Senaste uppdateringen :
27/04/2026
Antibiotikum   Gentamicin sulfate  
injektion
ögondroppar
Lösningars stabilitet Stabilitet i blandningar Faktorer som påverkar stabiliteten Kompatibilitet Administreringssätt Hänvisningar pdf
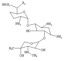
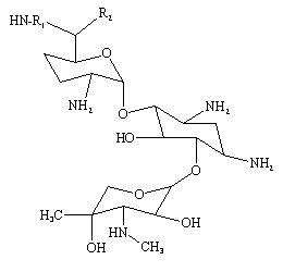
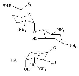
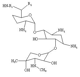
   Molekylstruktur  

Varunamn   Varunamn     

Angivna handelsnamn på läkemedel är enbart vägledande då formulering inklusive hjälpämnen kan variera mellan länder och tillverkare

Azupel Peru
Cidomycin Egypten, Storbritannien, Tunisien
Dabroson Grekland
Epigent Egypten
Garalone Portugal
Garamicina Brasilien, Colombia, Ecuador, Mexiko
Garamycin Danmark, Egypten, Förenade Arabemiraten, Grekland, Indien, Kroatien, Nederländerna, Norge, Polen, Schweiz
Genmisin Turkiet
Gensif Turkiet
Gensumycin Finland, Norge, Sverige
Genta-Gobens Spanien
Gentalline Marocko
Gentamen Marocko
Genticin Förenade Arabemiraten, Irland, Storbritannien
Gentreks Turkiet
Hexamycin Danmark
Plurisemina Argentina
Refobacin Colombia, Egypten, Österrike, Tyskland
Rupegen Argentina
Stabilitet i blandningar   injektion   Stabilitet i blandningar : Gentamicin sulfate     
Behållare Lösningsmedel Koncentration Substans Temperatur Förvaring Stabilitets varaktighet Hänvisningar
Glas Natriumklorid 0,9 % 0,75 mg/ml
injektion   Gentamicin sulfate   
injektion   Granisetron hydrochloride 0,5 mg/ml
20°C-23°C
4 Timma
Ljus 57
Evidensnivå A+
Glas Natriumklorid 0,9 % 1 mg/ml
injektion   Gentamicin sulfate   
injektion   Cefpirome sulfate 50 mg/ml
23°C
8 Timma
Ljus 280
Evidensnivå B+
Glas Natriumklorid 0,9 % 0,8 mg/ml
injektion   Gentamicin sulfate   
injektion   Cefazolin sodium 10 mg/ml
injektion   Clindamycin phosphate 9 mg/ml
25°C
12 Timma
Ljus 695
Joker
Glas Glukos 5 % 1 mg/ml
injektion   Gentamicin sulfate   
injektion   Cefpirome sulfate 50 mg/ml
23°C
8 Timma
Ljus 280
Evidensnivå B+
Glas Glukos 5 % 0,32 mg/ml
injektion   Gentamicin sulfate   
injektion   Dopamine hydrochloride 0,8 mg/ml
23°C-25°C
24 Timma
Ljus 738
Joker
Glas Glukos 5 % 0,8 mg/ml
injektion   Gentamicin sulfate   
injektion   Cefazolin sodium 10 mg/ml
injektion   Clindamycin phosphate 9 mg/ml
25°C
1 Timma
Ljus 695
Joker
Glas Glukos 5 % 3,2 mg/ml
injektion   Gentamicin sulfate   
injektion   Filgrastim 40 µg/ml
25°C
4 Timma
Ej angiven 104
Evidensnivå B
Glas Glukos 5 % 5.26 mg/ml
injektion   Gentamicin sulfate   
injektion   Palonosetron hydrochloride 26.7 µg/ml
25°C
4 Timma
Ej angiven 2228
Evidensnivå A+
Glas Ringer-laktatlösning 1 mg/ml
injektion   Gentamicin sulfate   
injektion   Cefpirome sulfate 50 mg/ml
23°C
8 Timma
Ljus 280
Evidensnivå B+
Glas Natriumklorid 0,45 % 1 mg/ml
injektion   Gentamicin sulfate   
injektion   Cefpirome sulfate 50 mg/ml
23°C
8 Timma
Ljus 280
Evidensnivå B+
Glas Ingen 0,8 mg/ml
injektion   Gentamicin sulfate   
injektion   Ofloxacin 2 mg/ml
25°C
48 Timma
Ej angiven 889
Evidensnivå D
Polyvinylklorid Natriumklorid 0,9 % 1,2 mg/ml
injektion   Gentamicin sulfate   
injektion   Clindamycin phosphate 9 mg/ml
-20°C
28 Dag
Skyddas från ljus 565
Evidensnivå D
Polyvinylklorid Natriumklorid 0,9 % 1 mg/ml
injektion   Gentamicin sulfate   
injektion   Ciprofloxacin lactate 1,5 mg/ml
25°C
48 Timma
Ljus 434
Polyvinylklorid Natriumklorid 0,9 % 0,2 & 0,8 mg/ml
