Last update :
27/04/2026
Antibiotic   Gentamicin sulfate  
injection
Eye-drops
Stability in solutions Stability of mixtures Factors which affect stability Compatibility Route of administration References pdf
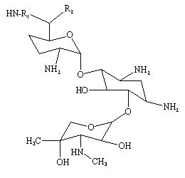
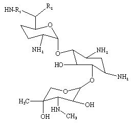
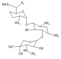
   Chemical structure  

Tradename   Tradename     

Trade names are indicative and excipients composition can be different depending on the country and manufacturers

Azupel Peru
Cidomycin Egypt, Great Britain, Tunisia
Dabroson Greece
Epigent Egypt
Garalone Portugal
Garamicina Brazil, Colombia, Ecuador, Mexico
Garamycin Croatia, Denmark, Egypt, Greece, India, Netherlands, Norway, Poland, Switzerland, United Arab Emirates
Genmisin Turkey
Gensif Turkey
Gensumycin Finland, Norway, Sweden
Genta-Gobens Spain
Gentalline Morocco
Gentamen Morocco
Genticin Great Britain, Ireland, United Arab Emirates
Gentreks Turkey
Hexamycin Denmark
Plurisemina Argentina
Refobacin Austria, Colombia, Egypt, Germany
Rupegen Argentina
Stability of mixtures   injection   Stability of mixtures : Gentamicin sulfate     
Container Solvent Concentration Compound Temperature Storage Duration of stability References
Glass Sodium chloride 0,9% 0,75 mg/ml
injection   Gentamicin sulfate   
injection   Granisetron hydrochloride 0,5 mg/ml
20°C-23°C
4 Hour
Light 57
Level of evidence A+
Glass Sodium chloride 0,9% 1 mg/ml
injection   Gentamicin sulfate   
injection   Cefpirome sulfate 50 mg/ml
23°C
8 Hour
Light 280
Level of evidence B+
Glass Sodium chloride 0,9% 0,8 mg/ml
injection   Gentamicin sulfate   
injection   Cefazolin sodium 10 mg/ml
injection   Clindamycin phosphate 9 mg/ml
25°C
12 Hour
Light 695
Joker
Glass Glucose 5% 1 mg/ml
injection   Gentamicin sulfate   
injection   Cefpirome sulfate 50 mg/ml
23°C
8 Hour
Light 280
Level of evidence B+
Glass Glucose 5% 0,32 mg/ml
injection   Gentamicin sulfate   
injection   Dopamine hydrochloride 0,8 mg/ml
23°C-25°C
24 Hour
Light 738
Joker
Glass Glucose 5% 0,8 mg/ml
injection   Gentamicin sulfate   
injection   Cefazolin sodium 10 mg/ml
injection   Clindamycin phosphate 9 mg/ml
25°C
1 Hour
Light 695
Joker
Glass Glucose 5% 3,2 mg/ml
injection   Gentamicin sulfate   
injection   Filgrastim 40 µg/ml
25°C
4 Hour
Not specified 104
Level of evidence B
Glass Glucose 5% 5.26 mg/ml
injection   Gentamicin sulfate   
injection   Palonosetron hydrochloride 26.7 µg/ml
25°C
4 Hour
Not specified 2228
Level of evidence A+
Glass Ringer’s lactate solution 1 mg/ml
injection   Gentamicin sulfate   
injection   Cefpirome sulfate 50 mg/ml
23°C
8 Hour
Light 280
Level of evidence B+
Glass Sodium chloride 0,45% 1 mg/ml
injection   Gentamicin sulfate   
injection   Cefpirome sulfate 50 mg/ml
23°C
8 Hour
Light 280
Level of evidence B+
Glass None 0,8 mg/ml
injection   Gentamicin sulfate   
injection   Ofloxacin 2 mg/ml
25°C
48 Hour
Not specified 889
Level of evidence D
Polyvinyl chloride Sodium chloride 0,9% 1,2 mg/ml
injection   Gentamicin sulfate   
injection   Clindamycin phosphate 9 mg/ml
-20°C
28 Day
Protect from light 565
Level of evidence D
Polyvinyl chloride Sodium chloride 0,9% 1 mg/ml
injection   Gentamicin sulfate   
injection   Ciprofloxacin lactate 1,5 mg/ml
25°C
48 Hour
Light 434
Polyvinyl chloride Sodium chloride 0,9% 0,2 & 0,8 mg/ml
injection   Gentamicin sulfate   
injection   Aztreonam 10 & 20 mg/ml
25°C
8 Hour
