zadnja posodobitev :
27/04/2026
Antibiotik   Gentamicin sulfate  
Brizgalka
Kapljice za oči
Stabilnost raztopine Stabilnost mešanice Faktorji, ki vplivajo na stabilnost Kompatibilnost način aplikacije Viri pdf
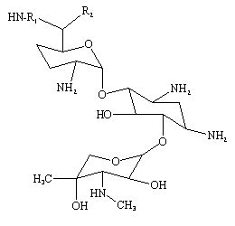
   Kemična formula  

Lastniško ime   Lastniško ime     

Sestava pomožnih snovi je med paralelami lahko različna

Azupel Peru
Cidomycin Egipt, Tunizija, Velika Britanija
Dabroson Grčija
Epigent Egipt
Garalone Portugalska
Garamicina Brazilija, Ekvador, Kolumbija, Mehika
Garamycin Danska, Egipt, Grčija, Hrvaška, Indija, Nizozemska, Norveška, Poljska, Švica, Združeni arabski emirati
Genmisin Turčija
Gensif Turčija
Gensumycin Finska, Norveška, Švedska
Genta-Gobens Španija
Gentalline Maroko
Gentamen Maroko
Genticin Irska, Velika Britanija, Združeni arabski emirati
Gentreks Turčija
Hexamycin Danska
Plurisemina Argentina
Refobacin Avstrija, Egipt, Kolumbija, Nemčija
Rupegen Argentina
Stabilnost mešanice   Brizgalka   Stabilnost mešanice : Gentamicin sulfate     
Vsebnik Topilo Koncentracija Sestava Temperatura Shranjevanje Trajanje stabilnosti Viri
Steklo Natrijev klorid 0,9% 0,75 mg/ml
Brizgalka   Gentamicin sulfate   
Brizgalka   Granisetron hydrochloride 0,5 mg/ml
20°C-23°C
4 čas
Svetloba 57
 Stopnja dokaza A+
Steklo Natrijev klorid 0,9% 1 mg/ml
Brizgalka   Gentamicin sulfate   
Brizgalka   Cefpirome sulfate 50 mg/ml
23°C
8 čas
Svetloba 280
 Stopnja dokaza B+
Steklo Natrijev klorid 0,9% 0,8 mg/ml
Brizgalka   Gentamicin sulfate   
Brizgalka   Cefazolin sodium 10 mg/ml
Brizgalka   Clindamycin phosphate 9 mg/ml
25°C
12 čas
Svetloba 695
Joker
Steklo Glukoza 5% 1 mg/ml
Brizgalka   Gentamicin sulfate   
Brizgalka   Cefpirome sulfate 50 mg/ml
23°C
8 čas
Svetloba 280
 Stopnja dokaza B+
Steklo Glukoza 5% 0,32 mg/ml
Brizgalka   Gentamicin sulfate   
Brizgalka   Dopamine hydrochloride 0,8 mg/ml
23°C-25°C
24 čas
Svetloba 738
Joker
Steklo Glukoza 5% 0,8 mg/ml
Brizgalka   Gentamicin sulfate   
Brizgalka   Cefazolin sodium 10 mg/ml
Brizgalka   Clindamycin phosphate 9 mg/ml
25°C
1 čas
Svetloba 695
Joker
Steklo Glukoza 5% 3,2 mg/ml
Brizgalka   Gentamicin sulfate   
Brizgalka   Filgrastim 40 µg/ml
25°C
4 čas
Nedoločeno 104
 Stopnja dokaza B
Steklo Glukoza 5% 5.26 mg/ml
Brizgalka   Gentamicin sulfate   
Brizgalka   Palonosetron hydrochloride 26.7 µg/ml
25°C
4 čas
Nedoločeno 2228
 Stopnja dokaza A+
Steklo Ringerjev laktat 1 mg/ml
Brizgalka   Gentamicin sulfate   
Brizgalka   Cefpirome sulfate 50 mg/ml
23°C
8 čas
Svetloba 280
 Stopnja dokaza B+
Steklo Natrijev klorid 0,45% 1 mg/ml
Brizgalka   Gentamicin sulfate   
Brizgalka   Cefpirome sulfate 50 mg/ml
23°C
8 čas
Svetloba 280
 Stopnja dokaza B+
Steklo Nobeden 0,8 mg/ml
Brizgalka   Gentamicin sulfate   
Brizgalka   Ofloxacin 2 mg/ml
25°C
48 čas
Nedoločeno 889
 Stopnja dokaza D
Polivinil klorid Natrijev klorid 0,9% 1,2 mg/ml
Brizgalka   Gentamicin sulfate   
Brizgalka   Clindamycin phosphate 9 mg/ml
-20°C
28 Dan
Zaščiteno pred svetlobo 565
 Stopnja dokaza D
Polivinil klorid Natrijev klorid 0,9% 1 mg/ml
Brizgalka   Gentamicin sulfate   
Brizgalka   Ciprofloxacin lactate 1,5 mg/ml
25°C
48 čas
Svetloba 434
Polivinil klorid Natrijev klorid 0,9% 0,2 & 0,8 mg/ml
Brizgalka   Gentamicin sulfate   
Brizgalka   Aztreonam 10 & 20 mg/ml
25°C
8 čas
Nedoločeno 19
 Stopnja dokaza D
Polivinil klorid Natrijev klorid 0,9% 0,2 & 0,8 mg/ml
