Ostatnia aktualizacja :
27/04/2026
Antybiotyk   Gentamicin sulfate  
Injekcje
Krople oczne
Trwałość roztworów Trwałość w mieszaninie Czynnik wpływający na trwałość Zgodność Sposób podania Bibliografia pdf
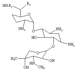
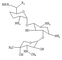
   Struktura chemiczna  

Nazwa handlowa   Nazwa handlowa     

Trade names are indicative and excipients composition can be different depending on the country and manufacturers

Azupel Peru
Cidomycin Egipt, Tunisie, Wielka Brytania
Dabroson Grecja
Epigent Egipt
Garalone Portugalia
Garamicina Brazylia, Ekwador, KolumbiaKolumbia, Meksyk
Garamycin Chorwacja, Dania, Egipt, Grecja, Holandia, Indie, Norwegia, Polska, Szwajcaria, Zjednoczone Emiraty Arabskie
Genmisin Turcja
Gensif Turcja
Gensumycin Finlandia, Norwegia, Szwecja
Genta-Gobens Hiszpania
Gentalline Maroko
Gentamen Maroko
Genticin Irlandia, Wielka Brytania, Zjednoczone Emiraty Arabskie
Gentreks Turcja
Hexamycin Dania
Plurisemina Argentyna
Refobacin Austria, Egipt, KolumbiaKolumbia, Niemcy
Rupegen Argentyna
Trwałość w mieszaninie   Injekcje   Trwałość w mieszaninie : Gentamicin sulfate     
Pojemnik Rozpuszczalnik Stężenie Związek Temperatura Przechowywanie Czas trwania stabilności Bibliografia
Szkło Chlorek sodu 0,9% 0,75 mg/ml
Injekcje   Gentamicin sulfate   
Injekcje   Granisetron hydrochloride 0,5 mg/ml
20°C-23°C
4 Godzina
światło 57
Poziom wiarygodności A+
Szkło Chlorek sodu 0,9% 1 mg/ml
Injekcje   Gentamicin sulfate   
Injekcje   Cefpirome sulfate 50 mg/ml
23°C
8 Godzina
światło 280
Poziom wiarygodności B+
Szkło Chlorek sodu 0,9% 0,8 mg/ml
Injekcje   Gentamicin sulfate   
Injekcje   Cefazolin sodium 10 mg/ml
Injekcje   Clindamycin phosphate 9 mg/ml
25°C
12 Godzina
światło 695
Joker
Szkło Glukoza 5% 1 mg/ml
Injekcje   Gentamicin sulfate   
Injekcje   Cefpirome sulfate 50 mg/ml
23°C
8 Godzina
światło 280
Poziom wiarygodności B+
Szkło Glukoza 5% 0,32 mg/ml
Injekcje   Gentamicin sulfate   
Injekcje   Dopamine hydrochloride 0,8 mg/ml
23°C-25°C
24 Godzina
światło 738
Joker
Szkło Glukoza 5% 0,8 mg/ml
Injekcje   Gentamicin sulfate   
Injekcje   Cefazolin sodium 10 mg/ml
Injekcje   Clindamycin phosphate 9 mg/ml
25°C
1 Godzina
światło 695
Joker
Szkło Glukoza 5% 3,2 mg/ml
Injekcje   Gentamicin sulfate   
Injekcje   Filgrastim 40 µg/ml
25°C
4 Godzina
Nie wyszczególniony 104
Poziom wiarygodności B
Szkło Glukoza 5% 5.26 mg/ml
Injekcje   Gentamicin sulfate   
Injekcje   Palonosetron hydrochloride 26.7 µg/ml
25°C
4 Godzina
Nie wyszczególniony 2228
Poziom wiarygodności A+
Szkło Roztwór Ringera z mleczanem sodowym 1 mg/ml
Injekcje   Gentamicin sulfate   
Injekcje   Cefpirome sulfate 50 mg/ml
23°C
8 Godzina
światło 280
Poziom wiarygodności B+
Szkło Chlorek sodu 0,45% 1 mg/ml
Injekcje   Gentamicin sulfate   
Injekcje   Cefpirome sulfate 50 mg/ml
23°C
8 Godzina
światło 280
Poziom wiarygodności B+
Szkło Żaden 0,8 mg/ml
Injekcje   Gentamicin sulfate   
Injekcje   Ofloxacin 2 mg/ml
25°C
48 Godzina
Nie wyszczególniony 889
Poziom wiarygodności D
Polichlorek winylu Chlorek sodu 0,9% 1,2 mg/ml
Injekcje   Gentamicin sulfate   
Injekcje   Clindamycin phosphate 9 mg/ml
-20°C
28 Dzień
Chronić od światła 565
Poziom wiarygodności D
Polichlorek winylu Chlorek sodu 0,9% 1 mg/ml
Injekcje   Gentamicin sulfate   
Injekcje   Ciprofloxacin lactate 1,5 mg/ml
25°C
48 Godzina
światło 434
Polichlorek winylu Chlorek sodu 0,9% 0,2 & 0,8 mg/ml
Injekcje   Gentamicin sulfate   
Injekcje   Aztreonam 10 & 20 mg/ml
25°C
8 Godzina
