Ultimo aggiornamento :
27/04/2026
Antibiotico   Gentamicin sulfate  
Iniezione
Collirio
Stabilità in soluzione Stabilità in miscela Fattori che influenzano la stabilità Compatibilità metodo di iniezione Bibliografia pdf
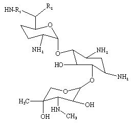
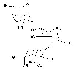
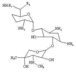
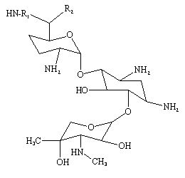
   Struttura chimica  

Nome commerciale   Nome commerciale     

Trade names are indicative and excipients composition can be different depending on the country and manufacturers

Azupel Perù
Cidomycin Egitto, Gran Bretagna, Tunisia
Dabroson Grecia
Epigent Egitto
Garalone Portogallo
Garamicina Brasile, Colombia, Ecuador, Messico
Garamycin Croazia, Danimarca, Egitto, Emirati Arabi Uniti, Grecia, India, Norvegia, Paesi Bassi, Polonia, Svizzera
Genmisin Turchia
Gensif Turchia
Gensumycin Finlandia, Norvegia, Svezia
Genta-Gobens Spagna
Gentalline Marocco
Gentamen Marocco
Genticin Emirati Arabi Uniti, Gran Bretagna, Irlanda
Gentreks Turchia
Hexamycin Danimarca
Plurisemina Argentina
Refobacin Austria, Colombia, Egitto, Germania
Rupegen Argentina
Stabilità in miscela   Iniezione   Stabilità in miscela : Gentamicin sulfate     
contenitore Solvente Concentrazione Molecola Temperatura Conservazione Durata della stabilità Bibliografia
Vetro Cloruro di sodio 0,9% 0,75 mg/ml
Iniezione   Gentamicin sulfate   
Iniezione   Granisetron hydrochloride 0,5 mg/ml
20°C-23°C
4 Ora
Luce 57
Livello di evidenza A+
Vetro Cloruro di sodio 0,9% 1 mg/ml
Iniezione   Gentamicin sulfate   
Iniezione   Cefpirome sulfate 50 mg/ml
23°C
8 Ora
Luce 280
Livello di evidenza B+
Vetro Cloruro di sodio 0,9% 0,8 mg/ml
Iniezione   Gentamicin sulfate   
Iniezione   Cefazolin sodium 10 mg/ml
Iniezione   Clindamycin phosphate 9 mg/ml
25°C
12 Ora
Luce 695
Joker
Vetro Glucosio 5% 1 mg/ml
Iniezione   Gentamicin sulfate   
Iniezione   Cefpirome sulfate 50 mg/ml
23°C
8 Ora
Luce 280
Livello di evidenza B+
Vetro Glucosio 5% 0,32 mg/ml
Iniezione   Gentamicin sulfate   
Iniezione   Dopamine hydrochloride 0,8 mg/ml
23°C-25°C
24 Ora
Luce 738
Joker
Vetro Glucosio 5% 0,8 mg/ml
Iniezione   Gentamicin sulfate   
Iniezione   Cefazolin sodium 10 mg/ml
Iniezione   Clindamycin phosphate 9 mg/ml
25°C
1 Ora
Luce 695
Joker
Vetro Glucosio 5% 3,2 mg/ml
Iniezione   Gentamicin sulfate   
Iniezione   Filgrastim 40 µg/ml
25°C
4 Ora
Non precisata 104
Livello di evidenza B
Vetro Glucosio 5% 5.26 mg/ml
Iniezione   Gentamicin sulfate   
Iniezione   Palonosetron hydrochloride 26.7 µg/ml
25°C
4 Ora
Non precisata 2228
Livello di evidenza A+
Vetro Ringer lattato 1 mg/ml
Iniezione   Gentamicin sulfate   
Iniezione   Cefpirome sulfate 50 mg/ml
23°C
8 Ora
Luce 280
Livello di evidenza B+
Vetro Cloruro di sodio 0,45% 1 mg/ml
Iniezione   Gentamicin sulfate   
Iniezione   Cefpirome sulfate 50 mg/ml
23°C
8 Ora
Luce 280
Livello di evidenza B+
Vetro Nessuno 0,8 mg/ml
Iniezione   Gentamicin sulfate   
Iniezione   Ofloxacin 2 mg/ml
25°C
48 Ora
Non precisata 889
Livello di evidenza D
Cloruro di polivinile Cloruro di sodio 0,9% 1,2 mg/ml
Iniezione   Gentamicin sulfate   
Iniezione   Clindamycin phosphate 9 mg/ml
-20°C
28 Giorno
Al riparo dalla luce 565
Livello di evidenza D
Cloruro di polivinile Cloruro di sodio 0,9% 1 mg/ml
Iniezione   Gentamicin sulfate   
Iniezione   Ciprofloxacin lactate 1,5 mg/ml
25°C
48 Ora
Luce 434
Cloruro di polivinile Cloruro di sodio 0,9% 0,2 & 0,8 mg/ml
Iniezione   Gentamicin sulfate   
Iniezione   Aztreonam 10 & 20 mg/ml
25°C
8 Ora
Non precisata 19