Brizgalka   Gentamicin sulfate   
Brizgalka   Aztreonam 10 & 20 mg/ml
4°C
24 čas
Zaščiteno pred svetlobo 19
 Stopnja dokaza D
Polivinil klorid Natrijev klorid 0,9% 1 mg/ml
Brizgalka   Gentamicin sulfate   
Brizgalka   Ciprofloxacin lactate 1,5 mg/ml
4°C
48 čas
Zaščiteno pred svetlobo 434
Polivinil klorid Glukoza 5% 1,2 mg/ml
Brizgalka   Gentamicin sulfate   
Brizgalka   Clindamycin phosphate 9 mg/ml
-20°C
28 Dan
Zaščiteno pred svetlobo 565
 Stopnja dokaza D
Polivinil klorid Glukoza 5% 5 mg/ml
Brizgalka   Gentamicin sulfate   
Brizgalka   Clindamycin phosphate 6 mg/ml
25°C
24 čas
Svetloba 423
 Stopnja dokaza D
Polivinil klorid Glukoza 5% 1 mg/ml
Brizgalka   Gentamicin sulfate   
Brizgalka   Ciprofloxacin lactate 1,5 mg/ml
25°C
48 čas
Svetloba 434
Polivinil klorid Glukoza 5% 0,2 & 0,8 mg/ml
Brizgalka   Gentamicin sulfate   
Brizgalka   Aztreonam 10 & 20 mg/ml
25°C
8 čas
Nedoločeno 19
 Stopnja dokaza D
Polivinil klorid Glukoza 5% 0,2 & 0,8 mg/ml
Brizgalka   Gentamicin sulfate   
Brizgalka   Aztreonam 10 & 20 mg/ml
4°C
24 čas
Zaščiteno pred svetlobo 19
 Stopnja dokaza D
Polivinil klorid Glukoza 5% 1 mg/ml
Brizgalka   Gentamicin sulfate   
Brizgalka   Ciprofloxacin lactate 1,5 mg/ml
4°C
48 čas
Zaščiteno pred svetlobo 434
Polivinil klorid Extraneal® (Baxter) 0,02 mg/ml
Brizgalka   Gentamicin sulfate   
Brizgalka   Cefazolin sodium 0,5 mg/ml
25°C
4 Dan
Zaščiteno pred svetlobo 3888
 Stopnja dokaza D
Polivinil klorid Extraneal® (Baxter) 0,02 mg/ml
Brizgalka   Gentamicin sulfate   
Brizgalka   Vancomycin hydrochloride 1 mg/ml
25°C
14 Dan
Zaščiteno pred svetlobo 3888
 Stopnja dokaza D
Polivinil klorid Extraneal® (Baxter) 0,02 mg/ml
Brizgalka   Gentamicin sulfate   
Brizgalka   Vancomycin hydrochloride 1 mg/ml
37°C
4 Dan
Zaščiteno pred svetlobo 3888
 Stopnja dokaza D
Polivinil klorid Extraneal® (Baxter) 0,02 mg/ml
Brizgalka   Gentamicin sulfate   
Brizgalka   Cefazolin sodium 0,5 mg/ml
37°C
24 čas
Zaščiteno pred svetlobo 3888
 Stopnja dokaza D
Polivinil klorid Extraneal® (Baxter) 0,02 mg/ml
Brizgalka   Gentamicin sulfate   
Brizgalka   Cefazolin sodium 0,5 mg/ml
4°C
14 Dan
Zaščiteno pred svetlobo 3888
 Stopnja dokaza D
Polietilen Voda za injekcije 2,5 mg/ml
Brizgalka   Gentamicin sulfate   
Brizgalka   Trisodium citrate 40 mg/ml
25°C
112 Dan
Zaščiteno pred svetlobo 3141
 Stopnja dokaza B
Polipropilen Natrijev klorid 0,9% 0,1 mg/ml
Brizgalka   Gentamicin sulfate   
Brizgalka   Heparin sodium 5000 UI/ml
4°C
28 Dan
Nedoločeno 3956
biološka analiza
Poliolefin Nobeden 0,75 mg/ml
Brizgalka   Gentamicin sulfate   
Brizgalka   Linezolid 1,80 mg/ml
23°C
5 Dan
Zaščiteno pred svetlobo 2353
 Stopnja dokaza B+
Poliolefin Nobeden 0,75 mg/ml
Brizgalka   Gentamicin sulfate   
Brizgalka   Linezolid 1,80 mg/ml
4°C
7 Dan
Zaščiteno pred svetlobo 2353
 Stopnja dokaza B+
Brizgalka polipropilen Natrijev klorid 0,9% 30 mg/ml
Brizgalka   Gentamicin sulfate   
Brizgalka   Clindamycin phosphate 90 mg/ml
22°C-23°C
48 čas
Svetloba 639
 Stopnja dokaza D
Nedoločeno Voda za injekcije 2,5 mg/ml
Brizgalka   Gentamicin sulfate   
Brizgalka   Sodium citrate 40 mg/ml
37°C
96 čas
Nedoločeno 3952
 Stopnja dokaza A
Nedoločeno Natrijev klorid 0,9% 1,5 mg/ml
Brizgalka   Gentamicin sulfate   
Brizgalka   Daptomycin 19,2 mg/ml
22°C-28°C
2 čas
Nedoločeno 1937
 Stopnja dokaza C+

  Mentions Légales