Dernière mise à jour :
27/04/2026
Antibiotique   Gentamicin sulfate  
injectable
Collyre
Stabilité des solutions Stabilité en mélange Facteur influençant la stabilité Compatibilités Voie d’administration Bibliographie pdf
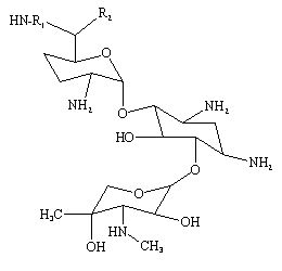
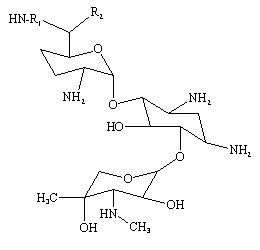
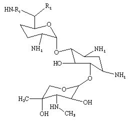
   Structure chimique  

Noms commerciaux   Noms commerciaux     

Les noms commerciaux sont donnés à titre indicatif et la composition en excipients peut être différente selon les pays et selon les laboratoires

Azupel Pérou
Cidomycin Egypte, Grande Bretagne, Tunisie
Dabroson Grèce
Epigent Egypte
Garalone Portugal
Garamicina Brésil, Colombie, Equateur, Mexique
Garamycin Croatie, Danemark, Egypte, Emirats Arabes Unis , Grèce, Inde, Norvège, Pays bas, Pologne, Suisse
Genmisin Turquie
Gensif Turquie
Gensumycin Finlande, Norvège, Suède
Genta-Gobens Espagne
Gentalline Maroc
Gentamen Maroc
Genticin Emirats Arabes Unis , Grande Bretagne, Irlande
Gentreks Turquie
Hexamycin Danemark
Plurisemina Argentine
Refobacin Allemagne, Autriche, Colombie, Egypte
Rupegen Argentine
Stabilité en mélange   injectable   Stabilité en mélange : Gentamicin sulfate     
Contenant Solvant Concentration Molécule Température Conservation Durée de stabilité Bibliographie
Verre Chlorure de sodium 0,9% 0,75 mg/ml
injectable   Gentamicin sulfate   
injectable   Granisetron hydrochloride 0,5 mg/ml
20°C-23°C
4 Heure
Lumière 57
Niveau de preuve A +
Verre Chlorure de sodium 0,9% 1 mg/ml
injectable   Gentamicin sulfate   
injectable   Cefpirome sulfate 50 mg/ml
23°C
8 Heure
Lumière 280
Niveau de preuve B +
Verre Chlorure de sodium 0,9% 0,8 mg/ml
injectable   Gentamicin sulfate   
injectable   Cefazolin sodium 10 mg/ml
injectable   Clindamycin phosphate 9 mg/ml
25°C
12 Heure
Lumière 695
JOKER
Verre Glucose 5% 1 mg/ml
injectable   Gentamicin sulfate   
injectable   Cefpirome sulfate 50 mg/ml
23°C
8 Heure
Lumière 280
Niveau de preuve B +
Verre Glucose 5% 0,32 mg/ml
injectable   Gentamicin sulfate   
injectable   Dopamine hydrochloride 0,8 mg/ml
23°C-25°C
24 Heure
Lumière 738
JOKER
Verre Glucose 5% 0,8 mg/ml
injectable   Gentamicin sulfate   
injectable   Cefazolin sodium 10 mg/ml
injectable   Clindamycin phosphate 9 mg/ml
25°C
1 Heure
Lumière 695
JOKER
Verre Glucose 5% 3,2 mg/ml
injectable   Gentamicin sulfate   
injectable   Filgrastim 40 µg/ml
25°C
4 Heure
Non précisée 104
Niveau de preuve B
Verre Glucose 5% 5.26 mg/ml
injectable   Gentamicin sulfate   
injectable   Palonosetron hydrochloride 26.7 µg/ml
25°C
4 Heure
Non précisée 2228
Niveau de preuve A +
Verre Ringer lactate 1 mg/ml
injectable   Gentamicin sulfate   
injectable   Cefpirome sulfate 50 mg/ml
23°C
8 Heure
Lumière 280
Niveau de preuve B +
Verre Chlorure de sodium 0,45% 1 mg/ml
injectable   Gentamicin sulfate   
injectable   Cefpirome sulfate 50 mg/ml
23°C
8 Heure
Lumière 280
Niveau de preuve B +
Verre Aucun 0,8 mg/ml
injectable   Gentamicin sulfate   
injectable   Ofloxacin 2 mg/ml
25°C
48 Heure
Non précisée 889
Niveau de preuve D
Polyvinyl chlorure Chlorure de sodium 0,9% 1,2 mg/ml
injectable   Gentamicin sulfate   
injectable   Clindamycin phosphate 9 mg/ml
-20°C
28 Jour
A l’abri de la lumière 565
Niveau de preuve D
Polyvinyl chlorure Chlorure de sodium 0,9% 1 mg/ml
injectable   Gentamicin sulfate   
injectable   Ciprofloxacin lactate 1,5 mg/ml
25°C
48 Heure
Lumière 434
Polyvinyl chlorure Chlorure de sodium 0,9% 0,2 & 0,8 mg/ml
injectable   Gentamicin sulfate   
injectable   Aztreonam 10 & 20 mg/ml
25°C
8 Heure
