Последно актуализиране :
27/04/2026
Антибиотик   Gentamicin sulfate  
Инжекция/Инжекционен
Капки за очи
Стабилност на разтвори Стабилност на смеси Фактори, повлияващи стабилността Съвместимост Път на въвеждане Библиография Pdf
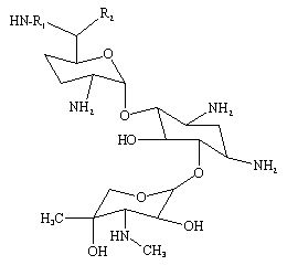
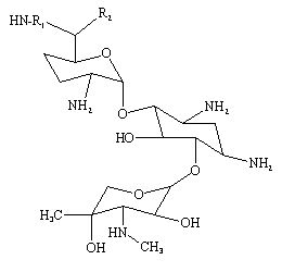
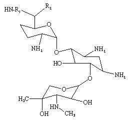
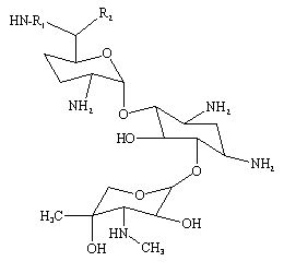
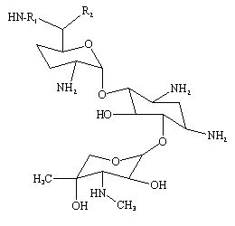
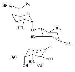
   Химична структура  

Търговско наименование   Търговско наименование     

Търговските имена са примерни и съставът на помощните вещества може да бъде различен в зависимост от държавата и лабораториите

Azupel Перу
Cidomycin Великобритания, Египет, Тунис
Dabroson Гърция
Epigent Египет
Garalone Португалия
Garamicina Бразилия, Еквадор, Колумбия, Мексико
Garamycin Гърция, Дания, Египет, Индия, Норвегия, Обединени арабски емирства, Полша, Холандия, Хърватия, Швейцария
Genmisin Турция
Gensif Турция
Gensumycin Норвегия, Финландия, Швеция
Genta-Gobens Испания
Gentalline Мароко
Gentamen Мароко
Genticin Великобритания, Ирландия, Обединени арабски емирства
Gentreks Турция
Hexamycin Дания
Plurisemina Аржентина
Refobacin Австрия, Германия, Египет, Колумбия
Rupegen Аржентина
Стабилност на смеси   Инжекция/Инжекционен   Стабилност на смеси : Gentamicin sulfate     
Контейнер Разтворител Концентрация Състав / молекула Температура Съхранение Продължителност на стабилността Библиография
Стъкло Sodium chloride 0,9% 0,75 mg/ml
Инжекция/Инжекционен   Gentamicin sulfate   
Инжекция/Инжекционен   Granisetron hydrochloride 0,5 mg/ml
20°C-23°C
4 Час
Светлина 57
Степен на доказаност A+
Стъкло Sodium chloride 0,9% 1 mg/ml
Инжекция/Инжекционен   Gentamicin sulfate   
Инжекция/Инжекционен   Cefpirome sulfate 50 mg/ml
23°C
8 Час
Светлина 280
Степен на доказаност B+
Стъкло Sodium chloride 0,9% 0,8 mg/ml
Инжекция/Инжекционен   Gentamicin sulfate   
Инжекция/Инжекционен   Cefazolin sodium 10 mg/ml
Инжекция/Инжекционен   Clindamycin phosphate 9 mg/ml
25°C
12 Час
Светлина 695
Жокер
Стъкло Glucose 5% 1 mg/ml
Инжекция/Инжекционен   Gentamicin sulfate   
Инжекция/Инжекционен   Cefpirome sulfate 50 mg/ml
23°C
8 Час
Светлина 280
Степен на доказаност B+
Стъкло Glucose 5% 0,32 mg/ml
Инжекция/Инжекционен   Gentamicin sulfate   
Инжекция/Инжекционен   Dopamine hydrochloride 0,8 mg/ml
23°C-25°C
24 Час
Светлина 738
Жокер
Стъкло Glucose 5% 0,8 mg/ml
Инжекция/Инжекционен   Gentamicin sulfate   
Инжекция/Инжекционен   Cefazolin sodium 10 mg/ml
Инжекция/Инжекционен   Clindamycin phosphate 9 mg/ml
25°C
1 Час
Светлина 695
Жокер
Стъкло Glucose 5% 3,2 mg/ml
