Última actualización :
27/04/2026
Antibiótico   Gentamicin sulfate  
Inyectables
Gotas oculares
Estabilidad en solucion Estabilidad en mezcla Factores que influyen sobre la estabilidad Compatibilidades método de inyección Bibliografía pdf
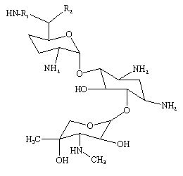
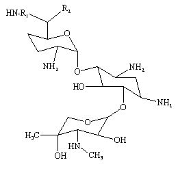
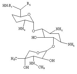
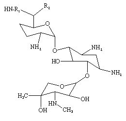
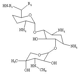
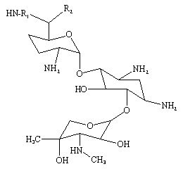
   Estructura química  

Nombre comercial   Nombre comercial     

Los nombres comerciales son orientativos y los excipientes de la formulación pueden ser distintos dependiendo del país y del laboratorio fabricante.

Azupel Marruecos
Cidomycin Egipto, Gran Bretaña, Túnez
Dabroson Grecia
Epigent Egipto
Garalone Portugal
Garamicina Brasil, Colombia, Ecuador, México
Garamycin Croacia, Dinamarca, Egipto, Emiratos Árabes Unidos, Grecia, India, Noruega, Países Bajos, Polonia, Suiza
Genmisin Turquía
Gensif Turquía
Gensumycin Finlandia, Noruega, Suecia
Genta-Gobens España
Gentalline Marruecos
Gentamen Marruecos
Genticin Emiratos Árabes Unidos, Gran Bretaña, Irlanda
Gentreks Turquía
Hexamycin Dinamarca
Plurisemina Argentina
Refobacin Alemania, Austria, Colombia, Egipto
Rupegen Argentina
Estabilidad en mezcla   Inyectables   Estabilidad en mezcla : Gentamicin sulfate     
Envase Solvente Concentración Molécula Temperatura Conservación Duración de la estabilidad Bibliografía
Vidrio Cloruro de sodio 0,9% 0,75 mg/ml
Inyectables   Gentamicin sulfate   
Inyectables   Granisetron hydrochloride 0,5 mg/ml
20°C-23°C
4 Hora
Luz 57
Nivel de evidencia A+
Vidrio Cloruro de sodio 0,9% 1 mg/ml
Inyectables   Gentamicin sulfate   
Inyectables   Cefpirome sulfate 50 mg/ml
23°C
8 Hora
Luz 280
Nivel de evidencia B+
Vidrio Cloruro de sodio 0,9% 0,8 mg/ml
Inyectables   Gentamicin sulfate   
Inyectables   Cefazolin sodium 10 mg/ml
Inyectables   Clindamycin phosphate 9 mg/ml
25°C
12 Hora
Luz 695
Joker
Vidrio Glucosa 5% 1 mg/ml
Inyectables   Gentamicin sulfate   
Inyectables   Cefpirome sulfate 50 mg/ml
23°C
8 Hora
Luz 280
Nivel de evidencia B+
Vidrio Glucosa 5% 0,32 mg/ml
Inyectables   Gentamicin sulfate   
Inyectables   Dopamine hydrochloride 0,8 mg/ml
23°C-25°C
24 Hora
Luz 738
Joker
Vidrio Glucosa 5% 0,8 mg/ml
Inyectables   Gentamicin sulfate   
Inyectables   Cefazolin sodium 10 mg/ml
Inyectables   Clindamycin phosphate 9 mg/ml
25°C
1 Hora
Luz 695
Joker
Vidrio Glucosa 5% 3,2 mg/ml
Inyectables   Gentamicin sulfate   
Inyectables   Filgrastim 40 µg/ml
25°C
4 Hora
No precisada 104
Nivel de evidencia B
Vidrio Glucosa 5% 5.26 mg/ml
Inyectables   Gentamicin sulfate   
Inyectables   Palonosetron hydrochloride 26.7 µg/ml
25°C
4 Hora
No precisada 2228
Nivel de evidencia A+
Vidrio Ringer lactato 1 mg/ml
Inyectables   Gentamicin sulfate   
Inyectables   Cefpirome sulfate 50 mg/ml
23°C
8 Hora
Luz 280
Nivel de evidencia B+
Vidrio Cloruro de sodio 0,45% 1 mg/ml
Inyectables   Gentamicin sulfate   
Inyectables   Cefpirome sulfate 50 mg/ml
23°C
8 Hora
Luz 280
Nivel de evidencia B+
Vidrio Ninguno 0,8 mg/ml
Inyectables   Gentamicin sulfate   
Inyectables   Ofloxacin 2 mg/ml
25°C
48 Hora
No precisada 889
Nivel de evidencia D
Cloruro de polivinilo Cloruro de sodio 0,9% 1,2 mg/ml
Inyectables   Gentamicin sulfate   
Inyectables   Clindamycin phosphate 9 mg/ml
-20°C
28 Día
A cubierto de la luz 565
Nivel de evidencia D
Cloruro de polivinilo Cloruro de sodio 0,9% 1 mg/ml
Inyectables   Gentamicin sulfate   
Inyectables   Ciprofloxacin lactate 1,5 mg/ml
25°C
48 Hora
Luz 434
Cloruro de polivinilo Cloruro de sodio 0,9% 0,2 & 0,8 mg/ml
Inyectables   Gentamicin sulfate   
