Última actualização :
27/01/2026
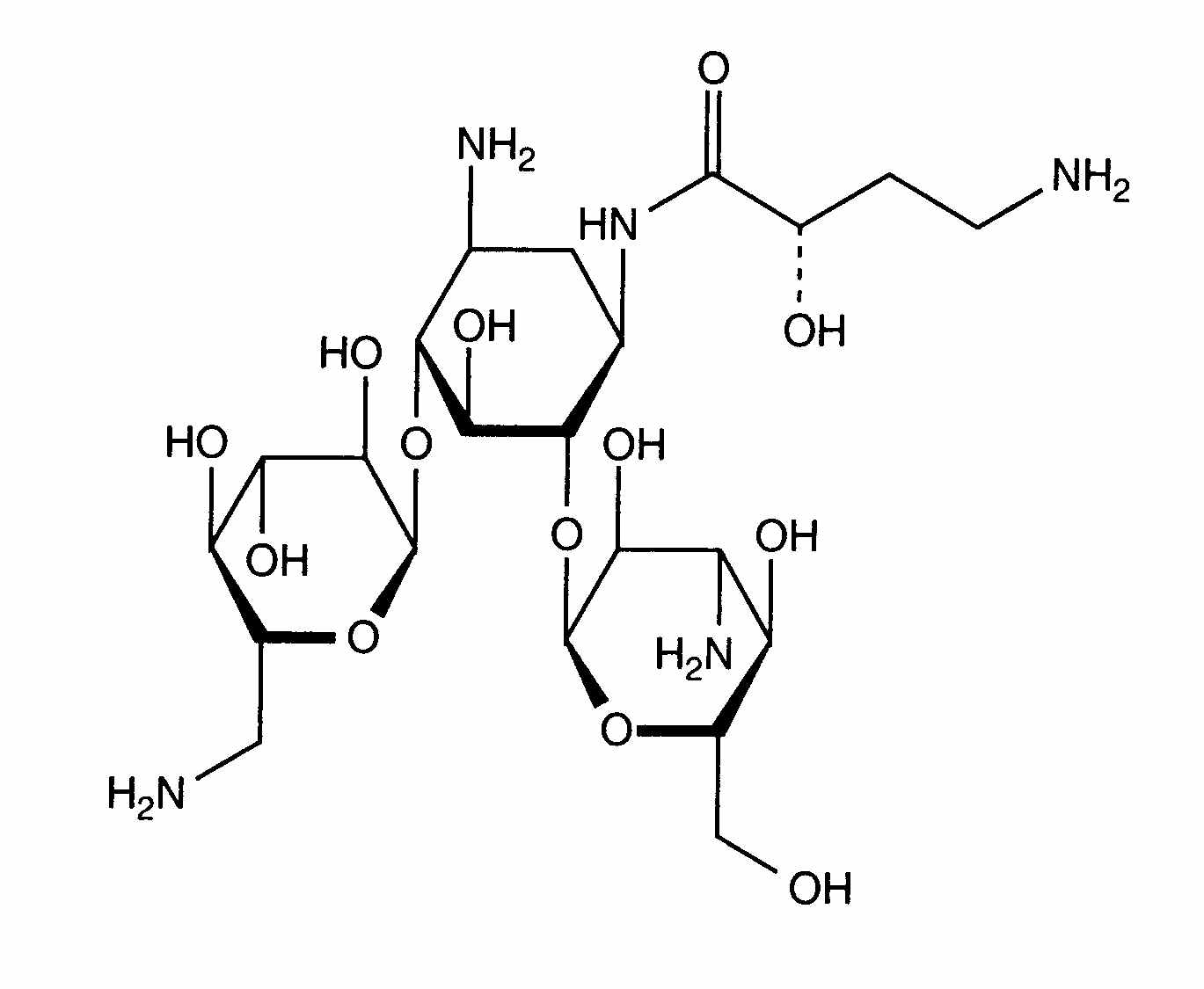
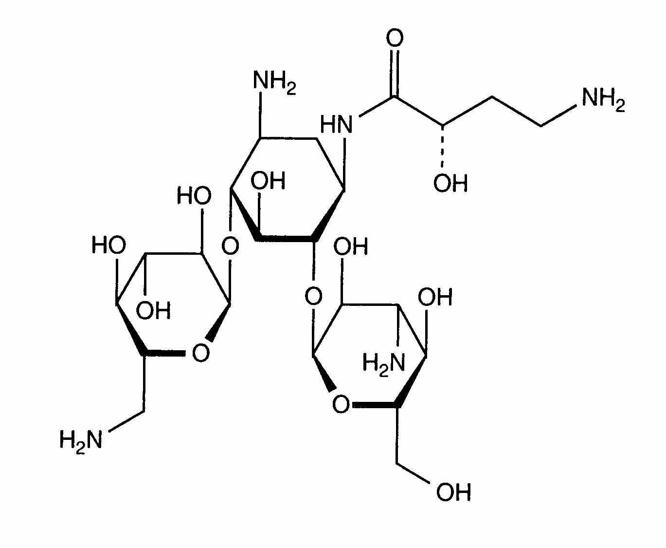
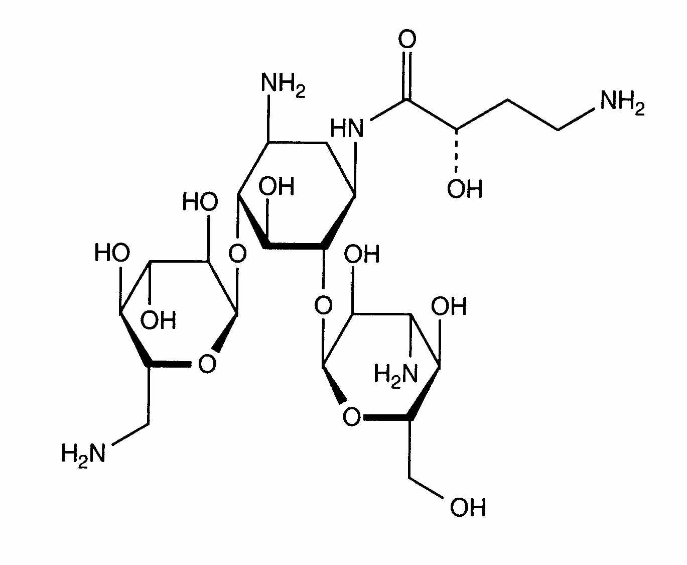
antibiótico   Amikacin sulfate  
injetável
Estabilidade em soluções simples Estabilidade em misturas Factores que afectam a sua estabilidade Compatibilidade Método de administração Bibliografía pdf
   estrutura química  

Nomes comerciais nos diversos países   Nomes comerciais nos diversos países     

OS NOMES COMERCIAIS SÃO INDICATIVOS E OS EXCIPIENTES DA FORMULAÇÃO PODEM SER DIFERENTES CONFORME O PAÍS E FABRICANTE.

Adnet Índia
Agnicin México
Akamin Equator
Akim Equator
Amicacil Brasil
Amicilon Brasil
Amicin Malásia
Amicip Venezuela
Amijeksin Turquia
Amikabiot Equator, Peru
Amikacin Alemanha, Arábia Saudita, Canadá, Egipto, Estados Unidos de América, Gran-bretanha, Irã, Malásia, nova Zelândia
Amikacina Argentina, Chilli, Colômbia, Equator, Espanha, Itália, México, Peru, Venezuela
Amikacine Bélgica, França, Marrocos, Países Baixos
Amikafur México
Amikagram Peru
Amikalem México
Amikamed Peru
Amikamek Peru
Amikan Itália
Amikavax Venezuela
Amikaver Turquia
Amikayect México
Amikem Peru
