Última actualização :
27/04/2026
antibiótico   Gentamicin sulfate  
injetável
solução oftálmica
Estabilidade em soluções simples Estabilidade em misturas Factores que afectam a sua estabilidade Compatibilidade Método de administração Bibliografía pdf
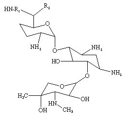
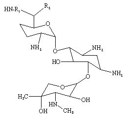
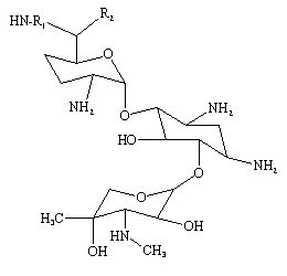
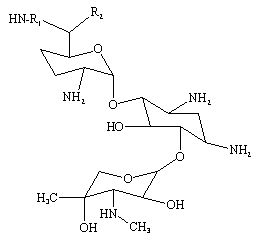
   estrutura química  

Nomes comerciais nos diversos países   Nomes comerciais nos diversos países     

OS NOMES COMERCIAIS SÃO INDICATIVOS E OS EXCIPIENTES DA FORMULAÇÃO PODEM SER DIFERENTES CONFORME O PAÍS E FABRICANTE.

Azupel Peru
Cidomycin Egipto, Gran-bretanha, Tunísia
Dabroson Grècia
Epigent Egipto
Garalone Portugal
Garamicina Brasil, Colômbia, Equator, México
Garamycin Croácia, Dinamarca, Egipto, Emirados Árabes Unidos, Grècia, Índia, Noruega, Países Baixos, Polonia, Suicia
Genmisin Turquia
Gensif Turquia
Gensumycin Finlandia, Noruega, Suècia
Genta-Gobens Espanha
Gentalline Marrocos
Gentamen Marrocos
Genticin Emirados Árabes Unidos, Gran-bretanha, Irlanda
Gentreks Turquia
Hexamycin Dinamarca
Plurisemina Argentina
Refobacin Alemanha, Austria, Colômbia, Egipto
Rupegen Argentina
Estabilidade em misturas   injetável   Estabilidade em misturas : Gentamicin sulfate     
Embalagem Solvente concentração molécula temperatura conservação Duração da estabilidade Bibliografia
vidro cloreto de sódio 0,9% 0,75 mg/ml
injetável   Gentamicin sulfate   
injetável   Granisetron hydrochloride 0,5 mg/ml
20°C-23°C
4 hora
luz 57
Nível de evidência A+
vidro cloreto de sódio 0,9% 1 mg/ml
injetável   Gentamicin sulfate   
injetável   Cefpirome sulfate 50 mg/ml
23°C
8 hora
luz 280
Nível de evidência B+
vidro cloreto de sódio 0,9% 0,8 mg/ml
injetável   Gentamicin sulfate   
injetável   Cefazolin sodium 10 mg/ml
injetável   Clindamycin phosphate 9 mg/ml
25°C
12 hora
luz 695
Joker
vidro Glucose 5% 1 mg/ml
injetável   Gentamicin sulfate   
injetável   Cefpirome sulfate 50 mg/ml
23°C
8 hora
luz 280
Nível de evidência B+
vidro Glucose 5% 0,32 mg/ml
injetável   Gentamicin sulfate   
injetável   Dopamine hydrochloride 0,8 mg/ml
23°C-25°C
24 hora
luz 738
Joker
vidro Glucose 5% 0,8 mg/ml
injetável   Gentamicin sulfate   
injetável   Cefazolin sodium 10 mg/ml
injetável   Clindamycin phosphate 9 mg/ml
25°C
1 hora
luz 695
Joker
vidro Glucose 5% 3,2 mg/ml
injetável   Gentamicin sulfate   
injetável   Filgrastim 40 µg/ml
25°C
4 hora
no especificado 104
Nível de evidência B
vidro Glucose 5% 5.26 mg/ml
injetável   Gentamicin sulfate   
injetável   Palonosetron hydrochloride 26.7 µg/ml
25°C
4 hora
no especificado 2228
Nível de evidência A+
vidro Ringer lactato 1 mg/ml
injetável   Gentamicin sulfate   
injetável   Cefpirome sulfate 50 mg/ml
23°C
8 hora
luz 280
Nível de evidência B+
vidro cloreto de sódio 0,45% 1 mg/ml
injetável   Gentamicin sulfate   
injetável   Cefpirome sulfate 50 mg/ml
23°C
8 hora
luz 280
Nível de evidência B+
vidro nenhum 0,8 mg/ml
injetável   Gentamicin sulfate   
injetável   Ofloxacin 2 mg/ml
25°C
48 hora
no especificado 889
Nível de evidência D
Cloreto de polivinilo cloreto de sódio 0,9% 1,2 mg/ml
injetável   Gentamicin sulfate   
injetável   Clindamycin phosphate 9 mg/ml
-20°C
28 dia
ao abrigo da luz 565
Nível de evidência D
Cloreto de polivinilo cloreto de sódio 0,9% 1 mg/ml
injetável   Gentamicin sulfate   
injetável   Ciprofloxacin lactate 1,5 mg/ml
25°C
48 hora
luz 434
Cloreto de polivinilo cloreto de sódio 0,9% 0,2 & 0,8 mg/ml
injetável   Gentamicin sulfate   
