Son güncelleme :
27/04/2026
Antibiyotik   Gentamicin sulfate  
Enjeksiyon
Göz damlası
Çözeltilerin stabilitesi Karışımlardaki stabilitesi Stabiliteyi etkileyen faktörler Uyumluluk Uygulama yöntemi Kaynaklar pdf
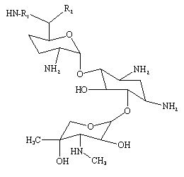
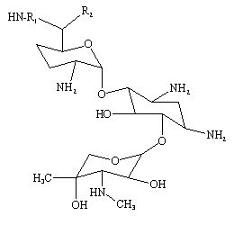
   Kimyasal yapı   

Ticari isim   Ticari isim     

Trade names are indicative and excipients composition can be different depending on the country and manufacturers

Azupel Peru
Cidomycin Büyük Britanya, Mısır, Tunus
Dabroson Yunanistan
Epigent Mısır
Garalone Portekiz
Garamicina Brezilya, Ekvador, Kolombiya, Meksika
Garamycin Birleşik Arap Emirlikleri, Danimarka, Hindistan, Hırvatistan, Hollanda, İsviçre, Mısır, Norveç, Polonya, Yunanistan
Genmisin Türkiye
Gensif Türkiye
Gensumycin Finlandiya, İsveç, Norveç
Genta-Gobens İspanya
Gentalline Fas
Gentamen Fas
Genticin Birleşik Arap Emirlikleri, Büyük Britanya, İrlanda
Gentreks Türkiye
Hexamycin Danimarka
Plurisemina Arjantin
Refobacin Almanya, Avusturya, Kolombiya, Mısır
Rupegen Arjantin
Karışımlardaki stabilitesi   Enjeksiyon    Karışımlardaki stabilitesi : Gentamicin sulfate     
Saklama kabı Çözücü Konsantrasyon Bileşik Isı Saklama    Stabilite süresi Kaynaklar
Cam Sodyum klorür % 0,9 0,75 mg/ml
Enjeksiyon   Gentamicin sulfate   
Enjeksiyon   Granisetron hydrochloride 0,5 mg/ml
20°C-23°C
4 Zaman
I_ık 57
Kanıt düzeyi A+
Cam Sodyum klorür % 0,9 1 mg/ml
Enjeksiyon   Gentamicin sulfate   
Enjeksiyon   Cefpirome sulfate 50 mg/ml
23°C
8 Zaman
I_ık 280
Kanıt düzeyi B+
Cam Sodyum klorür % 0,9 0,8 mg/ml
Enjeksiyon   Gentamicin sulfate   
Enjeksiyon   Cefazolin sodium 10 mg/ml
Enjeksiyon   Clindamycin phosphate 9 mg/ml
25°C
12 Zaman
I_ık 695
Joker
Cam Glukoz %5 1 mg/ml
Enjeksiyon   Gentamicin sulfate   
Enjeksiyon   Cefpirome sulfate 50 mg/ml
23°C
8 Zaman
I_ık 280
Kanıt düzeyi B+
Cam Glukoz %5 0,32 mg/ml
Enjeksiyon   Gentamicin sulfate   
Enjeksiyon   Dopamine hydrochloride 0,8 mg/ml
23°C-25°C
24 Zaman
I_ık 738
Joker
Cam Glukoz %5 0,8 mg/ml
Enjeksiyon   Gentamicin sulfate   
Enjeksiyon   Cefazolin sodium 10 mg/ml
Enjeksiyon   Clindamycin phosphate 9 mg/ml
25°C
1 Zaman
I_ık 695
Joker
Cam Glukoz %5 3,2 mg/ml
Enjeksiyon   Gentamicin sulfate   
Enjeksiyon   Filgrastim 40 µg/ml
25°C
4 Zaman
Belirtilmemiş 104
Kanıt düzeyi B
Cam Glukoz %5 5.26 mg/ml
Enjeksiyon   Gentamicin sulfate   
Enjeksiyon   Palonosetron hydrochloride 26.7 µg/ml
25°C
4 Zaman
Belirtilmemiş 2228
Kanıt düzeyi A+
Cam Laktatlı ringer 1 mg/ml
Enjeksiyon   Gentamicin sulfate   
Enjeksiyon   Cefpirome sulfate 50 mg/ml
23°C
8 Zaman
I_ık 280
Kanıt düzeyi B+
Cam Sodyum klorür % 0,45 1 mg/ml
Enjeksiyon   Gentamicin sulfate   
Enjeksiyon   Cefpirome sulfate 50 mg/ml
23°C
8 Zaman
I_ık 280
Kanıt düzeyi B+
Cam Yok 0,8 mg/ml
Enjeksiyon   Gentamicin sulfate   
Enjeksiyon   Ofloxacin 2 mg/ml
25°C
48 Zaman
Belirtilmemiş 889
Kanıt düzeyi D
Polivinil klorür Sodyum klorür % 0,9 1,2 mg/ml
Enjeksiyon   Gentamicin sulfate   
Enjeksiyon   Clindamycin phosphate 9 mg/ml
-20°C
28 Gün
Işıktan koruyunuz 565
Kanıt düzeyi D
Polivinil klorür Sodyum klorür % 0,9 1 mg/ml
Enjeksiyon   Gentamicin sulfate   
Enjeksiyon   Ciprofloxacin lactate 1,5 mg/ml
25°C
48 Zaman
I_ık 434
Polivinil klorür Sodyum klorür % 0,9 0,2 & 0,8 mg/ml
Enjeksiyon   Gentamicin sulfate   
Enjeksiyon   Aztreonam 10 & 20 mg/ml
25°C
