最新更新 :
27/04/2026
抗菌薬   Tobramycin sulfate  
注射薬
エアロゾル 点眼薬 経口液
溶媒内の安定性 混合時の安定性 安定性に影響する因子 互換性 投与経路 引用文献 PDF
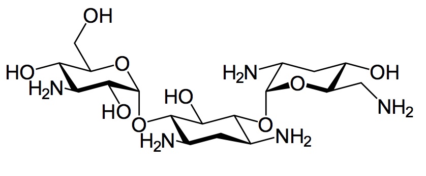
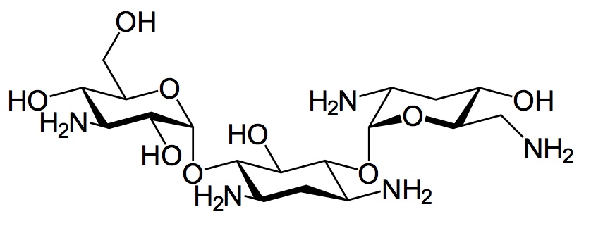
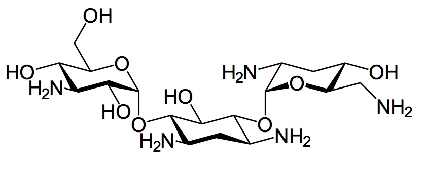
   化学構造  

商品名   商品名     

商品名、賦形剤は国、製薬会社ごとに異なることがあります

Bactob インド
Beltob インド
Bramicil イタリア
Brulamycin スロベニア, ハンガリー, マレーシア
Eltol インド
Fytobra インド
Gernebcin ドイツ
Komitob インド
Nebcin アラブ首長国連邦, イギリス, エジプト, ギリシア, サウジアラビア, ニュージーランド
Nebcina スウェーデン, デンマーク, ノルウェー, モロッコ
Nebcine スロベニア, フランス, モロッコ
Nebicina イタリア
Obracin オランダ, スイス, ベルギー, ルクセンブルグ
Tobracin エジプト, サウジアラビア, ブラジル
Tobramicina アルゼンチン, イタリア, エクアドル, コロンビア, スペイン, チリ, ブラジル, ポルトガル
Tobramina ブラジル
Tobramycin アイルランド, アメリカ, アーストラリア, イギリス, カナダ, サウジアラビア, ドイツ, ノルウェー
Tobramycine アイルランド, オランダ, フランス
Tobrasix オーストリア
Tobrazid ドイツ
混合時の安定性   注射薬   混合時の安定性 : Tobramycin sulfate     
容器 溶媒 濃度 化合物 温度 保管 安定期間 引用文献
ガラス グルコース5% 3,2 mg/ml
注射薬   Tobramycin sulfate   
注射薬   Filgrastim 40 µg/ml
25°C
4 時間
特記なし 104
エビデンスレベル B
ガラス なし 0,8 mg/ml
注射薬   Tobramycin sulfate   
注射薬   Ofloxacin 2 mg/ml
25°C
48 時間
特記なし 889
エビデンスレベル D
ポリ塩化ビニル(PVC) NaCl 0,9% 1,2 mg/ml
注射薬   Tobramycin sulfate   
注射薬   Clindamycin phosphate 9 mg/ml
-20°C
28 日
遮光 565
エビデンスレベル D
ポリ塩化ビニル(PVC) NaCl 0,9% 1 mg/ml
注射薬   Tobramycin sulfate   
注射薬   Ciprofloxacin lactate 1,5 mg/ml
25°C
48 時間
光 434
ポリ塩化ビニル(PVC) NaCl 0,9% 0,2 & 0,8 mg/ml
注射薬   Tobramycin sulfate   
注射薬   Aztreonam 10 & 20 mg/ml
25°C
48 時間
特記なし 19
エビデンスレベル D
ポリ塩化ビニル(PVC) NaCl 0,9% 0,2 mg/ml
注射薬   Tobramycin sulfate   
注射薬   Aztreonam 10 & 20 mg/ml
4°C
7 日
遮光 19
エビデンスレベル D
ポリ塩化ビニル(PVC) NaCl 0,9% 0,2 & 0,8 mg/ml
注射薬   Tobramycin sulfate   
注射薬   Aztreonam 10 & 20 mg/ml
4°C
7 日
遮光 19
エビデンスレベル D
ポリ塩化ビニル(PVC) NaCl 0,9% 1 mg/ml
注射薬   Tobramycin sulfate   
注射薬   Ciprofloxacin lactate 1,5 mg/ml
4°C
48 時間
遮光 434
ポリ塩化ビニル(PVC) グルコース5% 1,2 mg/ml
注射薬   Tobramycin sulfate   
注射薬   Clindamycin phosphate 9 mg/ml
-20°C
14 日
遮光 565
エビデンスレベル D
ポリ塩化ビニル(PVC) グルコース5% 1 mg/ml
注射薬   Tobramycin sulfate   
注射薬   Ciprofloxacin lactate 1,5 mg/ml
25°C
48 時間
光 434
ポリ塩化ビニル(PVC) グルコース5% 0,2 & 0,8 mg/ml
注射薬   Tobramycin sulfate   
注射薬   Aztreonam 10 & 20 mg/ml
25°C
48 時間
特記なし 19
エビデンスレベル D
ポリ塩化ビニル(PVC) グルコース5% 0,2 mg/ml
注射薬   Tobramycin sulfate   
注射薬   Aztreonam 10 & 20 mg/ml
4°C
7 日
遮光 19
エビデンスレベル D
ポリ塩化ビニル(PVC) グルコース5% 0,2 & 0,8 mg/ml
注射薬   Tobramycin sulfate   
注射薬   Aztreonam 10 & 20 mg/ml
4°C
7 日
遮光 19
エビデンスレベル D
ポリ塩化ビニル(PVC) グルコース5% 1 mg/ml
注射薬   Tobramycin sulfate   
注射薬   Ciprofloxacin lactate 1,5 mg/ml
4°C
48 時間
遮光 434
ポリ塩化ビニル(PVC) Dianéal® PD2 2.5% glucose (Baxter) 0,008 mg/ml
注射薬   Tobramycin sulfate   
注射薬   Ceftazidime 0,125 mg/ml
24°C
16 時間
特記なし 2369
エビデンスレベル B
ポリ塩化ビニル(PVC) Dianéal® PD2 2.5% glucose (Baxter) 0,008 mg/ml
注射薬   Tobramycin sulfate   
注射薬   Ceftazidime 0,125 mg/ml
37°C
8 時間
特記なし 2369
エビデンスレベル B
ポリオレフィン なし 0,80 mg/ml
注射薬   Tobramycin sulfate   
注射薬   Linezolid 1,80 mg/ml
23°C
1 日
遮光 2353
エビデンスレベル B+
ポリオレフィン なし 0,80 mg/ml
注射薬   Tobramycin sulfate   
注射薬   Linezolid 1,80 mg/ml
4°C
7 日
遮光 2353
エビデンスレベル B+

  Mentions Légales