Zadnji put ažurirano :
27/04/2026
antibiotik   Gentamicin sulfate  
injekcija
kapi za oko
Stabilizacija rješenja Stabilnost mješavine Stabilizacijski faktor Kompatibilnosti način davanja lijeka Bibliografija pdf
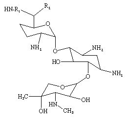
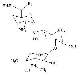
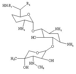
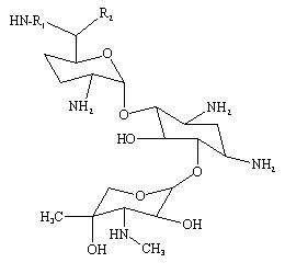
   Kemijska struktura  

Nekomercijalni   Nekomercijalni     

Zaštićeni nazivi su indikativni i sastav ekscipijensa može biti različit ovisno o državi i laboratorijima

Azupel Peru
Cidomycin Egipat, Tunis, Velika Britanija
Dabroson Grčka
Epigent Egipat
Garalone Portugal
Garamicina Brazil, Ekvador, Kolumbija, Meksiko
Garamycin Indija, Danska, Egipat, Grčka, Hrvatska, Nizozemska, Norveška, Poljska, Švicarska, Ujedinjeni Arapski Emirati
Genmisin Turska
Gensif Turska
Gensumycin Finska, Norveška, Švedska
Genta-Gobens Španjolska
Gentalline Maroko
Gentamen Maroko
Genticin Irska, Ujedinjeni Arapski Emirati, Velika Britanija
Gentreks Turska
Hexamycin Danska
Plurisemina Argentina
Refobacin Austrija, Egipat, Kolumbija, Njemačka
Rupegen Argentina
Stabilnost mješavine   injekcija   Stabilnost mješavine : Gentamicin sulfate     
Kontejner sredstvo za rastapanje koncentracija molekula temperatura Konzerviranje Trajanje stabilnosti Bibliografija
čaša natrijumkorid 0,9% 0,75 mg/ml
injekcija   Gentamicin sulfate   
injekcija   Granisetron hydrochloride 0,5 mg/ml
20°C-23°C
4 sat
svjetlost 57
Razina dokaza A+
čaša natrijumkorid 0,9% 1 mg/ml
injekcija   Gentamicin sulfate   
injekcija   Cefpirome sulfate 50 mg/ml
23°C
8 sat
svjetlost 280
Razina dokaza B+
čaša natrijumkorid 0,9% 0,8 mg/ml
injekcija   Gentamicin sulfate   
injekcija   Cefazolin sodium 10 mg/ml
injekcija   Clindamycin phosphate 9 mg/ml
25°C
12 sat
svjetlost 695
OZNAKA
čaša glukoza 5% 1 mg/ml
injekcija   Gentamicin sulfate   
injekcija   Cefpirome sulfate 50 mg/ml
23°C
8 sat
svjetlost 280
Razina dokaza B+
čaša glukoza 5% 0,32 mg/ml
injekcija   Gentamicin sulfate   
injekcija   Dopamine hydrochloride 0,8 mg/ml
23°C-25°C
24 sat
svjetlost 738
OZNAKA
čaša glukoza 5% 0,8 mg/ml
injekcija   Gentamicin sulfate   
injekcija   Cefazolin sodium 10 mg/ml
injekcija   Clindamycin phosphate 9 mg/ml
25°C
1 sat
svjetlost 695
OZNAKA
čaša glukoza 5% 3,2 mg/ml
injekcija   Gentamicin sulfate   
injekcija   Filgrastim 40 µg/ml
25°C
4 sat
nespecifičan 104
Razina dokaza B
čaša glukoza 5% 5.26 mg/ml
injekcija   Gentamicin sulfate   
injekcija   Palonosetron hydrochloride 26.7 µg/ml
25°C
4 sat
nespecifičan 2228
Razina dokaza A+
čaša Ringer laktat 1 mg/ml
injekcija   Gentamicin sulfate   
injekcija   Cefpirome sulfate 50 mg/ml
23°C
8 sat
svjetlost 280
Razina dokaza B+
čaša natrijumklorid 0,45% 1 mg/ml
injekcija   Gentamicin sulfate   
injekcija   Cefpirome sulfate 50 mg/ml
23°C
8 sat
svjetlost 280
Razina dokaza B+
čaša nijedan 0,8 mg/ml
injekcija   Gentamicin sulfate   
injekcija   Ofloxacin 2 mg/ml
25°C
48 sat
nespecifičan 889
Razina dokaza D
polivinilklorid natrijumkorid 0,9% 1,2 mg/ml
injekcija   Gentamicin sulfate   
injekcija   Clindamycin phosphate 9 mg/ml
-20°C
28 dan
Zaštićeno od svjetlosti 565
Razina dokaza D
polivinilklorid natrijumkorid 0,9% 1 mg/ml
injekcija   Gentamicin sulfate   
injekcija   Ciprofloxacin lactate 1,5 mg/ml
25°C
48 sat
svjetlost 434
polivinilklorid natrijumkorid 0,9% 0,2 & 0,8 mg/ml
injekcija   Gentamicin sulfate   
