viimane versioon :
27/04/2026
antibiootikum   Tobramycin sulfate  
Süsteravim
aerosool Silmatilgad suukaudne lahus
Stabiilsus lahustes Stabiilsust mõjutavad tegurid stabiilsust mõjutavad faktorid Sobimatus Manustamis viis Viited pdf
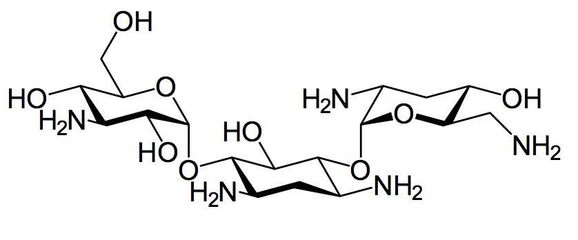
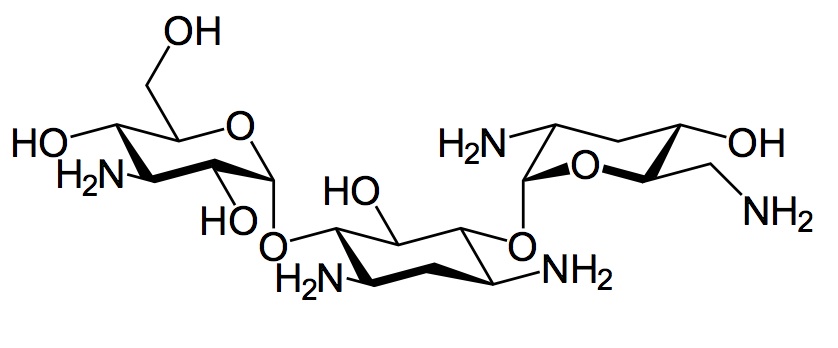
   keemiline struktuur  

Kaubanduslikud nimed erinevates maades   Kaubanduslikud nimed erinevates maades     

Preparaatide nimed on näitlikud ja abianete sisaldus võib erineda sõltuvalt riigist ja laborist