Amiketem Turquia
Amikin Arábia Saudita, Australia, Brasil, Colômbia, Egipto, Equator, Estados Unidos de América, Gran-bretanha, Hungria, Irlanda, México, Peru, Polonia, Suicia, Tunísia
Amiklin França, Turquia
Amikosit Romènia, Tunísia, Turquia
Amikram Peru
Amukin Bélgica, Luxemburgo, Países Baixos
Apalin Malásia
Baxi K Chilli, México
Behcacin Índia, Venezuela
Belka Índia
Biclin Alemanha, Austria, Espanha, Finlandia, México, Portugal, Suècia
Biodacyna Polonia
Biokacin México
Briklin Grècia
Cadicin Índia
Chemacin Itália
Cikabit Índia
Cinamica Índia
Cinas Índia
Consumonit Grècia
Domak Índia
Doxocar Argentina
Elcin Índia
Elmik Índia
Emcin Índia
Emica Índia
Farcyclin Grècia
Flexelite Grècia
Greini Argentina
Ipacin Irã
Itukacin Peru
Kancin Grècia
Lanomycin Grècia
Lukadin Itália
Masmika Índia
Mediamik Itália
Micalpha Grècia
Micigen México
Migracin Itália
Mikacin Arábia Saudita
Nekacin Itália
Novamin Brasil
Orlobin Grècia
Remikin Grècia
Rovericlin Grècia
Uzix Grècia
Bibliografía   injetável   Bibliografía : Amikacin sulfate  
tipo publicação
3 jornal Trissel LA, Martinez JF.
Compatibility of amifostine with selected drugs during simulated Y-site administration.
