacin 2 mg/ml
25°C
48 Óra
Nincs meghatározva 889
Szintű bizonyítékot D
Poli(vinilklorid) 0,9% nátrium-klorid 1,2 mg/ml
Injekció   Gentamicin sulfate   
Injekció   Clindamycin phosphate 9 mg/ml
-20°C
28 Nap
Fénytől védve tartandó 565
Szintű bizonyítékot D
Poli(vinilklorid) 0,9% nátrium-klorid 1 mg/ml
Injekció   Gentamicin sulfate   
Injekció   Ciprofloxacin lactate 1,5 mg/ml
25°C
48 Óra
Fény 434
Poli(vinilklorid) 0,9% nátrium-klorid 0,2 & 0,8 mg/ml
Injekció   Gentamicin sulfate   
Injekció   Aztreonam 10 & 20 mg/ml
25°C
8 Óra
Nincs meghatározva 19
Szintű bizonyítékot D
Poli(vinilklorid) 0,9% nátrium-klorid 0,2 & 0,8 mg/ml
Injekció   Gentamicin sulfate   
Injekció   Aztreonam 10 & 20 mg/ml
4°C
24 Óra
Fénytől védve tartandó 19
Szintű bizonyítékot D
Poli(vinilklorid) 0,9% nátrium-klorid 1 mg/ml
Injekció   Gentamicin sulfate   
Injekció   Ciprofloxacin lactate 1,5 mg/ml
4°C
48 Óra
Fénytől védve tartandó 434
Poli(vinilklorid) 5% glükóz 1,2 mg/ml
Injekció   Gentamicin sulfate   
Injekció   Clindamycin phosphate 9 mg/ml
-20°C
28 Nap
Fénytől védve tartandó 565
Szintű bizonyítékot D
Poli(vinilklorid) 5% glükóz 5 mg/ml
Injekció   Gentamicin sulfate   
Injekció   Clindamycin phosphate 6 mg/ml
25°C
24 Óra
Fény 423
Szintű bizonyítékot D
Poli(vinilklorid) 5% glükóz 1 mg/ml
Injekció   Gentamicin sulfate   
Injekció   Ciprofloxacin lactate 1,5 mg/ml
25°C
48 Óra
Fény 434
Poli(vinilklorid) 5% glükóz 0,2 & 0,8 mg/ml
Injekció   Gentamicin sulfate   
Injekció   Aztreonam 10 & 20 mg/ml
25°C
8 Óra
Nincs meghatározva 19
Szintű bizonyítékot D
Poli(vinilklorid) 5% glükóz 0,2 & 0,8 mg/ml
Injekció   Gentamicin sulfate   
Injekció   Aztreonam 10 & 20 mg/ml
4°C
24 Óra
Fénytől védve tartandó 19
Szintű bizonyítékot D
Poli(vinilklorid) 5% glükóz 1 mg/ml
Injekció   Gentamicin sulfate   
Injekció   Ciprofloxacin lactate 1,5 mg/ml
4°C
48 Óra
Fénytől védve tartandó 434
Poli(vinilklorid) Extraneal® (Baxter) 0,02 mg/ml
Injekció   Gentamicin sulfate   
Injekció   Cefazolin sodium 0,5 mg/ml
25°C
4 Nap
Fénytől védve tartandó 3888
Szintű bizonyítékot D
Poli(vinilklorid) Extraneal® (Baxter) 0,02 mg/ml
Injekció   Gentamicin sulfate   
Injekció   Vancomycin hydrochloride 1 mg/ml
25°C
14 Nap
Fénytől védve tartandó 3888
Szintű bizonyítékot D
Poli(vinilklorid) Extraneal® (Baxter) 0,02 mg/ml
Injekció   Gentamicin sulfate   
Injekció   Vancomycin hydrochloride 1 mg/ml
37°C
4 Nap
Fénytől védve tartandó 3888
Szintű bizonyítékot D
Poli(vinilklorid) Extraneal® (Baxter) 0,02 mg/ml
Injekció   Gentamicin sulfate   
Injekció   Cefazolin sodium 0,5 mg/ml
37°C
24 Óra
Fénytől védve tartandó 3888
Szintű bizonyítékot D
Poli(vinilklorid) Extraneal® (Baxter) 0,02 mg/ml
Injekció   Gentamicin sulfate   
Injekció   Cefazolin sodium 0,5 mg/ml
4°C
14 Nap
Fénytől védve tartandó 3888
Szintű bizonyítékot D
Polietilén Injekcióhoz való víz 2,5 mg/ml
Injekció   Gentamicin sulfate   
Injekció   Trisodium citrate 40 mg/ml
25°C
112 Nap
Fénytől védve tartandó 3141
Szintű bizonyítékot B
Polipropilén 0,9% nátrium-klorid 0,1 mg/ml
Injekció   Gentamicin sulfate   
Injekció   Heparin sodium 5000 UI/ml
4°C
28 Nap
Nincs meghatározva 3956
Biológiai elemzés
Poliolefin Egy sem 0,75 mg/ml
Injekció   Gentamicin sulfate   
Injekció   Linezolid 1,80 mg/ml
23°C
5 Nap
Fénytől védve tartandó 2353
Szintű bizonyítékot B+
Poliolefin Egy sem 0,75 mg/ml
Injekció   Gentamicin sulfate   
Injekció   Linezolid 1,80 mg/ml
4°C
7 Nap
Fénytől védve tartandó 2353
Szintű bizonyítékot B+
fecskendő polipropilén 0,9% nátrium-klorid 30 mg/ml
Injekció   Gentamicin sulfate   
Injekció   Clindamycin phosphate 90 mg/ml
22°C-23°C
48 Óra
Fény 639
Szintű bizonyítékot D
Nincs meghatározva Injekcióhoz való víz 2,5 mg/ml
Injekció   Gentamicin sulfate   
Injekció   Sodium citrate 40 mg/ml
37°C
96 Óra
Nincs meghatározva 3952
Szintű bizonyítékot A
Nincs meghatározva 0,9% nátrium-klorid 1,5 mg/ml
Injekció   Gentamicin sulfate   
Injekció   Daptomycin 19,2 mg/ml
22°C-28°C
2 Óra
Nincs meghatározva 1937
Szintű bizonyítékot C+

  Mentions Légales