Seneste opdatering :
27/04/2026
Antibiotisk   Gentamicin sulfate  
Injektion
Øjendråber
Stabilitet i (vandige) opløsninger Stabilitet i blandinger Faktorer der påvirker stabiliteten Kompatibilitet Administrationsvej Bibliografi pdf
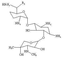
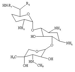
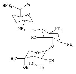
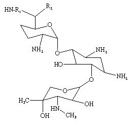
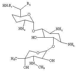
   Kemisk struktur  

Handelsnavn   Handelsnavn     

Handel navne er vejledende og hjælpestoffer sammensætning kan være forskellig afhængigt af landet og laboratorier

Azupel Marokko
Cidomycin Storbritanien, Tunesien, Ægypten
Dabroson Grækenland
Epigent Ægypten
Garalone Portugal
Garamicina Brasilien, Colombia, Ecuador, Mexico
Garamycin Danmark, Forenede Arabiske Emirater, Grækenland, Holland, Indien, Kroatien, Norge, Polen, Schweiz, Ægypten
Genmisin Tyrkiet
Gensif Tyrkiet
Gensumycin Finland, Norge, Sverige
Genta-Gobens Spanien
Gentalline Marokko
Gentamen Marokko
Genticin Forenede Arabiske Emirater, Irland, Storbritanien
Gentreks Tyrkiet
Hexamycin Danmark
Plurisemina Argentina
Refobacin Colombia, Tyskland, Ægypten, Østrig
Rupegen Argentina
Stabilitet i blandinger   Injektion   Stabilitet i blandinger : Gentamicin sulfate     
Beholder Opløsningsmiddel Koncentration Molekyle Temperatur Konservering Varighed af stabilitet Bibliografi
Glas 0,9 % Natriumklorid 0,75 mg/ml
Injektion   Gentamicin sulfate   
Injektion   Granisetron hydrochloride 0,5 mg/ml
20°C-23°C
4 Time
Lys 57
Level af bevismateriale A+
Glas 0,9 % Natriumklorid 1 mg/ml
Injektion   Gentamicin sulfate   
Injektion   Cefpirome sulfate 50 mg/ml
23°C
8 Time
Lys 280
Level af bevismateriale B+
Glas 0,9 % Natriumklorid 0,8 mg/ml
Injektion   Gentamicin sulfate   
Injektion   Cefazolin sodium 10 mg/ml
Injektion   Clindamycin phosphate 9 mg/ml
25°C
12 Time
Lys 695
Joker
Glas 5 % Glukose 1 mg/ml
Injektion   Gentamicin sulfate   
Injektion   Cefpirome sulfate 50 mg/ml
23°C
8 Time
Lys 280
Level af bevismateriale B+
Glas 5 % Glukose 0,32 mg/ml
Injektion   Gentamicin sulfate   
Injektion   Dopamine hydrochloride 0,8 mg/ml
23°C-25°C
24 Time
Lys 738
Joker
Glas 5 % Glukose 0,8 mg/ml
Injektion   Gentamicin sulfate   
Injektion   Cefazolin sodium 10 mg/ml
Injektion   Clindamycin phosphate 9 mg/ml
25°C
1 Time
Lys 695
Joker
Glas 5 % Glukose 3,2 mg/ml
Injektion   Gentamicin sulfate   
Injektion   Filgrastim 40 µg/ml
25°C
4 Time
Ikke nærmere angivet 104
Level af bevismateriale B
Glas 5 % Glukose 5.26 mg/ml
Injektion   Gentamicin sulfate   
Injektion   Palonosetron hydrochloride 26.7 µg/ml
25°C
4 Time
Ikke nærmere angivet 2228
Level af bevismateriale A+
Glas Ringer laktat 1 mg/ml
Injektion   Gentamicin sulfate   
Injektion   Cefpirome sulfate 50 mg/ml
23°C
8 Time
Lys 280
Level af bevismateriale B+
Glas 0,45 % Natriumklorid 1 mg/ml
Injektion   Gentamicin sulfate   
Injektion   Cefpirome sulfate 50 mg/ml
23°C
8 Time
Lys 280
Level af bevismateriale B+
Glas Ingen 0,8 mg/ml
Injektion   Gentamicin sulfate   
Injektion   Ofloxacin 2 mg/ml
25°C
48 Time
Ikke nærmere angivet 889
Level af bevismateriale D
Polyvinylklorid 0,9 % Natriumklorid 1,2 mg/ml
Injektion   Gentamicin sulfate   
Injektion   Clindamycin phosphate 9 mg/ml
-20°C
28 Dag
Beskyt mod lys 565
Level af bevismateriale D
Polyvinylklorid 0,9 % Natriumklorid 1 mg/ml
Injektion   Gentamicin sulfate   
Injektion   Ciprofloxacin lactate 1,5 mg/ml
25°C
48 Time
Lys 434
Polyvinylklorid 0,9 % Natriumklorid 0,2 & 0,8 mg/ml
Injektion   Gentamicin sulfate   