Bactob India
Beltob India
Bramicil Itaalia
Brulamycin Malaisia, Sloveenia, Ungari
Eltol India
Fytobra India
Gernebcin Saksamaa
Komitob India
Nebcin Araabia Ühendemiraadid, Egiptus, Kreeka, Saudi Araabia, Suurbritannia, uus-Meremaa
Nebcina Maroko, Norra, Rootsi, Taani
Nebcine Maroko, Prantsusmaa, Sloveenia
Nebicina Itaalia
Obracin Belgia, Holland, Luksemburg, Sveits
Tobracin Brasiilia, Egiptus, Saudi Araabia
Tobramicina Argentiina, Brasiilia, Ecuador, Hispaania, Itaalia, Kolumbia, Portugal, Tšiili
Tobramina Brasiilia
Tobramycin Ameerika ühendriigid, Austraalia, Iirimaa, Kanada, Norra, Saksamaa, Saudi Araabia, Suurbritannia
Tobramycine Holland, Iirimaa, Prantsusmaa
Tobrasix Austria
Tobrazid Saksamaa
Stabiilsust mõjutavad tegurid   Süsteravim   Stabiilsust mõjutavad tegurid : Tobramycin sulfate     
konteiner lahusti kontsentratsioon ingredient temperatuur ladustamine Stabiilsuse kestus Viited
klaas glükoos 5% 3,2 mg/ml
Süsteravim   Tobramycin sulfate   
Süsteravim   Filgrastim 40 µg/ml
25°C
4 Tund
pole täpsustatud 104
Tõenduspõhisuse tase B
klaas mitte ükski 0,8 mg/ml
Süsteravim   Tobramycin sulfate   
Süsteravim   Ofloxacin 2 mg/ml
25°C
48 Tund
pole täpsustatud 889
Tõenduspõhisuse tase D
polüvinüülkloriid naatriumkloriid 0.9% 1,2 mg/ml
Süsteravim   Tobramycin sulfate   
Süsteravim   Clindamycin phosphate 9 mg/ml
-20°C
28 päev
kaitsta valguse eest 565
Tõenduspõhisuse tase D
polüvinüülkloriid naatriumkloriid 0.9% 1 mg/ml
Süsteravim   Tobramycin sulfate   
Süsteravim   Ciprofloxacin lactate 1,5 mg/ml
25°C
48 Tund
valgus 434
polüvinüülkloriid naatriumkloriid 0.9% 0,2 & 0,8 mg/ml
Süsteravim   Tobramycin sulfate   
Süsteravim   Aztreonam 10 & 20 mg/ml
25°C
48 Tund
pole täpsustatud 19
Tõenduspõhisuse tase D
polüvinüülkloriid naatriumkloriid 0.9% 0,2 mg/ml
Süsteravim   Tobramycin sulfate   
Süsteravim   Aztreonam 10 & 20 mg/ml
4°C
7 päev
kaitsta valguse eest 19
Tõenduspõhisuse tase D
polüvinüülkloriid naatriumkloriid 0.9% 0,2 & 0,8 mg/ml
Süsteravim   Tobramycin sulfate   
Süsteravim   Aztreonam 10 & 20 mg/ml
4°C
7 päev
kaitsta valguse eest 19
Tõenduspõhisuse tase D
polüvinüülkloriid naatriumkloriid 0.9% 1 mg/ml
Süsteravim   Tobramycin sulfate   
Süsteravim   Ciprofloxacin lactate 1,5 mg/ml
4°C
48 Tund
kaitsta valguse eest 434
polüvinüülkloriid glükoos 5% 1,2 mg/ml
Süsteravim   Tobramycin sulfate   
Süsteravim   Clindamycin phosphate 9 mg/ml
-20°C
14 päev
kaitsta valguse eest 565
Tõenduspõhisuse tase D
polüvinüülkloriid glükoos 5% 1 mg/ml
Süsteravim   Tobramycin sulfate   
Süsteravim   Ciprofloxacin lactate 1,5 mg/ml
25°C
48 Tund
valgus 434
polüvinüülkloriid glükoos 5% 0,2 & 0,8 mg/ml
Süsteravim   Tobramycin sulfate   
Süsteravim   Aztreonam 10 & 20 mg/ml
25°C
48 Tund
pole täpsustatud 19
Tõenduspõhisuse tase D
polüvinüülkloriid glükoos 5% 0,2 mg/ml
Süsteravim   Tobramycin sulfate   
Süsteravim   Aztreonam 10 & 20 mg/ml
4°C
7 päev
kaitsta valguse eest 19
Tõenduspõhisuse tase D
polüvinüülkloriid glükoos 5% 0,2 & 0,8 mg/ml
Süsteravim   Tobramycin sulfate   
Süsteravim   Aztreonam 10 & 20 mg/ml
4°C
7 päev
kaitsta valguse eest 19
Tõenduspõhisuse tase D
polüvinüülkloriid glükoos 5% 1 mg/ml
Süsteravim   Tobramycin sulfate   
Süsteravim   Ciprofloxacin lactate 1,5 mg/ml
4°C
48 Tund
kaitsta valguse eest 434
polüvinüülkloriid Dianéal® PD2 2.5% glucose (Baxter) 0,008 mg/ml
Süsteravim   Tobramycin sulfate   
Süsteravim   Ceftazidime 0,125 mg/ml
24°C
16 Tund
pole täpsustatud 2369
Tõenduspõhisuse tase B
polüvinüülkloriid Dianéal® PD2 2.5% glucose (Baxter) 0,008 mg/ml
Süsteravim   Tobramycin sulfate   
Süsteravim   Ceftazidime 0,125 mg/ml
37°C
8 Tund
pole täpsustatud 2369
Tõenduspõhisuse tase B
polüolefiin mitte ükski 0,80 mg/ml
Süsteravim   Tobramycin sulfate   
Süsteravim   Linezolid 1,80 mg/ml
23°C
1 päev
kaitsta valguse eest 2353
Tõenduspõhisuse tase B+
polüolefiin mitte ükski 0,80 mg/ml
Süsteravim   Tobramycin sulfate   
Süsteravim   Linezolid 1,80 mg/ml
4°C
7 päev
kaitsta valguse eest 2353
Tõenduspõhisuse tase B+

  Mentions Légales