Inyectables   Aztreonam 10 & 20 mg/ml
25°C
8 Hora
No precisada 19
Nivel de evidencia D
Cloruro de polivinilo Cloruro de sodio 0,9% 0,2 & 0,8 mg/ml
Inyectables   Gentamicin sulfate   
Inyectables   Aztreonam 10 & 20 mg/ml
4°C
24 Hora
A cubierto de la luz 19
Nivel de evidencia D
Cloruro de polivinilo Cloruro de sodio 0,9% 1 mg/ml
Inyectables   Gentamicin sulfate   
Inyectables   Ciprofloxacin lactate 1,5 mg/ml
4°C
48 Hora
A cubierto de la luz 434
Cloruro de polivinilo Glucosa 5% 1,2 mg/ml
Inyectables   Gentamicin sulfate   
Inyectables   Clindamycin phosphate 9 mg/ml
-20°C
28 Día
A cubierto de la luz 565
Nivel de evidencia D
Cloruro de polivinilo Glucosa 5% 5 mg/ml
Inyectables   Gentamicin sulfate   
Inyectables   Clindamycin phosphate 6 mg/ml
25°C
24 Hora
Luz 423
Nivel de evidencia D
Cloruro de polivinilo Glucosa 5% 1 mg/ml
Inyectables   Gentamicin sulfate   
Inyectables   Ciprofloxacin lactate 1,5 mg/ml
25°C
48 Hora
Luz 434
Cloruro de polivinilo Glucosa 5% 0,2 & 0,8 mg/ml
Inyectables   Gentamicin sulfate   
Inyectables   Aztreonam 10 & 20 mg/ml
25°C
8 Hora
No precisada 19
Nivel de evidencia D
Cloruro de polivinilo Glucosa 5% 0,2 & 0,8 mg/ml
Inyectables   Gentamicin sulfate   
Inyectables   Aztreonam 10 & 20 mg/ml
4°C
24 Hora
A cubierto de la luz 19
Nivel de evidencia D
Cloruro de polivinilo Glucosa 5% 1 mg/ml
Inyectables   Gentamicin sulfate   
Inyectables   Ciprofloxacin lactate 1,5 mg/ml
4°C
48 Hora
A cubierto de la luz 434
Cloruro de polivinilo Extraneal® (Baxter) 0,02 mg/ml
Inyectables   Gentamicin sulfate   
Inyectables   Cefazolin sodium 0,5 mg/ml
25°C
4 Día
A cubierto de la luz 3888
Nivel de evidencia D
Cloruro de polivinilo Extraneal® (Baxter) 0,02 mg/ml
Inyectables   Gentamicin sulfate   
Inyectables   Vancomycin hydrochloride 1 mg/ml
25°C
14 Día
A cubierto de la luz 3888
Nivel de evidencia D
Cloruro de polivinilo Extraneal® (Baxter) 0,02 mg/ml
Inyectables   Gentamicin sulfate   
Inyectables   Vancomycin hydrochloride 1 mg/ml
37°C
4 Día
A cubierto de la luz 3888
Nivel de evidencia D
Cloruro de polivinilo Extraneal® (Baxter) 0,02 mg/ml
Inyectables   Gentamicin sulfate   
Inyectables   Cefazolin sodium 0,5 mg/ml
37°C
24 Hora
A cubierto de la luz 3888
Nivel de evidencia D
Cloruro de polivinilo Extraneal® (Baxter) 0,02 mg/ml
Inyectables   Gentamicin sulfate   
Inyectables   Cefazolin sodium 0,5 mg/ml
4°C
14 Día
A cubierto de la luz 3888
Nivel de evidencia D
Polietileno Agua para preparación inyectable 2,5 mg/ml
Inyectables   Gentamicin sulfate   
Inyectables   Trisodium citrate 40 mg/ml
25°C
112 Día
A cubierto de la luz 3141
Nivel de evidencia B
Polipropileno Cloruro de sodio 0,9% 0,1 mg/ml
Inyectables   Gentamicin sulfate   
Inyectables   Heparin sodium 5000 UI/ml
4°C
28 Día
No precisada 3956
análisis biológico
Poliolefina Ninguno 0,75 mg/ml
Inyectables   Gentamicin sulfate   
Inyectables   Linezolid 1,80 mg/ml
23°C
5 Día
A cubierto de la luz 2353
Nivel de evidencia B+
Poliolefina Ninguno 0,75 mg/ml
Inyectables   Gentamicin sulfate   
Inyectables   Linezolid 1,80 mg/ml
4°C
7 Día
A cubierto de la luz 2353
Nivel de evidencia B+
jeringa polipropileno Cloruro de sodio 0,9% 30 mg/ml
Inyectables   Gentamicin sulfate   
Inyectables   Clindamycin phosphate 90 mg/ml
22°C-23°C
48 Hora
Luz 639
Nivel de evidencia D
No precisado Agua para preparación inyectable 2,5 mg/ml
Inyectables   Gentamicin sulfate   
Inyectables   Sodium citrate 40 mg/ml
37°C
96 Hora
No precisada 3952
Nivel de evidencia A
No precisado Cloruro de sodio 0,9% 1,5 mg/ml
Inyectables   Gentamicin sulfate   
Inyectables   Daptomycin 19,2 mg/ml
22°C-28°C
2 Hora
No precisada 1937
Nivel de evidencia C+

  Mentions Légales