Am J Health-Syst Pharm 1995 ; 52: 2208-2212.
59 jornal Trissel LA, Gilbert DL, Martinez JF, Kim MC.
Compatibility of remifentanil hydrochloride with selected drugs during simulated Y-site administration.
Am J Health-Syst Pharm 1997 ; 54: 2192-2196.
73 jornal Lor E, Takagi J.
Visual compatibility of foscarnet with other injectable drugs.
Am J Hosp Pharm 1990 ; 47: 157-159.
84 jornal Trissel LA, Martinez JF.
Visual, turbidimetric, and particle-content assessment of compatibility of vinorelbine tartrate with selected drugs during simulated Y-site injection.
Am J Hosp Pharm 1994 ; 51: 495-499.
99 jornal Trissel LA, Martinez JF.
Compatibility of aztreonam with selected drugs during simulated Y-site administration.
Am J Health-Syst Pharm 1995 ; 52: 1086-1090.
104 jornal Hall PD, Yui D, Lyons S, Bosso JA.
Compatibility of filgrastim with selected antimicrobial drugs during simulated Y-site administration.
Am J Health-Syst Pharm 1997 ; 54: 185-189.
132 jornal Najari Z, Rusho WJ.
Compatibility of commonly used bone marrow transplant drugs during Y-site delivery.
Am J Health-Syst Pharm 1997 ; 54: 181-184.
169 jornal Trissel LA, Martinez JF.
Physical compatibility of melphalan with selected drugs during simulated Y-site administration.
Am J Hosp Pharm 1993 ; 50: 2359-2363.
182 jornal Trissel LA, Gilbert DL, Martinez JF.
Compatibility of granisetron hydrochloride with selected drugs during simulated Y-site administration.
Am J Health-Syst Pharm 1997 ; 54: 56-60.
186 jornal Swart EL, Mooren RAG, Van Loenen AC.
Compatibility of midazolam hydrochloride and lorazepam with selected drugs during simulated Y-site administration.
Am J Health-Syst Pharm 1995 ; 52: 2020-2022.
198 jornal Gayed AA, Kheshary PR, Hinkle RL.
Visual compatibility of diltiazem injection with various diluents and medications during simulated Y-site injection.
Am J Health-Syst Pharm 1995 ; 52: 516-520.
244 jornal Trissel LA, Martinez JF.
Compatibility of filgrastim with selected drugs during simulated Y-site administration.
Am J Hosp Pharm 1994 ; 51: 1907-1913.
248 jornal Trissel LA, Martinez JF.
Turbidimetric assessment of the compatibility of taxol with 42 other drugs during simulated Y-site injection.
Am J Hosp Pharm 1993 ; 50: 300-304.
249 jornal Trissel LA, Martinez JF.
Compatibility of thiotepa (lyophilized) with selected drugs during simulated Y-site administration.
Am J Health-Syst Pharm 1996 ; 53: 1041-1045.
253 jornal Trissel LA, Chandler SW, Folstad JT.
Visual compatibility of amsacrine with selected drugs during simulated Y-site injection.
Am J Hosp Pharm 1990 ; 47: 2525-2528.
256 jornal Inagaki K, Takagi J, Lor E, Lee KJ, Nii L, Gill MA.
Stability of fluconazole in commonly used intravenous antibiotic solutions.
Am J Hosp Pharm 1993 ; 50: 1206-1208.
280 jornal Allen LV, Stiles ML, Prince SJ, Sylvestri MF.
Stability of cefpirome sulfate in the presence of commonly used intensive care drugs during simulated Y-site injection.
Am J Health-Syst Pharm 1995 ; 52: 2427-2433.
285 jornal Elmore RL, Contois ME, Kelly J, Noe A, Poirier A.
Stability and compatibility of admixtures of intravenous ciprofloxacin and selected drugs.
Clin Ther 1996 ; 18: 246-255.
299 jornal Trissel LA, Martinez JF, Gilbert DL.
Compatibility of cisatracurium besylate with selected drugs during simulated Y-site administration.
Am J Health-Syst Pharm 1997 ; 54: 1735-1741.
300 jornal Trissel LA, Gilbert DL, Martinez JF.
Compatibility of propofol injectable emulsion with selected drugs during simulated Y-site administration.
Am J Health-Syst Pharm 1997 ; 54: 1287-1292.
301 jornal Trissel LA, Gilbert DL, Martinez JF, Baker MB, Walter WV, Mirtallo JM.
Compatibility of parenteral nutrient solutions with selected drugs during simulated Y-site administration.
Am J Health-Syst Pharm 1997 ; 54: 1295-1300.
307 jornal Trissel LA, Martinez JF.
