viimane versioon :
27/04/2026
antibiootikum   Gentamicin sulfate  
Süsteravim
Silmatilgad
Stabiilsus lahustes Stabiilsust mõjutavad tegurid stabiilsust mõjutavad faktorid Sobimatus Manustamis viis Viited pdf
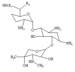
   keemiline struktuur  

Kaubanduslikud nimed erinevates maades   Kaubanduslikud nimed erinevates maades     

Preparaatide nimed on näitlikud ja abianete sisaldus võib erineda sõltuvalt riigist ja laborist

Azupel Maroko
Cidomycin Egiptus, Suurbritannia, Tuneesia
Dabroson Kreeka
Epigent Egiptus
Garalone Portugal
Garamicina Brasiilia, Ecuador, Kolumbia, Mehhiko
Garamycin Araabia Ühendemiraadid, Egiptus, Holland, Horvaatia, India, Kreeka, Norra, Poola, Sveits, Taani
Genmisin Türgi
Gensif Türgi
Gensumycin Norra, Rootsi, Soome
Genta-Gobens Hispaania
Gentalline Maroko
Gentamen Maroko
Genticin Araabia Ühendemiraadid, Iirimaa, Suurbritannia
Gentreks Türgi
Hexamycin Taani
Plurisemina Argentiina
Refobacin Austria, Egiptus, Kolumbia, Saksamaa
Rupegen Argentiina
Stabiilsust mõjutavad tegurid   Süsteravim   Stabiilsust mõjutavad tegurid : Gentamicin sulfate     
konteiner lahusti kontsentratsioon ingredient temperatuur ladustamine Stabiilsuse kestus Viited
klaas naatriumkloriid 0.9% 0,75 mg/ml
Süsteravim   Gentamicin sulfate   
Süsteravim   Granisetron hydrochloride 0,5 mg/ml
20°C-23°C
4 Tund
valgus 57
Tõenduspõhisuse tase A+
klaas naatriumkloriid 0.9% 1 mg/ml
Süsteravim   Gentamicin sulfate   
Süsteravim   Cefpirome sulfate 50 mg/ml
23°C
8 Tund
valgus 280
Tõenduspõhisuse tase B+
klaas naatriumkloriid 0.9% 0,8 mg/ml
Süsteravim   Gentamicin sulfate   
Süsteravim   Cefazolin sodium 10 mg/ml
Süsteravim   Clindamycin phosphate 9 mg/ml
25°C
12 Tund
valgus 695
Jokker
klaas glükoos 5% 1 mg/ml
Süsteravim   Gentamicin sulfate   
Süsteravim   Cefpirome sulfate 50 mg/ml
23°C
8 Tund
valgus 280
Tõenduspõhisuse tase B+
klaas glükoos 5% 0,32 mg/ml
Süsteravim   Gentamicin sulfate   
Süsteravim   Dopamine hydrochloride 0,8 mg/ml
23°C-25°C
24 Tund
valgus 738
Jokker
klaas glükoos 5% 0,8 mg/ml
Süsteravim   Gentamicin sulfate   
Süsteravim   Cefazolin sodium 10 mg/ml
Süsteravim   Clindamycin phosphate 9 mg/ml
25°C
1 Tund
valgus 695
Jokker
klaas glükoos 5% 3,2 mg/ml
Süsteravim   Gentamicin sulfate   
Süsteravim   Filgrastim 40 µg/ml
25°C
4 Tund
pole täpsustatud 104
Tõenduspõhisuse tase B
klaas glükoos 5% 5.26 mg/ml
Süsteravim   Gentamicin sulfate   
Süsteravim   Palonosetron hydrochloride 26.7 µg/ml
25°C
4 Tund
pole täpsustatud 2228
Tõenduspõhisuse tase A+
klaas Ringer laktaat 1 mg/ml
Süsteravim   Gentamicin sulfate   
Süsteravim   Cefpirome sulfate 50 mg/ml
23°C
8 Tund
valgus 280
Tõenduspõhisuse tase B+
klaas naatriumkloriid 0.45% 1 mg/ml
Süsteravim   Gentamicin sulfate   
Süsteravim   Cefpirome sulfate 50 mg/ml
23°C
8 Tund
valgus 280
Tõenduspõhisuse tase B+
klaas mitte ükski 0,8 mg/ml
Süsteravim   Gentamicin sulfate   
Süsteravim   Ofloxacin 2 mg/ml
25°C
48 Tund
pole täpsustatud 889
Tõenduspõhisuse tase D
polüvinüülkloriid naatriumkloriid 0.9% 1,2 mg/ml
Süsteravim   Gentamicin sulfate   
Süsteravim   Clindamycin phosphate 9 mg/ml
-20°C
28 päev
kaitsta valguse eest 565
Tõenduspõhisuse tase D
polüvinüülkloriid naatriumkloriid 0.9% 1 mg/ml
Süsteravim   Gentamicin sulfate   
Süsteravim   Ciprofloxacin lactate 1,5 mg/ml
25°C
48 Tund
valgus 434
polüvinüülkloriid naatriumkloriid 0.9% 0,2 & 0,8 mg/ml
Süsteravim   Gentamicin sulfate   
Süsteravim   Aztreonam 10 & 20 mg/ml
25°C
8 Tund
pole täpsustatud 19
Tõenduspõhisuse tase D