injekcija   Aztreonam 10 & 20 mg/ml
25°C
8 sat
nespecifičan 19
Razina dokaza D
polivinilklorid natrijumkorid 0,9% 0,2 & 0,8 mg/ml
injekcija   Gentamicin sulfate   
injekcija   Aztreonam 10 & 20 mg/ml
4°C
24 sat
Zaštićeno od svjetlosti 19
Razina dokaza D
polivinilklorid natrijumkorid 0,9% 1 mg/ml
injekcija   Gentamicin sulfate   
injekcija   Ciprofloxacin lactate 1,5 mg/ml
4°C
48 sat
Zaštićeno od svjetlosti 434
polivinilklorid glukoza 5% 1,2 mg/ml
injekcija   Gentamicin sulfate   
injekcija   Clindamycin phosphate 9 mg/ml
-20°C
28 dan
Zaštićeno od svjetlosti 565
Razina dokaza D
polivinilklorid glukoza 5% 5 mg/ml
injekcija   Gentamicin sulfate   
injekcija   Clindamycin phosphate 6 mg/ml
25°C
24 sat
svjetlost 423
Razina dokaza D
polivinilklorid glukoza 5% 1 mg/ml
injekcija   Gentamicin sulfate   
injekcija   Ciprofloxacin lactate 1,5 mg/ml
25°C
48 sat
svjetlost 434
polivinilklorid glukoza 5% 0,2 & 0,8 mg/ml
injekcija   Gentamicin sulfate   
injekcija   Aztreonam 10 & 20 mg/ml
25°C
8 sat
nespecifičan 19
Razina dokaza D
polivinilklorid glukoza 5% 0,2 & 0,8 mg/ml
injekcija   Gentamicin sulfate   
injekcija   Aztreonam 10 & 20 mg/ml
4°C
24 sat
Zaštićeno od svjetlosti 19
Razina dokaza D
polivinilklorid glukoza 5% 1 mg/ml
injekcija   Gentamicin sulfate   
injekcija   Ciprofloxacin lactate 1,5 mg/ml
4°C
48 sat
Zaštićeno od svjetlosti 434
polivinilklorid Extraneal® (Baxter) 0,02 mg/ml
injekcija   Gentamicin sulfate   
injekcija   Cefazolin sodium 0,5 mg/ml
25°C
4 dan
Zaštićeno od svjetlosti 3888
Razina dokaza D
polivinilklorid Extraneal® (Baxter) 0,02 mg/ml
injekcija   Gentamicin sulfate   
injekcija   Vancomycin hydrochloride 1 mg/ml
25°C
14 dan
Zaštićeno od svjetlosti 3888
Razina dokaza D
polivinilklorid Extraneal® (Baxter) 0,02 mg/ml
injekcija   Gentamicin sulfate   
injekcija   Vancomycin hydrochloride 1 mg/ml
37°C
4 dan
Zaštićeno od svjetlosti 3888
Razina dokaza D
polivinilklorid Extraneal® (Baxter) 0,02 mg/ml
injekcija   Gentamicin sulfate   
injekcija   Cefazolin sodium 0,5 mg/ml
37°C
24 sat
Zaštićeno od svjetlosti 3888
Razina dokaza D
polivinilklorid Extraneal® (Baxter) 0,02 mg/ml
injekcija   Gentamicin sulfate   
injekcija   Cefazolin sodium 0,5 mg/ml
4°C
14 dan
Zaštićeno od svjetlosti 3888
Razina dokaza D
polietilen čista voda za injektiranje 2,5 mg/ml
injekcija   Gentamicin sulfate   
injekcija   Trisodium citrate 40 mg/ml
25°C
112 dan
Zaštićeno od svjetlosti 3141
Razina dokaza B
polipropilen natrijumkorid 0,9% 0,1 mg/ml
injekcija   Gentamicin sulfate   
injekcija   Heparin sodium 5000 UI/ml
4°C
28 dan
nespecifičan 3956
Biološka metoda
poliolefin nijedan 0,75 mg/ml
injekcija   Gentamicin sulfate   
injekcija   Linezolid 1,80 mg/ml
23°C
5 dan
Zaštićeno od svjetlosti 2353
Razina dokaza B+
poliolefin nijedan 0,75 mg/ml
injekcija   Gentamicin sulfate   
injekcija   Linezolid 1,80 mg/ml
4°C
7 dan
Zaštićeno od svjetlosti 2353
Razina dokaza B+
špric polipropilen natrijumkorid 0,9% 30 mg/ml
injekcija   Gentamicin sulfate   
injekcija   Clindamycin phosphate 90 mg/ml
22°C-23°C
48 sat
svjetlost 639
Razina dokaza D
nespecifičan čista voda za injektiranje 2,5 mg/ml
injekcija   Gentamicin sulfate   
injekcija   Sodium citrate 40 mg/ml
37°C
96 sat
nespecifičan 3952
Razina dokaza A
nespecifičan natrijumkorid 0,9% 1,5 mg/ml
injekcija   Gentamicin sulfate   
injekcija   Daptomycin 19,2 mg/ml
22°C-28°C
2 sat
nespecifičan 1937
Razina dokaza C+

  Mentions Légales