Compatibility of allopurinol sodium with selected drugs during simulated Y-site administration.
Am J Hosp Pharm 1994 ; 51: 1792-1799.
316 jornal Veltri M, Lee CKK.
Compatibility of neonatal parenteral nutrient solutions with selected intravenous drugs.
Am J Health-Syst Pharm 1996 ; 53: 2611-2613.
334 jornal Trissel LA, Tramonte SM, Grilley BJ.
Visual compatibility of ondansetron hydrochloride with selected drugs during simulated Y-site injection.
Am J Hosp Pharm 1991 ; 48: 988-992.
335 jornal Trissel LA, Bready BB, Kwan JW, Santiago NM.
Visual compatibility of sargramostim with selected antineoplasic agents, anti-infectives, or other drugs during simulated Y-site injection.
Am J Hosp Pharm 1992 ; 49: 402-406.
336 jornal Forman JK, Lachs JR, Souney PF.
Visual compatibility of acyclovir sodium with commonly used intravenous drugs during simulated Y-site injection.
Am J Hosp Pharm 1987 ; 44: 1408-1409.
337 jornal Bashaw ED, Amantea MA, Minor JR, Galleli JF.
Visual compatibility of zidovudine with other drugs during simulated Y-site administration.
Am J Hosp Pharm 1988 ; 45: 2532-2533.
367 jornal Thompson DF, Allen LV, Desai SR, Rao PS.
Compatibility of furosemide with aminoglycoside admixtures.
Am J Hosp Pharm 1985 ; 42: 116-119.
384 jornal Colucci RD, Cobuzzi LE, Halpern NA.
Visual compatibility of esmolol hydrochloride and various injectable drugs during simulated Y-site injection.
Am J Hosp Pharm 1988 ; 45: 630-632.
385 jornal Benedict MK, Roche VF, Banakar UV, Hilleman DE.
Visual compatibility of amiodarone hydrochloride with various antimicrobial agents during simulated Y-site injection.
Am J Hosp Pharm 1988 ; 45: 1117-1118.
386 jornal Colucci RD, Cobuzzi LE, Halpern NA.
Visual compatibility of labetalol hydrochloride injection with various injectable drugs during simulated Y-site injection.
Am J Hosp Pharm 1988 ; 45: 1357-1358.
405 jornal Nieves-Cordero AL, Luciw HM, Souney PF.
Compatibility of narcotic analgesic solutions with various antibiotics during simulated Y-site injection.
Am J Hosp Pharm 1985 ; 42: 1108-1109.
434 jornal Goodwin SD, Nix DE, Heyd A, Wilton JH.
Compatibility of ciprofloxacin injection with selected drugs and solutions.
Am J Hosp Pharm 1991 ; 48: 2166-2171.
472 jornal Wohlford JG, Fowler MD.
Visual compatibility of hetastarch with injectable critical-care drugs.
Am J Hosp Pharm 1989 ; 46: 995-996.
491 jornal Turowski RC, Durthaler JM.
Visual compatibility of idarubicin hydrochloride with selected drugs during simulated Y-site injection.
Am J Hosp Pharm 1991 ; 48: 2181-2184.
492 jornal Trissel LA, Parks NPT, Santiago NM.
Visual compatibility of fludarabine phosphate with antineoplastic drugs, anti-infectives, and other selected drugs during simulated Y-site injection.
Am J Hosp Pharm 1991 ; 48: 2186-2189.
496 jornal Lor E, Sheybani T, Takagi J.
Visual compatibility of fluconazole with commonly used injectable drugs during simulated Y-site administration.
Am J Hosp Pharm 1991 ; 48: 744-746.
552 jornal Martinez JF, Trissel LA, Gilbert DL.
Compatibility of warfarin sodium with selected drugs and large-volume parenteral solutions.
Int J Pharm Compound 1997 ; 1: 356-358.
561 jornal Nunning BC, Granatek AP.
Physical compatibility and chemical stability of amikacin sulfate in large-volume parenteral solutions. Part II.
Current Ther Res 1976 ; 20: 359-368.
565 jornal Marble DA, Bosso JA, Townsend RJ.
Compatibility of clindamycin phosphate with amikacin sulfate at room temperature and with gentamicin sulfate and tobramycin sulfate under frozen conditions.
Drug Intell Clin Pharm 1986 ; 20: 960-963.
575 jornal Holmes CJ, Ausman RK, Kundsin RB, Walter CW.
Effect of freezing and microwave thawing on the stability of six antibiotic admixtures in plastic bags.
Am J Hosp Pharm 1982 ; 39: 104-108.
604 Laboratório Stabilité des médicaments dans l'Intermate® SV50, 100, 200
Baxter 1998
639 jornal Zbrozek AS, Marble DA, Bosso JA, Bair JN, Townsend RJ.