Инжекция/Инжекционен   Gentamicin sulfate   
Инжекция/Инжекционен   Filgrastim 40 µg/ml
25°C
4 Час
Не е уточнено 104
Степен на доказаност B
Стъкло Glucose 5% 5.26 mg/ml
Инжекция/Инжекционен   Gentamicin sulfate   
Инжекция/Инжекционен   Palonosetron hydrochloride 26.7 µg/ml
25°C
4 Час
Не е уточнено 2228
Степен на доказаност A+
Стъкло Ринтер лактат 1 mg/ml
Инжекция/Инжекционен   Gentamicin sulfate   
Инжекция/Инжекционен   Cefpirome sulfate 50 mg/ml
23°C
8 Час
Светлина 280
Степен на доказаност B+
Стъкло Sodium chloride 0,45% 1 mg/ml
Инжекция/Инжекционен   Gentamicin sulfate   
Инжекция/Инжекционен   Cefpirome sulfate 50 mg/ml
23°C
8 Час
Светлина 280
Степен на доказаност B+
Стъкло Няма 0,8 mg/ml
Инжекция/Инжекционен   Gentamicin sulfate   
Инжекция/Инжекционен   Ofloxacin 2 mg/ml
25°C
48 Час
Не е уточнено 889
Степен на доказаност D
Поливинил хлорид Sodium chloride 0,9% 1,2 mg/ml
Инжекция/Инжекционен   Gentamicin sulfate   
Инжекция/Инжекционен   Clindamycin phosphate 9 mg/ml
-20°C
28 Ден
Защита от светлина 565
Степен на доказаност D
Поливинил хлорид Sodium chloride 0,9% 1 mg/ml
Инжекция/Инжекционен   Gentamicin sulfate   
Инжекция/Инжекционен   Ciprofloxacin lactate 1,5 mg/ml
25°C
48 Час
Светлина 434
Поливинил хлорид Sodium chloride 0,9% 0,2 & 0,8 mg/ml
Инжекция/Инжекционен   Gentamicin sulfate   
Инжекция/Инжекционен   Aztreonam 10 & 20 mg/ml
25°C
8 Час
Не е уточнено 19
Степен на доказаност D
Поливинил хлорид Sodium chloride 0,9% 0,2 & 0,8 mg/ml
Инжекция/Инжекционен   Gentamicin sulfate   
Инжекция/Инжекционен   Aztreonam 10 & 20 mg/ml
4°C
24 Час
Защита от светлина 19
Степен на доказаност D
Поливинил хлорид Sodium chloride 0,9% 1 mg/ml
Инжекция/Инжекционен   Gentamicin sulfate   
Инжекция/Инжекционен   Ciprofloxacin lactate 1,5 mg/ml
4°C
48 Час
Защита от светлина 434
Поливинил хлорид Glucose 5% 1,2 mg/ml
Инжекция/Инжекционен   Gentamicin sulfate   
Инжекция/Инжекционен   Clindamycin phosphate 9 mg/ml
-20°C
28 Ден
Защита от светлина 565
Степен на доказаност D
Поливинил хлорид Glucose 5% 5 mg/ml
Инжекция/Инжекционен   Gentamicin sulfate   
Инжекция/Инжекционен   Clindamycin phosphate 6 mg/ml
25°C
24 Час
Светлина 423
Степен на доказаност D
Поливинил хлорид Glucose 5% 1 mg/ml
Инжекция/Инжекционен   Gentamicin sulfate   
Инжекция/Инжекционен   Ciprofloxacin lactate 1,5 mg/ml
25°C
48 Час
Светлина 434
Поливинил хлорид Glucose 5% 0,2 & 0,8 mg/ml
Инжекция/Инжекционен   Gentamicin sulfate   
Инжекция/Инжекционен   Aztreonam 10 & 20 mg/ml
25°C
8 Час
Не е уточнено 19
Степен на доказаност D
Поливинил хлорид Glucose 5% 0,2 & 0,8 mg/ml
Инжекция/Инжекционен   Gentamicin sulfate   