polüvinüülkloriid naatriumkloriid 0.9% 0,2 & 0,8 mg/ml
Süsteravim   Gentamicin sulfate   
Süsteravim   Aztreonam 10 & 20 mg/ml
4°C
24 Tund
kaitsta valguse eest 19
Tõenduspõhisuse tase D
polüvinüülkloriid naatriumkloriid 0.9% 1 mg/ml
Süsteravim   Gentamicin sulfate   
Süsteravim   Ciprofloxacin lactate 1,5 mg/ml
4°C
48 Tund
kaitsta valguse eest 434
polüvinüülkloriid glükoos 5% 1,2 mg/ml
Süsteravim   Gentamicin sulfate   
Süsteravim   Clindamycin phosphate 9 mg/ml
-20°C
28 päev
kaitsta valguse eest 565
Tõenduspõhisuse tase D
polüvinüülkloriid glükoos 5% 5 mg/ml
Süsteravim   Gentamicin sulfate   
Süsteravim   Clindamycin phosphate 6 mg/ml
25°C
24 Tund
valgus 423
Tõenduspõhisuse tase D
polüvinüülkloriid glükoos 5% 1 mg/ml
Süsteravim   Gentamicin sulfate   
Süsteravim   Ciprofloxacin lactate 1,5 mg/ml
25°C
48 Tund
valgus 434
polüvinüülkloriid glükoos 5% 0,2 & 0,8 mg/ml
Süsteravim   Gentamicin sulfate   
Süsteravim   Aztreonam 10 & 20 mg/ml
25°C
8 Tund
pole täpsustatud 19
Tõenduspõhisuse tase D
polüvinüülkloriid glükoos 5% 0,2 & 0,8 mg/ml
Süsteravim   Gentamicin sulfate   
Süsteravim   Aztreonam 10 & 20 mg/ml
4°C
24 Tund
kaitsta valguse eest 19
Tõenduspõhisuse tase D
polüvinüülkloriid glükoos 5% 1 mg/ml
Süsteravim   Gentamicin sulfate   
Süsteravim   Ciprofloxacin lactate 1,5 mg/ml
4°C
48 Tund
kaitsta valguse eest 434
polüvinüülkloriid Extraneal® (Baxter) 0,02 mg/ml
Süsteravim   Gentamicin sulfate   
Süsteravim   Cefazolin sodium 0,5 mg/ml
25°C
4 päev
kaitsta valguse eest 3888
Tõenduspõhisuse tase D
polüvinüülkloriid Extraneal® (Baxter) 0,02 mg/ml
Süsteravim   Gentamicin sulfate   
Süsteravim   Vancomycin hydrochloride 1 mg/ml
25°C
14 päev
kaitsta valguse eest 3888
Tõenduspõhisuse tase D
polüvinüülkloriid Extraneal® (Baxter) 0,02 mg/ml
Süsteravim   Gentamicin sulfate   
Süsteravim   Vancomycin hydrochloride 1 mg/ml
37°C
4 päev
kaitsta valguse eest 3888
Tõenduspõhisuse tase D
polüvinüülkloriid Extraneal® (Baxter) 0,02 mg/ml
Süsteravim   Gentamicin sulfate   
Süsteravim   Cefazolin sodium 0,5 mg/ml
37°C
24 Tund
kaitsta valguse eest 3888
Tõenduspõhisuse tase D
polüvinüülkloriid Extraneal® (Baxter) 0,02 mg/ml
Süsteravim   Gentamicin sulfate   
Süsteravim   Cefazolin sodium 0,5 mg/ml
4°C
14 päev
kaitsta valguse eest 3888
Tõenduspõhisuse tase D
polüetüleen süstevesi 2,5 mg/ml
Süsteravim   Gentamicin sulfate   
Süsteravim   Trisodium citrate 40 mg/ml
25°C
112 päev
kaitsta valguse eest 3141
Tõenduspõhisuse tase B
polüpropüleen naatriumkloriid 0.9% 0,1 mg/ml
Süsteravim   Gentamicin sulfate   
Süsteravim   Heparin sodium 5000 UI/ml
4°C
28 päev
pole täpsustatud 3956
Bioloogiline analüüs
polüolefiin mitte ükski 0,75 mg/ml
Süsteravim   Gentamicin sulfate   
Süsteravim   Linezolid 1,80 mg/ml
23°C
5 päev
kaitsta valguse eest 2353
Tõenduspõhisuse tase B+
polüolefiin mitte ükski 0,75 mg/ml
Süsteravim   Gentamicin sulfate   
Süsteravim   Linezolid 1,80 mg/ml
4°C
7 päev
kaitsta valguse eest 2353
Tõenduspõhisuse tase B+
süstal  polüpropüleenist naatriumkloriid 0.9% 30 mg/ml
Süsteravim   Gentamicin sulfate   
Süsteravim   Clindamycin phosphate 90 mg/ml
22°C-23°C
48 Tund
valgus 639
Tõenduspõhisuse tase D
pole täpsustatud süstevesi 2,5 mg/ml
Süsteravim   Gentamicin sulfate   
Süsteravim   Sodium citrate 40 mg/ml
37°C
96 Tund
pole täpsustatud 3952
Tõenduspõhisuse tase A
pole täpsustatud naatriumkloriid 0.9% 1,5 mg/ml
Süsteravim   Gentamicin sulfate   
Süsteravim   Daptomycin 19,2 mg/ml
22°C-28°C
2 Tund
pole täpsustatud 1937
Tõenduspõhisuse tase C+

  Mentions Légales