Compatibility and stability of clindamycin phosphate - aminoglycoside combinations within polypropylene syringes.
Drug Intell Clin Pharm 1987 ; 21: 806-810.
673 jornal Bullock L, Clark JH, Fitzgerald JF, Glick MR, Hancock BG, Baenziger JC, Black CD.
The stability of amikacin, gentamicin, and tobramycin in total nutrient admixtures.
JPEN 1989 ; 13: 505-509.
905 jornal Trissel LA, Martinez JF.
Screening teniposide for Y-site physical incompatibilities.
Hosp Pharm 1994 ; 29: 1010-1017.
921 jornal Trissel LA, Gilbert DL, Martinez JF.
Incompatibility and compatibility of amphotericin B cholesteryl sulfate complex with selected other drugs during simulated Y-site administration.
Hosp Pharm 1998 ; 33: 284-292.
999 jornal Watson D.
Piggyback compatibility of antibiotics with pediatric parenteral nutrition solution.
JPEN 1985 ; 9: 220-224.
1022 jornal Hutchinson SMW.
Heparin and aminoglycosides instability.
Drug Intell Clin Pharm 1986 ; 20: 886.
1035 jornal Bisaillon S, Sarrazin R.
Compatibility of several antibiotics or hydrocortisone when added to metronidazole solution for intravenous infusion.
J Parenter Sci Technol 1983 ; 37: 129-132.
1047 jornal Souney PF, Colucci RD, Mariani G, Campbell D.
Compatibility of magnesium sulfate solutions with various antibiotics during simulated Y-site injection.
Am J Hosp Pharm 1984 ; 41: 323-324.
1057 jornal Cutie MR.
Compatibility of verapamil hydrochloride injection with commonly used additives.
Am J Hosp Pharm 1983 ; 40: 1205-1207.
1072 jornal Saltsmann CL, Tom CM, Mitchell A, Fan JH, Gailey RA.
Compatibility of levofloxacin with 34 medications during simulated Y-site administration.
Am J Health-Syst Pharm 1999 ; 56: 1458-1459.
1201 jornal Yuhas EM, Lofton FT, Rosenberg HA, Mayron D, Baldinus JG.
Cimetidine hydrochloride compatibility III: Room temperature stability in drug admixtures.
Am J Hosp Pharm 1981 ; 38: 1919-1922.
1315 jornal Halpern NA, Colucci RD, Alicea M, Greenstein R.
Visual compatibility of enalaprilat with commonly used critical care medications during simulated Y-site injection.
Int J Pharm Clin Pharmacol Ther Tox 1989 ; 27: 294-297.
1410 jornal Trissel LA, Martinez JF, Simmons M.
Compatibility of etoposide phosphate with selected drugs during simulated Y-site injection.
J Am Pharm Assoc 1999 ; 39: 141-145.
1415 jornal Trissel L.A, Gilbert D.L, Martinez J.F, Baker M.B, Walter W.V, Mirtallo J.M.
Compatibility of medications with 3-in-1 parenteral nutrition admixtures.
JPEN 1999 ; 23: 67-74.
1423 jornal Trissel LA, Martinez JF, Gilbert DL.
Compatibility of gemcitabine hyrochloride with 107 selected drugs during simulated Y-site injection.
J Am Pharm Assoc 1999 ; 39: 514-518.
1490 jornal Halpern NA, Colucci RD, Alicea M, Greenstein R.
The compatibility of nicardipine hydrochloride injection with various ICU medications during simulated Y-site injection.
Int J Pharm Clin Pharmacol Ther Tox 1989 ; 27: 250-254.
1625 jornal Trissel LA, Saenz C, Williams YW, Ingram D.
Incompatibilities of lansoprazole injection with other drugs during simulated Y-site coadministration.
Int J Pharm Compound 2001 ; 5: 314-321.
1712 jornal Trissel LA, Saenz CA.
Compatibility screening of Precedex during simulated Y-site administration with other drugs.
Int J Pharm Compound 2002 ; 6: 230-233.
1713 jornal Trissel LA, Saenz CA.
Compatibility screening of bivalirudin during simulated Y-site administration with other drugs.
Int J Pharm Compound 2002 ; 6: 311-315.
1721 jornal Trissel LA, Williams KY, Baker MB.
Compatibility screening of Hextend during simulated Y-site administration with other drugs.
Int J Pharm Compound 2001 ; 5: 69-72.
1754 jornal Trissel LA, Gilbert DL, Wolkin AC.
Compatibility of docetaxel with selected drugs during simulated Y-site administration.
Int J Pharm Compound 1999 ; 3: 241-244.