Инжекция/Инжекционен   Aztreonam 10 & 20 mg/ml
4°C
24 Час
Защита от светлина 19
Степен на доказаност D
Поливинил хлорид Glucose 5% 1 mg/ml
Инжекция/Инжекционен   Gentamicin sulfate   
Инжекция/Инжекционен   Ciprofloxacin lactate 1,5 mg/ml
4°C
48 Час
Защита от светлина 434
Поливинил хлорид Extraneal® (Baxter) 0,02 mg/ml
Инжекция/Инжекционен   Gentamicin sulfate   
Инжекция/Инжекционен   Cefazolin sodium 0,5 mg/ml
25°C
4 Ден
Защита от светлина 3888
Степен на доказаност D
Поливинил хлорид Extraneal® (Baxter) 0,02 mg/ml
Инжекция/Инжекционен   Gentamicin sulfate   
Инжекция/Инжекционен   Vancomycin hydrochloride 1 mg/ml
25°C
14 Ден
Защита от светлина 3888
Степен на доказаност D
Поливинил хлорид Extraneal® (Baxter) 0,02 mg/ml
Инжекция/Инжекционен   Gentamicin sulfate   
Инжекция/Инжекционен   Vancomycin hydrochloride 1 mg/ml
37°C
4 Ден
Защита от светлина 3888
Степен на доказаност D
Поливинил хлорид Extraneal® (Baxter) 0,02 mg/ml
Инжекция/Инжекционен   Gentamicin sulfate   
Инжекция/Инжекционен   Cefazolin sodium 0,5 mg/ml
37°C
24 Час
Защита от светлина 3888
Степен на доказаност D
Поливинил хлорид Extraneal® (Baxter) 0,02 mg/ml
Инжекция/Инжекционен   Gentamicin sulfate   
Инжекция/Инжекционен   Cefazolin sodium 0,5 mg/ml
4°C
14 Ден
Защита от светлина 3888
Степен на доказаност D
Полиетилен Вода за инжекции 2,5 mg/ml
Инжекция/Инжекционен   Gentamicin sulfate   
Инжекция/Инжекционен   Trisodium citrate 40 mg/ml
25°C
112 Ден
Защита от светлина 3141
Степен на доказаност B
Полипропилен Sodium chloride 0,9% 0,1 mg/ml
Инжекция/Инжекционен   Gentamicin sulfate   
Инжекция/Инжекционен   Heparin sodium 5000 UI/ml
4°C
28 Ден
Не е уточнено 3956
Биологичен анализ
Полиолефин Няма 0,75 mg/ml
Инжекция/Инжекционен   Gentamicin sulfate   
Инжекция/Инжекционен   Linezolid 1,80 mg/ml
23°C
5 Ден
Защита от светлина 2353
Степен на доказаност B+
Полиолефин Няма 0,75 mg/ml
Инжекция/Инжекционен   Gentamicin sulfate   
Инжекция/Инжекционен   Linezolid 1,80 mg/ml
4°C
7 Ден
Защита от светлина 2353
Степен на доказаност B+
шприц полипропилен Sodium chloride 0,9% 30 mg/ml
Инжекция/Инжекционен   Gentamicin sulfate   
Инжекция/Инжекционен   Clindamycin phosphate 90 mg/ml
22°C-23°C
48 Час
Светлина 639
Степен на доказаност D
Не е уточнено Вода за инжекции 2,5 mg/ml
Инжекция/Инжекционен   Gentamicin sulfate   
Инжекция/Инжекционен   Sodium citrate 40 mg/ml
37°C
96 Час
Не е уточнено 3952
Степен на доказаност A
Не е уточнено Sodium chloride 0,9% 1,5 mg/ml
Инжекция/Инжекционен   Gentamicin sulfate   
Инжекция/Инжекционен   Daptomycin 19,2 mg/ml
22°C-28°C
2 Час
Не е уточнено 1937
Степен на доказаност C+

  Mentions Légales