Последнее обновление :
27/04/2026
Антибиотик   Gentamicin sulfate  
Инъекция
Глазные капли
Стабильность растворов Стабильность смесей Факторы, которые влияют на стабильность Совместимость Способы введения Библиография pdf
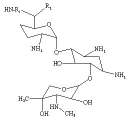
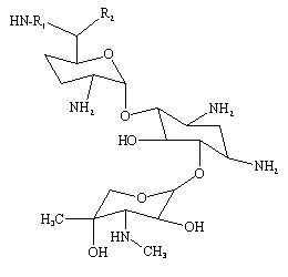
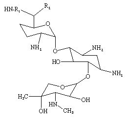
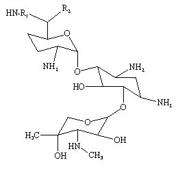
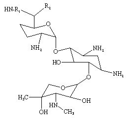
   Химическая структура  

Товарное название   Товарное название     

Trade names are indicative and excipients composition can be different depending on the country and manufacturers

Azupel Перу
Cidomycin Великобритания, Египет, Тунис
Dabroson Греция
Epigent Египет
Garalone Португалия
Garamicina Бразилия, Колумбия, Мексика, Эквадор
Garamycin Голландия, Греция, Дания, Египет, Индия, Норвегия, Объединенные Арабские Эмираты, Польша, Хорватия, Швейцария
Genmisin Турция
Gensif Турция
Gensumycin Норвегия, Финляндия, Швеция
Genta-Gobens Испания
Gentalline Марокко
Gentamen Марокко
Genticin Великобритания, Ирландия, Объединенные Арабские Эмираты
Gentreks Турция
Hexamycin Дания
Plurisemina Аргентина
Refobacin Австрия, Германия, Египет, Колумбия
Rupegen Аргентина
Стабильность смесей   Инъекция   Стабильность смесей : Gentamicin sulfate     
Упаковка Растворитель Концентрация Молекула Температура Хранение Продолжительность стабильности Ссылки
Стекло Натрия хлорид 0,9% 0,75 mg/ml
Инъекция   Gentamicin sulfate   
Инъекция   Granisetron hydrochloride 0,5 mg/ml
20°C-23°C
4 Час
Свет 57
Уровень доказательности A +
Стекло Натрия хлорид 0,9% 1 mg/ml
Инъекция   Gentamicin sulfate   
Инъекция   Cefpirome sulfate 50 mg/ml
23°C
8 Час
Свет 280
Уровень доказательности B +
Стекло Натрия хлорид 0,9% 0,8 mg/ml
Инъекция   Gentamicin sulfate   
Инъекция   Cefazolin sodium 10 mg/ml
Инъекция   Clindamycin phosphate 9 mg/ml
25°C
12 Час
Свет 695
ДЖОКЕР
Стекло Глюкоза 5% 1 mg/ml
Инъекция   Gentamicin sulfate   
Инъекция   Cefpirome sulfate 50 mg/ml
23°C
8 Час
Свет 280
Уровень доказательности B +
Стекло Глюкоза 5% 0,32 mg/ml
Инъекция   Gentamicin sulfate   
Инъекция   Dopamine hydrochloride 0,8 mg/ml
23°C-25°C
24 Час
Свет 738
ДЖОКЕР
Стекло Глюкоза 5% 0,8 mg/ml
Инъекция   Gentamicin sulfate   
Инъекция   Cefazolin sodium 10 mg/ml
Инъекция   Clindamycin phosphate 9 mg/ml
25°C
1 Час
Свет 695
ДЖОКЕР
Стекло Глюкоза 5% 3,2 mg/ml
Инъекция   Gentamicin sulfate   
Инъекция   Filgrastim 40 µg/ml
25°C
4 Час
Не указано 104
Уровень доказательности B
Стекло Глюкоза 5% 5.26 mg/ml
Инъекция   Gentamicin sulfate   
Инъекция   Palonosetron hydrochloride 26.7 µg/ml
25°C
4 Час
Не указано 2228
Уровень доказательности A +
Стекло Раствор Рингера лактата 1 mg/ml
Инъекция   Gentamicin sulfate   
Инъекция   Cefpirome sulfate 50 mg/ml
23°C
8 Час
Свет 280
Уровень доказательности B +
Стекло Натрия хлорид 0,45% 1 mg/ml
Инъекция   Gentamicin sulfate   
Инъекция   Cefpirome sulfate 50 mg/ml
23°C
8 Час
Свет 280
Уровень доказательности B +
Стекло Нет 0,8 mg/ml
Инъекция   Gentamicin sulfate   
Инъекция   Ofloxacin 2 mg/ml
25°C
48 Час
Не указано 889
Уровень доказательности D
Поливинилхлорид Натрия хлорид 0,9% 1,2 mg/ml
Инъекция   Gentamicin sulfate   
Инъекция   Clindamycin phosphate 9 mg/ml
-20°C
28 День
Защищён от света 565
Уровень доказательности D
Поливинилхлорид Натрия хлорид 0,9% 1 mg/ml
Инъекция   Gentamicin sulfate   
Инъекция   Ciprofloxacin lactate 1,5 mg/ml
25°C
48 Час
Свет 434
Поливинилхлорид Натрия хлорид 0,9% 0,2 & 0,8 mg/ml