1759 jornal Servais H, Tulkens PM.
Stability and compatibility of ceftazidime administered by continuous infusion to intensive care patients.
Antimicrob Agents Chemother 2001 ; 45: 2643-2647.
1800 jornal Voytilla KL, Tyler LS, Rusho WJ.
Visual compatibility of azithromycin with 24 commonly used drugs during simulated Y-site delivery.
Am J Health-Syst Pharm 2002 ; 59: 853-855.
1803 jornal Trissel, LA, Saenz CA, Ogundele OB, Ingram D, Baker MB.
Compatibility of fenoldopam mesylate with other drugs during simulated Y-site administration.
Am J Health-Syst Pharm 2003 ; 60: 80-85.
1816 jornal Zhang Y, Trissel LA.
Stability of amikacin sulfate in autodose infusion system bags.
Int J Pharm Compound 2003 ; 7, 3: 230-232.
1868 jornal Husson E, Crauste-Manciet S, Hadj-Salah E, ,Segier JC, Broissard D.
Stabilité galénique de mélanges commercialisés de nutrition parentérale en présence de médicaments: médicaments dans le mélange.
Nutr Clin Metab 2003 ; 17: 8-14.
1925 jornal Trissel LA , Williams KY, Gilbert DL.
Compatibility screening of linezolid injection during simulated Y-site administration with other drugs and infusion solutions.
J Am Pharm Assoc 2000 ; 40: 515-519.
1953 jornal Trissel LA, Saenz CA, Ogundele AB, Ingram DS.
Physical compatibility of pemetrexed disodium with other drugs during simulated Y-site administration.
Am J Health-Syst Pharm 2004 ; 61: 2289-2293.
1982 jornal Trissel LA, Ogundele AB.
Compatibility of anidulafungin with other drugs during simulated Y-site administration.
Am J Health-Syst Pharm 2005 ; 62: 834-837.
2090 jornal Pere H, Chasse V, Forest JM, Hildgen P.
Compatibility of injectable pantoprazole in Y-site administration.
Pharmactuel 2004 ; 37: 193-196.
2109 jornal Pelletier E, Forest JM, Hildgen P.
Compatibilité de la kétamine injectable lors de l’administration en dérivé avec d’autres médicaments usuels.
Pharmactuel 2006 ; 39: 71-75.
2141 jornal Barinian N, Chanteux H, Viaene E, Servais H, Tulkens PM.
Stability and compatibility study of cefepime in comparaison with ceftazidime for potential administration by continuous infusion under conditions pertinent to ambulatory treatment of cystic fibrosis patients and to administration in intensive care units.
J Antimicrob Chemother 2003 ; 51: 651-658.
2231 jornal de Jongh R, Hens R, Basma V, mouton JW, Tulkens PM, Carryn S.
Continuous versus intermittent infusion of temocillin, a directed spectrum penicillin for intensive care patients with nosocomial pneumonia: stability, compatibility, population pharmacokinetic studies and breakpoint selection.
J Antimicrob Chemother 2008 ; 61, 2: 382-388.
2247 jornal Chan P, Heatherly K, Kupiec T.C, Trissel L.A.
Compatibility of caspofungin acetate injection with other drugs during simulated Y-site coadministration.
Int J Pharm Compound 2008 ; 12, 3: 276-278.
2262 jornal Brammer MK, Chan P, Heatherly K, Trusley C, Kupiec TC, Trissel LA, Psathas PA, Gilmor T, Schaufelberger D.
Compatibility of doripenem with other drugs during simulated Y-site administratioN
Am J Health-Syst Pharm 2008 ; 65: 1261-1265.
2269 jornal Chan P, Bishop A, Kupiec TC, Trissel LA, Gole D, Jimidar IM, Vermeersch H.
Compatibility of ceftobiprole medocaril with selected drugs during simulated Y-site administration.
Am J Health-Syst Pharm 2008 ; 65, 16: 1545-1551.
2296 Laboratório Témocilline (Negaban®) - Résumé des caractéristiques du produit
Eumedica 2017
3012 jornal Sullivan T, Forrest J.M, Leclair G.
Compatibility of Cloxacillin Sodium with Selected Intravenous Drugs During Simulated Y-Site Administration
Hosp Pharm 2015 ; 50, 3: 214-220.
3216 jornal Legris ME, Valiquette ME, Lavoie A, Forest JM, Leclair G.
Compatibilité physique par évaluation visuelle du salbutamol injectable lors de son administration en Y.
Pharmactuel 2011 ; 44, 1 : 14-18
3249 jornal Singh BM, Dedhiya MG, Dinunzio J, Chan P, Kupiec TC, Trissel LA, Laudano JB.