8 Zaman
Belirtilmemiş 19
Kanıt düzeyi D
Polivinil klorür Sodyum klorür % 0,9 0,2 & 0,8 mg/ml
Enjeksiyon   Gentamicin sulfate   
Enjeksiyon   Aztreonam 10 & 20 mg/ml
4°C
24 Zaman
Işıktan koruyunuz 19
Kanıt düzeyi D
Polivinil klorür Sodyum klorür % 0,9 1 mg/ml
Enjeksiyon   Gentamicin sulfate   
Enjeksiyon   Ciprofloxacin lactate 1,5 mg/ml
4°C
48 Zaman
Işıktan koruyunuz 434
Polivinil klorür Glukoz %5 1,2 mg/ml
Enjeksiyon   Gentamicin sulfate   
Enjeksiyon   Clindamycin phosphate 9 mg/ml
-20°C
28 Gün
Işıktan koruyunuz 565
Kanıt düzeyi D
Polivinil klorür Glukoz %5 5 mg/ml
Enjeksiyon   Gentamicin sulfate   
Enjeksiyon   Clindamycin phosphate 6 mg/ml
25°C
24 Zaman
I_ık 423
Kanıt düzeyi D
Polivinil klorür Glukoz %5 1 mg/ml
Enjeksiyon   Gentamicin sulfate   
Enjeksiyon   Ciprofloxacin lactate 1,5 mg/ml
25°C
48 Zaman
I_ık 434
Polivinil klorür Glukoz %5 0,2 & 0,8 mg/ml
Enjeksiyon   Gentamicin sulfate   
Enjeksiyon   Aztreonam 10 & 20 mg/ml
25°C
8 Zaman
Belirtilmemiş 19
Kanıt düzeyi D
Polivinil klorür Glukoz %5 0,2 & 0,8 mg/ml
Enjeksiyon   Gentamicin sulfate   
Enjeksiyon   Aztreonam 10 & 20 mg/ml
4°C
24 Zaman
Işıktan koruyunuz 19
Kanıt düzeyi D
Polivinil klorür Glukoz %5 1 mg/ml
Enjeksiyon   Gentamicin sulfate   
Enjeksiyon   Ciprofloxacin lactate 1,5 mg/ml
4°C
48 Zaman
Işıktan koruyunuz 434
Polivinil klorür Extraneal® (Baxter) 0,02 mg/ml
Enjeksiyon   Gentamicin sulfate   
Enjeksiyon   Cefazolin sodium 0,5 mg/ml
25°C
4 Gün
Işıktan koruyunuz 3888
Kanıt düzeyi D
Polivinil klorür Extraneal® (Baxter) 0,02 mg/ml
Enjeksiyon   Gentamicin sulfate   
Enjeksiyon   Vancomycin hydrochloride 1 mg/ml
25°C
14 Gün
Işıktan koruyunuz 3888
Kanıt düzeyi D
Polivinil klorür Extraneal® (Baxter) 0,02 mg/ml
Enjeksiyon   Gentamicin sulfate   
Enjeksiyon   Vancomycin hydrochloride 1 mg/ml
37°C
4 Gün
Işıktan koruyunuz 3888
Kanıt düzeyi D
Polivinil klorür Extraneal® (Baxter) 0,02 mg/ml
Enjeksiyon   Gentamicin sulfate   
Enjeksiyon   Cefazolin sodium 0,5 mg/ml
37°C
24 Zaman
Işıktan koruyunuz 3888
Kanıt düzeyi D
Polivinil klorür Extraneal® (Baxter) 0,02 mg/ml
Enjeksiyon   Gentamicin sulfate   
Enjeksiyon   Cefazolin sodium 0,5 mg/ml
4°C
14 Gün
Işıktan koruyunuz 3888
Kanıt düzeyi D
Polietilen Enjeksiyonluk su 2,5 mg/ml
Enjeksiyon   Gentamicin sulfate   
Enjeksiyon   Trisodium citrate 40 mg/ml
25°C
112 Gün
Işıktan koruyunuz 3141
Kanıt düzeyi B
Polipropilen Sodyum klorür % 0,9 0,1 mg/ml
Enjeksiyon   Gentamicin sulfate   
Enjeksiyon   Heparin sodium 5000 UI/ml
4°C
28 Gün
Belirtilmemiş 3956
biyolojik analiz
Poliolefin Yok 0,75 mg/ml
Enjeksiyon   Gentamicin sulfate   
Enjeksiyon   Linezolid 1,80 mg/ml
23°C
5 Gün
Işıktan koruyunuz 2353
Kanıt düzeyi B+
Poliolefin Yok 0,75 mg/ml
Enjeksiyon   Gentamicin sulfate   
Enjeksiyon   Linezolid 1,80 mg/ml
4°C
7 Gün
Işıktan koruyunuz 2353
Kanıt düzeyi B+
Şırınga polipropilen Sodyum klorür % 0,9 30 mg/ml
Enjeksiyon   Gentamicin sulfate   
Enjeksiyon   Clindamycin phosphate 90 mg/ml
22°C-23°C
48 Zaman
I_ık 639
Kanıt düzeyi D
Belirtilmemiş Enjeksiyonluk su 2,5 mg/ml
Enjeksiyon   Gentamicin sulfate   
Enjeksiyon   Sodium citrate 40 mg/ml
37°C
96 Zaman
Belirtilmemiş 3952
Kanıt düzeyi A
Belirtilmemiş Sodyum klorür % 0,9 1,5 mg/ml
Enjeksiyon   Gentamicin sulfate   
Enjeksiyon   Daptomycin 19,2 mg/ml
22°C-28°C
2 Zaman
Belirtilmemiş 1937
Kanıt düzeyi C+

  Mentions Légales