Viimeisin päivitys :
27/04/2026
Antibiootit   Gentamicin sulfate  
Injektioneste
Silmätipat
Stabilius liuoksessa Stabilius seoksissa Tekijät, jotka vaikuttavat stabiliuteen Yhteensopivuus Antotapa Viitteet pdf
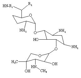
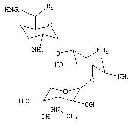
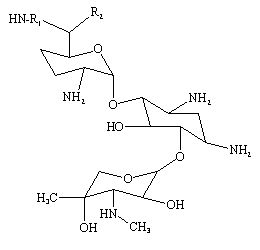
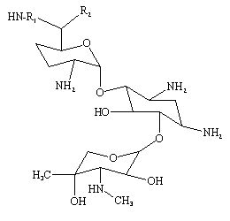
   Kemiallinen rakenne  

Kauppanimi   Kauppanimi     

Trade names are indicative and excipients composition can be different depending on the country and manufacturers

Azupel Marokko
Cidomycin Egypti, Iso-Britannia, Tunisia
Dabroson Kreikka
Epigent Egypti
Garalone Portugali
Garamicina Brasilia, Ecuador, Kolumbia, Meksiko
Garamycin Egypti, Hollanti, Intia, Kreikka, Kroatia, Norja, Puola, Sveitsi, Tanska, Yhdistyneet arabiemiirikunnat
Genmisin Turkki
Gensif Turkki
Gensumycin Norja, Ruotsi, Suomi
Genta-Gobens Espanja
Gentalline Marokko
Gentamen Marokko
Genticin Irlanti, Iso-Britannia, Yhdistyneet arabiemiirikunnat
Gentreks Turkki
Hexamycin Tanska
Plurisemina Argentiina
Refobacin Egypti, Itävalta, Kolumbia, Saksa
Rupegen Argentiina
Stabilius seoksissa   Injektioneste   Stabilius seoksissa : Gentamicin sulfate     
Astia Liuotin Konsentraatio Yhdiste Lämpötila Säilytys Vakauden kesto Viitteet
Lasi Natriumkloridi 0,9% 0,75 mg/ml
Injektioneste   Gentamicin sulfate   
Injektioneste   Granisetron hydrochloride 0,5 mg/ml
20°C-23°C
4 tunti
Valo 57
Näytön laajuus A+
Lasi Natriumkloridi 0,9% 1 mg/ml
Injektioneste   Gentamicin sulfate   
Injektioneste   Cefpirome sulfate 50 mg/ml
23°C
8 tunti
Valo 280
Näytön laajuus B+
Lasi Natriumkloridi 0,9% 0,8 mg/ml
Injektioneste   Gentamicin sulfate   
Injektioneste   Cefazolin sodium 10 mg/ml
Injektioneste   Clindamycin phosphate 9 mg/ml
25°C
12 tunti
Valo 695
Jokeri
Lasi Glukoosi 5% 1 mg/ml
Injektioneste   Gentamicin sulfate   
Injektioneste   Cefpirome sulfate 50 mg/ml
23°C
8 tunti
Valo 280
Näytön laajuus B+
Lasi Glukoosi 5% 0,32 mg/ml
Injektioneste   Gentamicin sulfate   
Injektioneste   Dopamine hydrochloride 0,8 mg/ml
23°C-25°C
24 tunti
Valo 738
Jokeri
Lasi Glukoosi 5% 0,8 mg/ml
Injektioneste   Gentamicin sulfate   
Injektioneste   Cefazolin sodium 10 mg/ml
Injektioneste   Clindamycin phosphate 9 mg/ml
25°C
1 tunti
Valo 695
Jokeri
Lasi Glukoosi 5% 3,2 mg/ml
Injektioneste   Gentamicin sulfate   
Injektioneste   Filgrastim 40 µg/ml
25°C
4 tunti
Ei määritetty 104
Näytön laajuus B
Lasi Glukoosi 5% 5.26 mg/ml
Injektioneste   Gentamicin sulfate   
Injektioneste   Palonosetron hydrochloride 26.7 µg/ml
25°C
4 tunti
Ei määritetty 2228
Näytön laajuus A+
Lasi Ringerlaktaattiliuos 1 mg/ml
Injektioneste   Gentamicin sulfate   
Injektioneste   Cefpirome sulfate 50 mg/ml
23°C
8 tunti
Valo 280
Näytön laajuus B+
Lasi Natriumkloridi 0,45% 1 mg/ml
Injektioneste   Gentamicin sulfate   
Injektioneste   Cefpirome sulfate 50 mg/ml
23°C
8 tunti
Valo 280
Näytön laajuus B+
Lasi Ei mikään 0,8 mg/ml
Injektioneste   Gentamicin sulfate   
Injektioneste   Ofloxacin 2 mg/ml
25°C
48 tunti
Ei määritetty 889
Näytön laajuus D
Polyvinyylikloridi Natriumkloridi 0,9% 1,2 mg/ml
Injektioneste   Gentamicin sulfate   
Injektioneste   Clindamycin phosphate 9 mg/ml
-20°C
28 Päivä
Suojattava valolta 565
Näytön laajuus D
Polyvinyylikloridi Natriumkloridi 0,9% 1 mg/ml
Injektioneste   Gentamicin sulfate   
Injektioneste   Ciprofloxacin lactate 1,5 mg/ml
25°C
48 tunti
Valo 434
Polyvinyylikloridi Natriumkloridi 0,9% 0,2 & 0,8 mg/ml
Injektioneste   Gentamicin sulfate   
Injektioneste   Aztreonam 10 & 20 mg/ml
25°C
8 tunti
Ei määritetty 19
Näytön laajuus D