Nie wyszczególniony 19
Poziom wiarygodności D
Polichlorek winylu Chlorek sodu 0,9% 0,2 & 0,8 mg/ml
Injekcje   Gentamicin sulfate   
Injekcje   Aztreonam 10 & 20 mg/ml
4°C
24 Godzina
Chronić od światła 19
Poziom wiarygodności D
Polichlorek winylu Chlorek sodu 0,9% 1 mg/ml
Injekcje   Gentamicin sulfate   
Injekcje   Ciprofloxacin lactate 1,5 mg/ml
4°C
48 Godzina
Chronić od światła 434
Polichlorek winylu Glukoza 5% 1,2 mg/ml
Injekcje   Gentamicin sulfate   
Injekcje   Clindamycin phosphate 9 mg/ml
-20°C
28 Dzień
Chronić od światła 565
Poziom wiarygodności D
Polichlorek winylu Glukoza 5% 5 mg/ml
Injekcje   Gentamicin sulfate   
Injekcje   Clindamycin phosphate 6 mg/ml
25°C
24 Godzina
światło 423
Poziom wiarygodności D
Polichlorek winylu Glukoza 5% 1 mg/ml
Injekcje   Gentamicin sulfate   
Injekcje   Ciprofloxacin lactate 1,5 mg/ml
25°C
48 Godzina
światło 434
Polichlorek winylu Glukoza 5% 0,2 & 0,8 mg/ml
Injekcje   Gentamicin sulfate   
Injekcje   Aztreonam 10 & 20 mg/ml
25°C
8 Godzina
Nie wyszczególniony 19
Poziom wiarygodności D
Polichlorek winylu Glukoza 5% 0,2 & 0,8 mg/ml
Injekcje   Gentamicin sulfate   
Injekcje   Aztreonam 10 & 20 mg/ml
4°C
24 Godzina
Chronić od światła 19
Poziom wiarygodności D
Polichlorek winylu Glukoza 5% 1 mg/ml
Injekcje   Gentamicin sulfate   
Injekcje   Ciprofloxacin lactate 1,5 mg/ml
4°C
48 Godzina
Chronić od światła 434
Polichlorek winylu Extraneal® (Baxter) 0,02 mg/ml
Injekcje   Gentamicin sulfate   
Injekcje   Cefazolin sodium 0,5 mg/ml
25°C
4 Dzień
Chronić od światła 3888
Poziom wiarygodności D
Polichlorek winylu Extraneal® (Baxter) 0,02 mg/ml
Injekcje   Gentamicin sulfate   
Injekcje   Vancomycin hydrochloride 1 mg/ml
25°C
14 Dzień
Chronić od światła 3888
Poziom wiarygodności D
Polichlorek winylu Extraneal® (Baxter) 0,02 mg/ml
Injekcje   Gentamicin sulfate   
Injekcje   Vancomycin hydrochloride 1 mg/ml
37°C
4 Dzień
Chronić od światła 3888
Poziom wiarygodności D
Polichlorek winylu Extraneal® (Baxter) 0,02 mg/ml
Injekcje   Gentamicin sulfate   
Injekcje   Cefazolin sodium 0,5 mg/ml
37°C
24 Godzina
Chronić od światła 3888
Poziom wiarygodności D
Polichlorek winylu Extraneal® (Baxter) 0,02 mg/ml
Injekcje   Gentamicin sulfate   
Injekcje   Cefazolin sodium 0,5 mg/ml
4°C
14 Dzień
Chronić od światła 3888
Poziom wiarygodności D
Polietylen Woda do wstrzyknięć 2,5 mg/ml
Injekcje   Gentamicin sulfate   
Injekcje   Trisodium citrate 40 mg/ml
25°C
112 Dzień
Chronić od światła 3141
Poziom wiarygodności B
Polipropylen Chlorek sodu 0,9% 0,1 mg/ml
Injekcje   Gentamicin sulfate   
Injekcje   Heparin sodium 5000 UI/ml
4°C
28 Dzień
Nie wyszczególniony 3956
Analiza biologiczna
Poliolefina Żaden 0,75 mg/ml
Injekcje   Gentamicin sulfate   
Injekcje   Linezolid 1,80 mg/ml
23°C
5 Dzień
Chronić od światła 2353
Poziom wiarygodności B+
Poliolefina Żaden 0,75 mg/ml
Injekcje   Gentamicin sulfate   
Injekcje   Linezolid 1,80 mg/ml
4°C
7 Dzień
Chronić od światła 2353
Poziom wiarygodności B+
Strzykawka Chlorek sodu 0,9% 30 mg/ml
Injekcje   Gentamicin sulfate   
Injekcje   Clindamycin phosphate 90 mg/ml
22°C-23°C
48 Godzina
światło 639
Poziom wiarygodności D
Brak informacji Woda do wstrzyknięć 2,5 mg/ml
Injekcje   Gentamicin sulfate   
Injekcje   Sodium citrate 40 mg/ml
37°C
96 Godzina
Nie wyszczególniony 3952
Poziom wiarygodności A
Brak informacji Chlorek sodu 0,9% 1,5 mg/ml
Injekcje   Gentamicin sulfate   
Injekcje   Daptomycin 19,2 mg/ml
22°C-28°C
2 Godzina
Nie wyszczególniony 1937
Poziom wiarygodności C+

  Mentions Légales