Livello di evidenza D
Cloruro di polivinile Cloruro di sodio 0,9% 0,2 & 0,8 mg/ml
Iniezione   Gentamicin sulfate   
Iniezione   Aztreonam 10 & 20 mg/ml
4°C
24 Ora
Al riparo dalla luce 19
Livello di evidenza D
Cloruro di polivinile Cloruro di sodio 0,9% 1 mg/ml
Iniezione   Gentamicin sulfate   
Iniezione   Ciprofloxacin lactate 1,5 mg/ml
4°C
48 Ora
Al riparo dalla luce 434
Cloruro di polivinile Glucosio 5% 1,2 mg/ml
Iniezione   Gentamicin sulfate   
Iniezione   Clindamycin phosphate 9 mg/ml
-20°C
28 Giorno
Al riparo dalla luce 565
Livello di evidenza D
Cloruro di polivinile Glucosio 5% 5 mg/ml
Iniezione   Gentamicin sulfate   
Iniezione   Clindamycin phosphate 6 mg/ml
25°C
24 Ora
Luce 423
Livello di evidenza D
Cloruro di polivinile Glucosio 5% 1 mg/ml
Iniezione   Gentamicin sulfate   
Iniezione   Ciprofloxacin lactate 1,5 mg/ml
25°C
48 Ora
Luce 434
Cloruro di polivinile Glucosio 5% 0,2 & 0,8 mg/ml
Iniezione   Gentamicin sulfate   
Iniezione   Aztreonam 10 & 20 mg/ml
25°C
8 Ora
Non precisata 19
Livello di evidenza D
Cloruro di polivinile Glucosio 5% 0,2 & 0,8 mg/ml
Iniezione   Gentamicin sulfate   
Iniezione   Aztreonam 10 & 20 mg/ml
4°C
24 Ora
Al riparo dalla luce 19
Livello di evidenza D
Cloruro di polivinile Glucosio 5% 1 mg/ml
Iniezione   Gentamicin sulfate   
Iniezione   Ciprofloxacin lactate 1,5 mg/ml
4°C
48 Ora
Al riparo dalla luce 434
Cloruro di polivinile Extraneal® (Baxter) 0,02 mg/ml
Iniezione   Gentamicin sulfate   
Iniezione   Cefazolin sodium 0,5 mg/ml
25°C
4 Giorno
Al riparo dalla luce 3888
Livello di evidenza D
Cloruro di polivinile Extraneal® (Baxter) 0,02 mg/ml
Iniezione   Gentamicin sulfate   
Iniezione   Vancomycin hydrochloride 1 mg/ml
25°C
14 Giorno
Al riparo dalla luce 3888
Livello di evidenza D
Cloruro di polivinile Extraneal® (Baxter) 0,02 mg/ml
Iniezione   Gentamicin sulfate   
Iniezione   Vancomycin hydrochloride 1 mg/ml
37°C
4 Giorno
Al riparo dalla luce 3888
Livello di evidenza D
Cloruro di polivinile Extraneal® (Baxter) 0,02 mg/ml
Iniezione   Gentamicin sulfate   
Iniezione   Cefazolin sodium 0,5 mg/ml
37°C
24 Ora
Al riparo dalla luce 3888
Livello di evidenza D
Cloruro di polivinile Extraneal® (Baxter) 0,02 mg/ml
Iniezione   Gentamicin sulfate   
Iniezione   Cefazolin sodium 0,5 mg/ml
4°C
14 Giorno
Al riparo dalla luce 3888
Livello di evidenza D
Polietilene Acqua per preparato iniettabile 2,5 mg/ml
Iniezione   Gentamicin sulfate   
Iniezione   Trisodium citrate 40 mg/ml
25°C
112 Giorno
Al riparo dalla luce 3141
Livello di evidenza B
Polipropilene Cloruro di sodio 0,9% 0,1 mg/ml
Iniezione   Gentamicin sulfate   
Iniezione   Heparin sodium 5000 UI/ml
4°C
28 Giorno
Non precisata 3956
Analisi biologica
Poliolefina Nessuno 0,75 mg/ml
Iniezione   Gentamicin sulfate   
Iniezione   Linezolid 1,80 mg/ml
23°C
5 Giorno
Al riparo dalla luce 2353
Livello di evidenza B+
Poliolefina Nessuno 0,75 mg/ml
Iniezione   Gentamicin sulfate   
Iniezione   Linezolid 1,80 mg/ml
4°C
7 Giorno
Al riparo dalla luce 2353
Livello di evidenza B+
siringa polipropilene Cloruro di sodio 0,9% 30 mg/ml
Iniezione   Gentamicin sulfate   
Iniezione   Clindamycin phosphate 90 mg/ml
22°C-23°C
48 Ora
Luce 639
Livello di evidenza D
Non precisato Acqua per preparato iniettabile 2,5 mg/ml
Iniezione   Gentamicin sulfate   
Iniezione   Sodium citrate 40 mg/ml
37°C
96 Ora
Non precisata 3952
Livello di evidenza A
Non precisato Cloruro di sodio 0,9% 1,5 mg/ml
Iniezione   Gentamicin sulfate   
Iniezione   Daptomycin 19,2 mg/ml
22°C-28°C
2 Ora
Non precisata 1937
Livello di evidenza C+

  Mentions Légales