Polyvinyylikloridi Natriumkloridi 0,9% 0,2 & 0,8 mg/ml
Injektioneste   Gentamicin sulfate   
Injektioneste   Aztreonam 10 & 20 mg/ml
4°C
24 tunti
Suojattava valolta 19
Näytön laajuus D
Polyvinyylikloridi Natriumkloridi 0,9% 1 mg/ml
Injektioneste   Gentamicin sulfate   
Injektioneste   Ciprofloxacin lactate 1,5 mg/ml
4°C
48 tunti
Suojattava valolta 434
Polyvinyylikloridi Glukoosi 5% 1,2 mg/ml
Injektioneste   Gentamicin sulfate   
Injektioneste   Clindamycin phosphate 9 mg/ml
-20°C
28 Päivä
Suojattava valolta 565
Näytön laajuus D
Polyvinyylikloridi Glukoosi 5% 5 mg/ml
Injektioneste   Gentamicin sulfate   
Injektioneste   Clindamycin phosphate 6 mg/ml
25°C
24 tunti
Valo 423
Näytön laajuus D
Polyvinyylikloridi Glukoosi 5% 1 mg/ml
Injektioneste   Gentamicin sulfate   
Injektioneste   Ciprofloxacin lactate 1,5 mg/ml
25°C
48 tunti
Valo 434
Polyvinyylikloridi Glukoosi 5% 0,2 & 0,8 mg/ml
Injektioneste   Gentamicin sulfate   
Injektioneste   Aztreonam 10 & 20 mg/ml
25°C
8 tunti
Ei määritetty 19
Näytön laajuus D
Polyvinyylikloridi Glukoosi 5% 0,2 & 0,8 mg/ml
Injektioneste   Gentamicin sulfate   
Injektioneste   Aztreonam 10 & 20 mg/ml
4°C
24 tunti
Suojattava valolta 19
Näytön laajuus D
Polyvinyylikloridi Glukoosi 5% 1 mg/ml
Injektioneste   Gentamicin sulfate   
Injektioneste   Ciprofloxacin lactate 1,5 mg/ml
4°C
48 tunti
Suojattava valolta 434
Polyvinyylikloridi Extraneal® (Baxter) 0,02 mg/ml
Injektioneste   Gentamicin sulfate   
Injektioneste   Cefazolin sodium 0,5 mg/ml
25°C
4 Päivä
Suojattava valolta 3888
Näytön laajuus D
Polyvinyylikloridi Extraneal® (Baxter) 0,02 mg/ml
Injektioneste   Gentamicin sulfate   
Injektioneste   Vancomycin hydrochloride 1 mg/ml
25°C
14 Päivä
Suojattava valolta 3888
Näytön laajuus D
Polyvinyylikloridi Extraneal® (Baxter) 0,02 mg/ml
Injektioneste   Gentamicin sulfate   
Injektioneste   Vancomycin hydrochloride 1 mg/ml
37°C
4 Päivä
Suojattava valolta 3888
Näytön laajuus D
Polyvinyylikloridi Extraneal® (Baxter) 0,02 mg/ml
Injektioneste   Gentamicin sulfate   
Injektioneste   Cefazolin sodium 0,5 mg/ml
37°C
24 tunti
Suojattava valolta 3888
Näytön laajuus D
Polyvinyylikloridi Extraneal® (Baxter) 0,02 mg/ml
Injektioneste   Gentamicin sulfate   
Injektioneste   Cefazolin sodium 0,5 mg/ml
4°C
14 Päivä
Suojattava valolta 3888
Näytön laajuus D
Polyetyleeni Injektionesteisiin käytettävä vesi 2,5 mg/ml
Injektioneste   Gentamicin sulfate   
Injektioneste   Trisodium citrate 40 mg/ml
25°C
112 Päivä
Suojattava valolta 3141
Näytön laajuus B
Polypropyleeni Natriumkloridi 0,9% 0,1 mg/ml
Injektioneste   Gentamicin sulfate   
Injektioneste   Heparin sodium 5000 UI/ml
4°C
28 Päivä
Ei määritetty 3956
Biologinen menetelmä
Polyolefiini Ei mikään 0,75 mg/ml
Injektioneste   Gentamicin sulfate   
Injektioneste   Linezolid 1,80 mg/ml
23°C
5 Päivä
Suojattava valolta 2353
Näytön laajuus B+
Polyolefiini Ei mikään 0,75 mg/ml
Injektioneste   Gentamicin sulfate   
Injektioneste   Linezolid 1,80 mg/ml
4°C
7 Päivä
Suojattava valolta 2353
Näytön laajuus B+
Ruisku  polypropeeni Natriumkloridi 0,9% 30 mg/ml
Injektioneste   Gentamicin sulfate   
Injektioneste   Clindamycin phosphate 90 mg/ml
22°C-23°C
48 tunti
Valo 639
Näytön laajuus D
Ei määritetty Injektionesteisiin käytettävä vesi 2,5 mg/ml
Injektioneste   Gentamicin sulfate   
Injektioneste   Sodium citrate 40 mg/ml
37°C
96 tunti
Ei määritetty 3952
Näytön laajuus A
Ei määritetty Natriumkloridi 0,9% 1,5 mg/ml
Injektioneste   Gentamicin sulfate   
Injektioneste   Daptomycin 19,2 mg/ml
22°C-28°C
2 tunti
Ei määritetty 1937
Näytön laajuus C+

  Mentions Légales