Non précisée 19
Niveau de preuve D
Polyvinyl chlorure Chlorure de sodium 0,9% 0,2 & 0,8 mg/ml
injectable   Gentamicin sulfate   
injectable   Aztreonam 10 & 20 mg/ml
4°C
24 Heure
A l’abri de la lumière 19
Niveau de preuve D
Polyvinyl chlorure Chlorure de sodium 0,9% 1 mg/ml
injectable   Gentamicin sulfate   
injectable   Ciprofloxacin lactate 1,5 mg/ml
4°C
48 Heure
A l’abri de la lumière 434
Polyvinyl chlorure Glucose 5% 1,2 mg/ml
injectable   Gentamicin sulfate   
injectable   Clindamycin phosphate 9 mg/ml
-20°C
28 Jour
A l’abri de la lumière 565
Niveau de preuve D
Polyvinyl chlorure Glucose 5% 5 mg/ml
injectable   Gentamicin sulfate   
injectable   Clindamycin phosphate 6 mg/ml
25°C
24 Heure
Lumière 423
Niveau de preuve D
Polyvinyl chlorure Glucose 5% 1 mg/ml
injectable   Gentamicin sulfate   
injectable   Ciprofloxacin lactate 1,5 mg/ml
25°C
48 Heure
Lumière 434
Polyvinyl chlorure Glucose 5% 0,2 & 0,8 mg/ml
injectable   Gentamicin sulfate   
injectable   Aztreonam 10 & 20 mg/ml
25°C
8 Heure
Non précisée 19
Niveau de preuve D
Polyvinyl chlorure Glucose 5% 0,2 & 0,8 mg/ml
injectable   Gentamicin sulfate   
injectable   Aztreonam 10 & 20 mg/ml
4°C
24 Heure
A l’abri de la lumière 19
Niveau de preuve D
Polyvinyl chlorure Glucose 5% 1 mg/ml
injectable   Gentamicin sulfate   
injectable   Ciprofloxacin lactate 1,5 mg/ml
4°C
48 Heure
A l’abri de la lumière 434
Polyvinyl chlorure Extraneal® (Baxter) 0,02 mg/ml
injectable   Gentamicin sulfate   
injectable   Cefazolin sodium 0,5 mg/ml
25°C
4 Jour
A l’abri de la lumière 3888
Niveau de preuve D
Polyvinyl chlorure Extraneal® (Baxter) 0,02 mg/ml
injectable   Gentamicin sulfate   
injectable   Vancomycin hydrochloride 1 mg/ml
25°C
14 Jour
A l’abri de la lumière 3888
Niveau de preuve D
Polyvinyl chlorure Extraneal® (Baxter) 0,02 mg/ml
injectable   Gentamicin sulfate   
injectable   Vancomycin hydrochloride 1 mg/ml
37°C
4 Jour
A l’abri de la lumière 3888
Niveau de preuve D
Polyvinyl chlorure Extraneal® (Baxter) 0,02 mg/ml
injectable   Gentamicin sulfate   
injectable   Cefazolin sodium 0,5 mg/ml
37°C
24 Heure
A l’abri de la lumière 3888
Niveau de preuve D
Polyvinyl chlorure Extraneal® (Baxter) 0,02 mg/ml
injectable   Gentamicin sulfate   
injectable   Cefazolin sodium 0,5 mg/ml
4°C
14 Jour
A l’abri de la lumière 3888
Niveau de preuve D
Polyéthylène Eau pour préparation injectable 2,5 mg/ml
injectable   Gentamicin sulfate   
injectable   Trisodium citrate 40 mg/ml
25°C
112 Jour
A l’abri de la lumière 3141
Niveau de preuve B
Polypropylène Chlorure de sodium 0,9% 0,1 mg/ml
injectable   Gentamicin sulfate   
injectable   Heparin sodium 5000 UI/ml
4°C
28 Jour
Non précisée 3956
Méthode biologique
Polyolefine Aucun 0,75 mg/ml
injectable   Gentamicin sulfate   
injectable   Linezolid 1,80 mg/ml
23°C
5 Jour
A l’abri de la lumière 2353
Niveau de preuve B +
Polyolefine Aucun 0,75 mg/ml
injectable   Gentamicin sulfate   
injectable   Linezolid 1,80 mg/ml
4°C
7 Jour
A l’abri de la lumière 2353
Niveau de preuve B +
Seringue polypropylène Chlorure de sodium 0,9% 30 mg/ml
injectable   Gentamicin sulfate   
injectable   Clindamycin phosphate 90 mg/ml
22°C-23°C
48 Heure
Lumière 639
Niveau de preuve D
Non précisé Eau pour préparation injectable 2,5 mg/ml
injectable   Gentamicin sulfate   
injectable   Sodium citrate 40 mg/ml
37°C
96 Heure
Non précisée 3952
Niveau de preuve A
Non précisé Chlorure de sodium 0,9% 1,5 mg/ml
injectable   Gentamicin sulfate   
injectable   Daptomycin 19,2 mg/ml
22°C-28°C
2 Heure
Non précisée 1937
Niveau de preuve C+

  Mentions Légales