Not specified 19
Level of evidence D
Polyvinyl chloride Sodium chloride 0,9% 0,2 & 0,8 mg/ml
injection   Gentamicin sulfate   
injection   Aztreonam 10 & 20 mg/ml
4°C
24 Hour
Protect from light 19
Level of evidence D
Polyvinyl chloride Sodium chloride 0,9% 1 mg/ml
injection   Gentamicin sulfate   
injection   Ciprofloxacin lactate 1,5 mg/ml
4°C
48 Hour
Protect from light 434
Polyvinyl chloride Glucose 5% 1,2 mg/ml
injection   Gentamicin sulfate   
injection   Clindamycin phosphate 9 mg/ml
-20°C
28 Day
Protect from light 565
Level of evidence D
Polyvinyl chloride Glucose 5% 5 mg/ml
injection   Gentamicin sulfate   
injection   Clindamycin phosphate 6 mg/ml
25°C
24 Hour
Light 423
Level of evidence D
Polyvinyl chloride Glucose 5% 1 mg/ml
injection   Gentamicin sulfate   
injection   Ciprofloxacin lactate 1,5 mg/ml
25°C
48 Hour
Light 434
Polyvinyl chloride Glucose 5% 0,2 & 0,8 mg/ml
injection   Gentamicin sulfate   
injection   Aztreonam 10 & 20 mg/ml
25°C
8 Hour
Not specified 19
Level of evidence D
Polyvinyl chloride Glucose 5% 0,2 & 0,8 mg/ml
injection   Gentamicin sulfate   
injection   Aztreonam 10 & 20 mg/ml
4°C
24 Hour
Protect from light 19
Level of evidence D
Polyvinyl chloride Glucose 5% 1 mg/ml
injection   Gentamicin sulfate   
injection   Ciprofloxacin lactate 1,5 mg/ml
4°C
48 Hour
Protect from light 434
Polyvinyl chloride Extraneal® (Baxter) 0,02 mg/ml
injection   Gentamicin sulfate   
injection   Cefazolin sodium 0,5 mg/ml
25°C
4 Day
Protect from light 3888
Level of evidence D
Polyvinyl chloride Extraneal® (Baxter) 0,02 mg/ml
injection   Gentamicin sulfate   
injection   Vancomycin hydrochloride 1 mg/ml
25°C
14 Day
Protect from light 3888
Level of evidence D
Polyvinyl chloride Extraneal® (Baxter) 0,02 mg/ml
injection   Gentamicin sulfate   
injection   Vancomycin hydrochloride 1 mg/ml
37°C
4 Day
Protect from light 3888
Level of evidence D
Polyvinyl chloride Extraneal® (Baxter) 0,02 mg/ml
injection   Gentamicin sulfate   
injection   Cefazolin sodium 0,5 mg/ml
37°C
24 Hour
Protect from light 3888
Level of evidence D
Polyvinyl chloride Extraneal® (Baxter) 0,02 mg/ml
injection   Gentamicin sulfate   
injection   Cefazolin sodium 0,5 mg/ml
4°C
14 Day
Protect from light 3888
Level of evidence D
Polyethylene Water for Injection 2,5 mg/ml
injection   Gentamicin sulfate   
injection   Trisodium citrate 40 mg/ml
25°C
112 Day
Protect from light 3141
Level of evidence B
Polypropylene Sodium chloride 0,9% 0,1 mg/ml
injection   Gentamicin sulfate   
injection   Heparin sodium 5000 UI/ml
4°C
28 Day
Not specified 3956
Biological analysis
Polyolefine None 0,75 mg/ml
injection   Gentamicin sulfate   
injection   Linezolid 1,80 mg/ml
23°C
5 Day
Protect from light 2353
Level of evidence B+
Polyolefine None 0,75 mg/ml
injection   Gentamicin sulfate   
injection   Linezolid 1,80 mg/ml
4°C
7 Day
Protect from light 2353
Level of evidence B+
Polypropylen Syringe Sodium chloride 0,9% 30 mg/ml
injection   Gentamicin sulfate   
injection   Clindamycin phosphate 90 mg/ml
22°C-23°C
48 Hour
Light 639
Level of evidence D
Not specified Water for Injection 2,5 mg/ml
injection   Gentamicin sulfate   
injection   Sodium citrate 40 mg/ml
37°C
96 Hour
Not specified 3952
Level of evidence A
Not specified Sodium chloride 0,9% 1,5 mg/ml
injection   Gentamicin sulfate   
injection   Daptomycin 19,2 mg/ml
22°C-28°C
2 Hour
Not specified 1937
Level of evidence C+

  Mentions Légales