Compatibility of ceftaroline fosamil for injection with selected drugs during simulated Y-site administration.
Am J Health-Syst Pharm 2011 ; 68: 2163-2169.
3332 Laboratório Tigecycline (Tigacyl®) - Summary of Product characteristics
Pfizer 2012
3385 jornal Raverdi V, Ampe E, Hecq JD, Tulkens PM.
Stability and compatibility of vancomycin for administration by continuous infusion.
J Antimicrob Chemother 2013 ; 68: 1179-1182.
3408 jornal Tollec S, Touzin K, Pelletier E, Forest J.M.
Evaluation visuelle de la compatibilité physique de la naloxone avec d’autres médicaments intraveineux usuels.
Pharmactuel 2013 ; 46, 1 : 16-21.
3522 Laboratório Flucloxacillin - Summary of Product Characteristics.
Actavis 2013
3523 Laboratório Ceftriaxone (Rocephin®) - Summary of Product Characteristics.
Roche 2018
3526 Laboratório Clindamycin (Dalacin®) - Summary of Product Characteristics
Pharmacia 2010
3527 Laboratório Amoxicillin (Amoxil®) – Summary of Product Characteristics
Glaxo Smith Kline 2018
3540 Laboratório Heparin sodium - Summary of Product Characteristics.
Wockhardt 2010
3543 Laboratório Ceftazidime – Summary of Product Characteristics
Wockhardt 2013
3544 Laboratório Cefoperazone (Cefobid®) - Summary of Product Characteristics
Pfizer 2006
3545 Laboratório Amoxicilline / acide clavulanique - Résumé des caractéristiques du produit
Mylan SAS 2009
3546 Laboratório Cefamandole Flavelab - Résumé des caractéristiques du produit
Panpharma SA 2007
3548 Laboratório Cefepime (Maxipime®) - Summary of Product caracteristics.
Bristol Myers Squibb 2007
3549 Laboratório Amikacine B Braun - Résumé des caractéristiques du produit.
B Braun 2012
3578 Laboratório Cisplatin - Summary of Product Characteristics
Accord Healthcare 2011
3586 Laboratório Piperacilline tazobactam Actavis® - Résumé des caractéristiques du produit
Actavis France 2010
3587 Laboratório Ticarcilline/acide clavulanique (Timentin®) - Summary of Product Characteristics
GlaxoSmithKline 2014
3594 Laboratório Metronidazole (Flagyl®) - Summary of Product Characteristics
Zentiva 2013
3644 Laboratório Calcium gluconate® - Summary of Product Characteristics
Hameln Pharmaceuticals 2010
3656 Laboratório Teicoplanine (Targocid®) - Résumé des caractéristiques du produit
Sanofi Aventis France 2014
3674 Laboratório Erythromycin lactobionate - Summary of Product Characteristics
PanPharma 2016
3677 Laboratório Cefpirome (Cefrom®) - Résumé des caractéristiques du produit
Sanofi Aventis France 2008
3687 Laboratório Cefuroxime sodium - Summary of Product Characteristics
Stravencon 2013
3728 jornal Correard F, Savry A, Gauthier-Villano L, Pisano P, Pourroy B.
Visual compatibility of defibrotide with selected drugs during simulated Y-site administration.
Am J Health-Syst Pharm 2014 ; 71: 1288-1291.
3766 jornal Forrest J.M, Hildgen P.
Compatibilité de l’acétylcystéine injectable lors de son administration en Y avec d’autres médicaments usuels
Pharmactuel 2014 ; 47, 3 : 161-165.
3767 jornal Legris M.E, Lavoie A, Forrest J.M, Hildgen P.
Compatibilité par évaluation visuelle du thiopental injectable lors de son administration en Y avec des médicaments usuels.
Pharmactuel 2014 ; 47, 3 : 167-172.
3791 poster Sadou Yaye H, Burtet E, Hamel C, Aljhni R, Gard C, Tilleul P.
Étude de la compatibilité physico-chimique du phloroglucinol injectable durant les mélanges au sein des tubulures en Y.
Apifh Congress, Paris November 2014 2014
3824 jornal Boudi S, Roy H, Forest JM, Leclair G.
Compatibilité physique de l'association amoxicilline-acide clavulanique en injection avec plusieurs autres médicaments lors d'une administration en Y.
Pharmactuel 2023 2023;56,3:91-98
3827 poster Ghazi I.M, Hamada Y, Nicolau D.P.
Compatibility of tedizolid phosphate with selected intravenous drugs via simulated Y-site conditions.
ASHP Midyear 2015
3828 poster Thabit A.K, Hamada Y, Nicolau D.P.
Ceftozolane/tazobactam physical compatibility during simulated Y-site administration.