Injektion   Aztreonam 10 & 20 mg/ml
25°C
8 Time
Ikke nærmere angivet 19
Level af bevismateriale D
Polyvinylklorid 0,9 % Natriumklorid 0,2 & 0,8 mg/ml
Injektion   Gentamicin sulfate   
Injektion   Aztreonam 10 & 20 mg/ml
4°C
24 Time
Beskyt mod lys 19
Level af bevismateriale D
Polyvinylklorid 0,9 % Natriumklorid 1 mg/ml
Injektion   Gentamicin sulfate   
Injektion   Ciprofloxacin lactate 1,5 mg/ml
4°C
48 Time
Beskyt mod lys 434
Polyvinylklorid 5 % Glukose 1,2 mg/ml
Injektion   Gentamicin sulfate   
Injektion   Clindamycin phosphate 9 mg/ml
-20°C
28 Dag
Beskyt mod lys 565
Level af bevismateriale D
Polyvinylklorid 5 % Glukose 5 mg/ml
Injektion   Gentamicin sulfate   
Injektion   Clindamycin phosphate 6 mg/ml
25°C
24 Time
Lys 423
Level af bevismateriale D
Polyvinylklorid 5 % Glukose 1 mg/ml
Injektion   Gentamicin sulfate   
Injektion   Ciprofloxacin lactate 1,5 mg/ml
25°C
48 Time
Lys 434
Polyvinylklorid 5 % Glukose 0,2 & 0,8 mg/ml
Injektion   Gentamicin sulfate   
Injektion   Aztreonam 10 & 20 mg/ml
25°C
8 Time
Ikke nærmere angivet 19
Level af bevismateriale D
Polyvinylklorid 5 % Glukose 0,2 & 0,8 mg/ml
Injektion   Gentamicin sulfate   
Injektion   Aztreonam 10 & 20 mg/ml
4°C
24 Time
Beskyt mod lys 19
Level af bevismateriale D
Polyvinylklorid 5 % Glukose 1 mg/ml
Injektion   Gentamicin sulfate   
Injektion   Ciprofloxacin lactate 1,5 mg/ml
4°C
48 Time
Beskyt mod lys 434
Polyvinylklorid Extraneal® (Baxter) 0,02 mg/ml
Injektion   Gentamicin sulfate   
Injektion   Cefazolin sodium 0,5 mg/ml
25°C
4 Dag
Beskyt mod lys 3888
Level af bevismateriale D
Polyvinylklorid Extraneal® (Baxter) 0,02 mg/ml
Injektion   Gentamicin sulfate   
Injektion   Vancomycin hydrochloride 1 mg/ml
25°C
14 Dag
Beskyt mod lys 3888
Level af bevismateriale D
Polyvinylklorid Extraneal® (Baxter) 0,02 mg/ml
Injektion   Gentamicin sulfate   
Injektion   Vancomycin hydrochloride 1 mg/ml
37°C
4 Dag
Beskyt mod lys 3888
Level af bevismateriale D
Polyvinylklorid Extraneal® (Baxter) 0,02 mg/ml
Injektion   Gentamicin sulfate   
Injektion   Cefazolin sodium 0,5 mg/ml
37°C
24 Time
Beskyt mod lys 3888
Level af bevismateriale D
Polyvinylklorid Extraneal® (Baxter) 0,02 mg/ml
Injektion   Gentamicin sulfate   
Injektion   Cefazolin sodium 0,5 mg/ml
4°C
14 Dag
Beskyt mod lys 3888
Level af bevismateriale D
Polyethylen Vand til injektion 2,5 mg/ml
Injektion   Gentamicin sulfate   
Injektion   Trisodium citrate 40 mg/ml
25°C
112 Dag
Beskyt mod lys 3141
Level af bevismateriale B
Polypropylen 0,9 % Natriumklorid 0,1 mg/ml
Injektion   Gentamicin sulfate   
Injektion   Heparin sodium 5000 UI/ml
4°C
28 Dag
Ikke nærmere angivet 3956
biologisk analyse
Polyolefin Ingen 0,75 mg/ml
Injektion   Gentamicin sulfate   
Injektion   Linezolid 1,80 mg/ml
23°C
5 Dag
Beskyt mod lys 2353
Level af bevismateriale B+
Polyolefin Ingen 0,75 mg/ml
Injektion   Gentamicin sulfate   
Injektion   Linezolid 1,80 mg/ml
4°C
7 Dag
Beskyt mod lys 2353
Level af bevismateriale B+
sprøjte polypropylen 0,9 % Natriumklorid 30 mg/ml
Injektion   Gentamicin sulfate   
Injektion   Clindamycin phosphate 90 mg/ml
22°C-23°C
48 Time
Lys 639
Level af bevismateriale D
Ikke angivet nærmere Vand til injektion 2,5 mg/ml
Injektion   Gentamicin sulfate   
Injektion   Sodium citrate 40 mg/ml
37°C
96 Time
Ikke nærmere angivet 3952
Level af bevismateriale A
Ikke angivet nærmere 0,9 % Natriumklorid 1,5 mg/ml
Injektion   Gentamicin sulfate   
Injektion   Daptomycin 19,2 mg/ml
22°C-28°C
2 Time
Ikke nærmere angivet 1937
Level af bevismateriale C+

  Mentions Légales