Инъекция   Gentamicin sulfate   
Инъекция   Aztreonam 10 & 20 mg/ml
25°C
8 Час
Не указано 19
Уровень доказательности D
Поливинилхлорид Натрия хлорид 0,9% 0,2 & 0,8 mg/ml
Инъекция   Gentamicin sulfate   
Инъекция   Aztreonam 10 & 20 mg/ml
4°C
24 Час
Защищён от света 19
Уровень доказательности D
Поливинилхлорид Натрия хлорид 0,9% 1 mg/ml
Инъекция   Gentamicin sulfate   
Инъекция   Ciprofloxacin lactate 1,5 mg/ml
4°C
48 Час
Защищён от света 434
Поливинилхлорид Глюкоза 5% 1,2 mg/ml
Инъекция   Gentamicin sulfate   
Инъекция   Clindamycin phosphate 9 mg/ml
-20°C
28 День
Защищён от света 565
Уровень доказательности D
Поливинилхлорид Глюкоза 5% 5 mg/ml
Инъекция   Gentamicin sulfate   
Инъекция   Clindamycin phosphate 6 mg/ml
25°C
24 Час
Свет 423
Уровень доказательности D
Поливинилхлорид Глюкоза 5% 1 mg/ml
Инъекция   Gentamicin sulfate   
Инъекция   Ciprofloxacin lactate 1,5 mg/ml
25°C
48 Час
Свет 434
Поливинилхлорид Глюкоза 5% 0,2 & 0,8 mg/ml
Инъекция   Gentamicin sulfate   
Инъекция   Aztreonam 10 & 20 mg/ml
25°C
8 Час
Не указано 19
Уровень доказательности D
Поливинилхлорид Глюкоза 5% 0,2 & 0,8 mg/ml
Инъекция   Gentamicin sulfate   
Инъекция   Aztreonam 10 & 20 mg/ml
4°C
24 Час
Защищён от света 19
Уровень доказательности D
Поливинилхлорид Глюкоза 5% 1 mg/ml
Инъекция   Gentamicin sulfate   
Инъекция   Ciprofloxacin lactate 1,5 mg/ml
4°C
48 Час
Защищён от света 434
Поливинилхлорид Extraneal® (Baxter) 0,02 mg/ml
Инъекция   Gentamicin sulfate   
Инъекция   Cefazolin sodium 0,5 mg/ml
25°C
4 День
Защищён от света 3888
Уровень доказательности D
Поливинилхлорид Extraneal® (Baxter) 0,02 mg/ml
Инъекция   Gentamicin sulfate   
Инъекция   Vancomycin hydrochloride 1 mg/ml
25°C
14 День
Защищён от света 3888
Уровень доказательности D
Поливинилхлорид Extraneal® (Baxter) 0,02 mg/ml
Инъекция   Gentamicin sulfate   
Инъекция   Vancomycin hydrochloride 1 mg/ml
37°C
4 День
Защищён от света 3888
Уровень доказательности D
Поливинилхлорид Extraneal® (Baxter) 0,02 mg/ml
Инъекция   Gentamicin sulfate   
Инъекция   Cefazolin sodium 0,5 mg/ml
37°C
24 Час
Защищён от света 3888
Уровень доказательности D
Поливинилхлорид Extraneal® (Baxter) 0,02 mg/ml
Инъекция   Gentamicin sulfate   
Инъекция   Cefazolin sodium 0,5 mg/ml
4°C
14 День
Защищён от света 3888
Уровень доказательности D
Полиэтилен Вода для инъекций 2,5 mg/ml
Инъекция   Gentamicin sulfate   
Инъекция   Trisodium citrate 40 mg/ml
25°C
112 День
Защищён от света 3141
Уровень доказательности B
Полипропилен Натрия хлорид 0,9% 0,1 mg/ml
Инъекция   Gentamicin sulfate   
Инъекция   Heparin sodium 5000 UI/ml
4°C
28 День
Не указано 3956
Биологический метод
Полиолефин Нет 0,75 mg/ml
Инъекция   Gentamicin sulfate   
Инъекция   Linezolid 1,80 mg/ml
23°C
5 День
Защищён от света 2353
Уровень доказательности B +
Полиолефин Нет 0,75 mg/ml
Инъекция   Gentamicin sulfate   
Инъекция   Linezolid 1,80 mg/ml
4°C
7 День
Защищён от света 2353
Уровень доказательности B +
Шприц полипропилен Натрия хлорид 0,9% 30 mg/ml
Инъекция   Gentamicin sulfate   
Инъекция   Clindamycin phosphate 90 mg/ml
22°C-23°C
48 Час
Свет 639
Уровень доказательности D
Не указано Вода для инъекций 2,5 mg/ml
Инъекция   Gentamicin sulfate   
Инъекция   Sodium citrate 40 mg/ml
37°C
96 Час
Не указано 3952
Уровень доказательности A
Не указано Натрия хлорид 0,9% 1,5 mg/ml
Инъекция   Gentamicin sulfate   
Инъекция   Daptomycin 19,2 mg/ml
22°C-28°C
2 Час
Не указано 1937
Уровень доказательности C+

  Mentions Légales