ASHP Midyear 2015
3829 poster So W, Kim L, Thabit A.K, Nicolau D.P, Kuti J.L.
Compatibility of isavunazonium sulfate during simulated Y-site administration.
ASHP Midyear 2015
3883 Laboratório Ceftazidime - Résumé des caractéristiques du produit
Arrow 2016
3964 jornal Audet M.A, Forest E, Friciu M, Forest J.M, Leclair G.
Compatibilité du citrate de caféine injectable avec plusieurs autres médicaments.
Pharmactuel 2017 ; 50,1 : 27-33.
4055 jornal Monogue M, Almarzoky Abuhussain S, Kuti J, Nicolau D.
Physical compatibility of fosfomycin for injection with select i.v. drugs during simulated Y-site administration.
Am J Health-Syst Pharm 2018 , 75, 1:36-44
4319 jornal Lessard J-J, Caron E, Schérer H, Forest J-M, Leclair G.
Compatibility of Y-site Injection of Meropenem Trihydrate With 101 Other Injectable Drugs.
Hosp Pharm 2020 ; 55, 5: 332-337.
4354 poster Sicard G, Donnette M, Martin N, Gensollen S, Pourroy B, Fanciullino R.
Compatibilité visuelle du Vyxeos lors d'administration en Y avec une sélection de médicaments injectables.
GERPAC Congress 2019 2019
4380 Laboratório Posaconazole (Noxafil®) - Summary of Product Characteristics
Merck Sharp & Dohme Limited 2019
4389 jornal Côté K, Correal F, Metras M.E, Friciu M, Forest J.M, Leclair G.
Compatibilité physique des médicaments administrés en Y aux soins intensifs, en particulier la dexmédétomidine, le lévosimendan et la kétamine.
Pharmactuel 2019 ;52,4:206-213
4419 jornal Holt R.J, Siegert S.W.K, Krishna A.
Physical Compatibility of Ibuprofen Lysine Injection with Selected Drugs During Simulated Y-site Injection.
J Pediatr Pharmacol Ther 2008 ; 13, 3: 155-161.
4524 poster Stucki C, Sautter A-M, Bonnabry P.
Physical compatibility of the propofol emulsion with 33 drugs used in anaesthesiology.
ESCP Symposium, Geneva, Switzerland 2009
4528 jornal Lu J, Liu Q, Kupiec T, Vail H, Lunch L, Fam D, Vu N.
Physical Compatibility of Cefiderocol with Selected Intravenous Drugs During Simulated Y-site Administration.
Int J Pharm Compound 2021 ;25,1:52-61
4603 jornal Vallée M, Barthélémy I, Friciu M, Pelletier E, Forest J.M, Benoit F, Leclair G.
Compatibility of Lactated Ringer’s Injection With 94 Selected Intravenous Drugs During Simulated Y-site Administration.
Hosp Pharm 2021 ; 56, 4: 228-234.
4650 Laboratório Ceftobiprole (Zevtera 500 mg powder for concentrate for solution for infusion.) Summary of Product Characteristics, Advanz Pharma updated 4 aug 2021.
Advanz Pharma 2021
4654 poster Sicard G, Donnette M, Martin N, Gensollen S, Pourroy B, Fanciullino R.
Compatibilité visuelle du Vyxeos® lors d'administration en Y avec une sélection de médicaments injectables.
Communication personnelle 2021
4742 jornal Macoviciuc M, Nguyen C, Forest J-M, Leclair G.
Compatibilité physique de l’acétaminophène injectable avec 102 autres médicaments lors d’une administration en Y.
Pharmactuel 2022 ; 55, 4: 247-255.
4801 jornal Ruiz V, Yuwei Shen Y, Abouelhassan Y, Fouad A, Nicolau D, Kuti J.
Physical compatibility of sulbactam/durlobactam with select intravenous drugs during simulated Y-site administration.
Am J Health-Syst Pharm 2024 ;51,1:
4867 poster Dazan D, Aït Taleb S, Laroyenne N, Hamam Y, Conreur L, Paoli-Lombardo R, Primas N, Lamy E, Castera-Ducros C, Curti C et al.
Etude des compatibilités entre la nalbuphine et d'autres principes actifs pour optimiser leur administration en service de pédiatrie.
CSH (SNPHPU) Congress sept 2024 2024
4964 Laboratório GLUCONATE DE CALCIUM 10 % B.BRAUN, solution pour perfusion - Résumé des caractéristiques du produit.
B BRAUN MELSUNGEN AG 2019
5076 Laboratório AMIKACINE PANPHARMA 250 mg/mL, solution injectable - Résumé des caractéristiques du produit.
Panmedica 2024

  Mentions Légales