injektion   Gentamicin sulfate   
injektion   Aztreonam 10 & 20 mg/ml
25°C
8 Timma
Ej angiven 19
Evidensnivå D
Polyvinylklorid Natriumklorid 0,9 % 0,2 & 0,8 mg/ml
injektion   Gentamicin sulfate   
injektion   Aztreonam 10 & 20 mg/ml
4°C
24 Timma
Skyddas från ljus 19
Evidensnivå D
Polyvinylklorid Natriumklorid 0,9 % 1 mg/ml
injektion   Gentamicin sulfate   
injektion   Ciprofloxacin lactate 1,5 mg/ml
4°C
48 Timma
Skyddas från ljus 434
Polyvinylklorid Glukos 5 % 1,2 mg/ml
injektion   Gentamicin sulfate   
injektion   Clindamycin phosphate 9 mg/ml
-20°C
28 Dag
Skyddas från ljus 565
Evidensnivå D
Polyvinylklorid Glukos 5 % 5 mg/ml
injektion   Gentamicin sulfate   
injektion   Clindamycin phosphate 6 mg/ml
25°C
24 Timma
Ljus 423
Evidensnivå D
Polyvinylklorid Glukos 5 % 1 mg/ml
injektion   Gentamicin sulfate   
injektion   Ciprofloxacin lactate 1,5 mg/ml
25°C
48 Timma
Ljus 434
Polyvinylklorid Glukos 5 % 0,2 & 0,8 mg/ml
injektion   Gentamicin sulfate   
injektion   Aztreonam 10 & 20 mg/ml
25°C
8 Timma
Ej angiven 19
Evidensnivå D
Polyvinylklorid Glukos 5 % 0,2 & 0,8 mg/ml
injektion   Gentamicin sulfate   
injektion   Aztreonam 10 & 20 mg/ml
4°C
24 Timma
Skyddas från ljus 19
Evidensnivå D
Polyvinylklorid Glukos 5 % 1 mg/ml
injektion   Gentamicin sulfate   
injektion   Ciprofloxacin lactate 1,5 mg/ml
4°C
48 Timma
Skyddas från ljus 434
Polyvinylklorid Extraneal® (Baxter) 0,02 mg/ml
injektion   Gentamicin sulfate   
injektion   Cefazolin sodium 0,5 mg/ml
25°C
4 Dag
Skyddas från ljus 3888
Evidensnivå D
Polyvinylklorid Extraneal® (Baxter) 0,02 mg/ml
injektion   Gentamicin sulfate   
injektion   Vancomycin hydrochloride 1 mg/ml
25°C
14 Dag
Skyddas från ljus 3888
Evidensnivå D
Polyvinylklorid Extraneal® (Baxter) 0,02 mg/ml
injektion   Gentamicin sulfate   
injektion   Vancomycin hydrochloride 1 mg/ml
37°C
4 Dag
Skyddas från ljus 3888
Evidensnivå D
Polyvinylklorid Extraneal® (Baxter) 0,02 mg/ml
injektion   Gentamicin sulfate   
injektion   Cefazolin sodium 0,5 mg/ml
37°C
24 Timma
Skyddas från ljus 3888
Evidensnivå D
Polyvinylklorid Extraneal® (Baxter) 0,02 mg/ml
injektion   Gentamicin sulfate   
injektion   Cefazolin sodium 0,5 mg/ml
4°C
14 Dag
Skyddas från ljus 3888
Evidensnivå D
Polyetylen Vatten för injektion 2,5 mg/ml
injektion   Gentamicin sulfate   
injektion   Trisodium citrate 40 mg/ml
25°C
112 Dag
Skyddas från ljus 3141
Evidensnivå B
Polypropylen Natriumklorid 0,9 % 0,1 mg/ml
injektion   Gentamicin sulfate   
injektion   Heparin sodium 5000 UI/ml
4°C
28 Dag
Ej angiven 3956
Biologisk analys
Polyolefin Ingen 0,75 mg/ml
injektion   Gentamicin sulfate   
injektion   Linezolid 1,80 mg/ml
23°C
5 Dag
Skyddas från ljus 2353
Evidensnivå B+
Polyolefin Ingen 0,75 mg/ml
injektion   Gentamicin sulfate   
injektion   Linezolid 1,80 mg/ml
4°C
7 Dag
Skyddas från ljus 2353
Evidensnivå B+
Spruta polypropen Natriumklorid 0,9 % 30 mg/ml
injektion   Gentamicin sulfate   
injektion   Clindamycin phosphate 90 mg/ml
22°C-23°C
48 Timma
Ljus 639
Evidensnivå D
Ej angiven Vatten för injektion 2,5 mg/ml
injektion   Gentamicin sulfate   
injektion   Sodium citrate 40 mg/ml
37°C
96 Timma
Ej angiven 3952
Evidensnivå A
Ej angiven Natriumklorid 0,9 % 1,5 mg/ml
injektion   Gentamicin sulfate   
injektion   Daptomycin 19,2 mg/ml
22°C-28°C
2 Timma
Ej angiven 1937
Evidensnivå C+

  Mentions Légales