injetável   Aztreonam 10 & 20 mg/ml
25°C
8 hora
no especificado 19
Nível de evidência D
Cloreto de polivinilo cloreto de sódio 0,9% 0,2 & 0,8 mg/ml
injetável   Gentamicin sulfate   
injetável   Aztreonam 10 & 20 mg/ml
4°C
24 hora
ao abrigo da luz 19
Nível de evidência D
Cloreto de polivinilo cloreto de sódio 0,9% 1 mg/ml
injetável   Gentamicin sulfate   
injetável   Ciprofloxacin lactate 1,5 mg/ml
4°C
48 hora
ao abrigo da luz 434
Cloreto de polivinilo Glucose 5% 1,2 mg/ml
injetável   Gentamicin sulfate   
injetável   Clindamycin phosphate 9 mg/ml
-20°C
28 dia
ao abrigo da luz 565
Nível de evidência D
Cloreto de polivinilo Glucose 5% 5 mg/ml
injetável   Gentamicin sulfate   
injetável   Clindamycin phosphate 6 mg/ml
25°C
24 hora
luz 423
Nível de evidência D
Cloreto de polivinilo Glucose 5% 1 mg/ml
injetável   Gentamicin sulfate   
injetável   Ciprofloxacin lactate 1,5 mg/ml
25°C
48 hora
luz 434
Cloreto de polivinilo Glucose 5% 0,2 & 0,8 mg/ml
injetável   Gentamicin sulfate   
injetável   Aztreonam 10 & 20 mg/ml
25°C
8 hora
no especificado 19
Nível de evidência D
Cloreto de polivinilo Glucose 5% 0,2 & 0,8 mg/ml
injetável   Gentamicin sulfate   
injetável   Aztreonam 10 & 20 mg/ml
4°C
24 hora
ao abrigo da luz 19
Nível de evidência D
Cloreto de polivinilo Glucose 5% 1 mg/ml
injetável   Gentamicin sulfate   
injetável   Ciprofloxacin lactate 1,5 mg/ml
4°C
48 hora
ao abrigo da luz 434
Cloreto de polivinilo Extraneal® (Baxter) 0,02 mg/ml
injetável   Gentamicin sulfate   
injetável   Cefazolin sodium 0,5 mg/ml
25°C
4 dia
ao abrigo da luz 3888
Nível de evidência D
Cloreto de polivinilo Extraneal® (Baxter) 0,02 mg/ml
injetável   Gentamicin sulfate   
injetável   Vancomycin hydrochloride 1 mg/ml
25°C
14 dia
ao abrigo da luz 3888
Nível de evidência D
Cloreto de polivinilo Extraneal® (Baxter) 0,02 mg/ml
injetável   Gentamicin sulfate   
injetável   Vancomycin hydrochloride 1 mg/ml
37°C
4 dia
ao abrigo da luz 3888
Nível de evidência D
Cloreto de polivinilo Extraneal® (Baxter) 0,02 mg/ml
injetável   Gentamicin sulfate   
injetável   Cefazolin sodium 0,5 mg/ml
37°C
24 hora
ao abrigo da luz 3888
Nível de evidência D
Cloreto de polivinilo Extraneal® (Baxter) 0,02 mg/ml
injetável   Gentamicin sulfate   
injetável   Cefazolin sodium 0,5 mg/ml
4°C
14 dia
ao abrigo da luz 3888
Nível de evidência D
Polietileno Agua para injectaveis 2,5 mg/ml
injetável   Gentamicin sulfate   
injetável   Trisodium citrate 40 mg/ml
25°C
112 dia
ao abrigo da luz 3141
Nível de evidência B
Polipropileno cloreto de sódio 0,9% 0,1 mg/ml
injetável   Gentamicin sulfate   
injetável   Heparin sodium 5000 UI/ml
4°C
28 dia
no especificado 3956
análise biológica
Poliolefina nenhum 0,75 mg/ml
injetável   Gentamicin sulfate   
injetável   Linezolid 1,80 mg/ml
23°C
5 dia
ao abrigo da luz 2353
Nível de evidência B+
Poliolefina nenhum 0,75 mg/ml
injetável   Gentamicin sulfate   
injetável   Linezolid 1,80 mg/ml
4°C
7 dia
ao abrigo da luz 2353
Nível de evidência B+
seringa polipropylen cloreto de sódio 0,9% 30 mg/ml
injetável   Gentamicin sulfate   
injetável   Clindamycin phosphate 90 mg/ml
22°C-23°C
48 hora
luz 639
Nível de evidência D
no especificado Agua para injectaveis 2,5 mg/ml
injetável   Gentamicin sulfate   
injetável   Sodium citrate 40 mg/ml
37°C
96 hora
no especificado 3952
Nível de evidência A
no especificado cloreto de sódio 0,9% 1,5 mg/ml
injetável   Gentamicin sulfate   
injetável   Daptomycin 19,2 mg/ml
22°C-28°C
2 hora
no especificado 1937
Nível de evidência C+

  Mentions Légales