Viimeisin päivitys :
27/04/2026
Antibiootit   Tobramycin sulfate  
Injektioneste
Aerosoli Oraaliliuos Silmätipat
Stabilius liuoksessa Stabilius seoksissa Tekijät, jotka vaikuttavat stabiliuteen Yhteensopivuus Antotapa Viitteet pdf
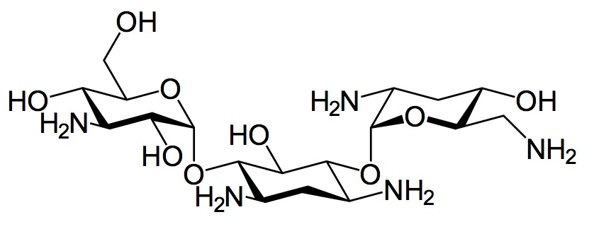
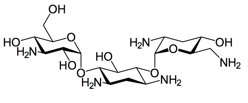
   Kemiallinen rakenne  

Kauppanimi   Kauppanimi     

Trade names are indicative and excipients composition can be different depending on the country and manufacturers

Bactob Intia
Beltob Intia
Bramicil Italia
Brulamycin Malesia, Slovenia, Unkari
Eltol Intia
Fytobra Intia
Gernebcin Saksa
Komitob Intia
Nebcin Egypti, Iso-Britannia, Kreikka, New Zealand, Saudi-Arabia, Yhdistyneet arabiemiirikunnat
Nebcina Marokko, Norja, Ruotsi, Tanska
Nebcine Marokko, Ranska, Slovenia
Nebicina Italia
Obracin Belgia, Hollanti, Luxemburg, Sveitsi
Tobracin Brasilia, Egypti, Saudi-Arabia
Tobramicina Argentiina, Brasilia, Chile, Ecuador, Espanja, Italia, Kolumbia, Portugali
Tobramina Brasilia
Tobramycin Australia, Irlanti, Iso-Britannia, Kanada, Norja, Saksa, Saudi-Arabia, Yhdysvallat
Tobramycine Hollanti, Irlanti, Ranska
Tobrasix Itävalta
Tobrazid Saksa
Stabilius seoksissa   Injektioneste   Stabilius seoksissa : Tobramycin sulfate     
Astia Liuotin Konsentraatio Yhdiste Lämpötila Säilytys Vakauden kesto Viitteet
Lasi Glukoosi 5% 3,2 mg/ml
Injektioneste   Tobramycin sulfate   
Injektioneste   Filgrastim 40 µg/ml
25°C
4 tunti
Ei määritetty 104
Näytön laajuus B
Lasi Ei mikään 0,8 mg/ml
Injektioneste   Tobramycin sulfate   
Injektioneste   Ofloxacin 2 mg/ml
25°C
48 tunti
Ei määritetty 889
Näytön laajuus D
Polyvinyylikloridi Natriumkloridi 0,9% 1,2 mg/ml
Injektioneste   Tobramycin sulfate   
Injektioneste   Clindamycin phosphate 9 mg/ml
-20°C
28 Päivä
Suojattava valolta 565
Näytön laajuus D
Polyvinyylikloridi Natriumkloridi 0,9% 1 mg/ml
Injektioneste   Tobramycin sulfate   
Injektioneste   Ciprofloxacin lactate 1,5 mg/ml
25°C
48 tunti
Valo 434
Polyvinyylikloridi Natriumkloridi 0,9% 0,2 & 0,8 mg/ml
Injektioneste   Tobramycin sulfate   
Injektioneste   Aztreonam 10 & 20 mg/ml
25°C
48 tunti
Ei määritetty 19
Näytön laajuus D
Polyvinyylikloridi Natriumkloridi 0,9% 0,2 mg/ml
Injektioneste   Tobramycin sulfate   
Injektioneste   Aztreonam 10 & 20 mg/ml
4°C
7 Päivä
Suojattava valolta 19
Näytön laajuus D
Polyvinyylikloridi Natriumkloridi 0,9% 0,2 & 0,8 mg/ml
Injektioneste   Tobramycin sulfate   
Injektioneste   Aztreonam 10 & 20 mg/ml
4°C
7 Päivä
Suojattava valolta 19
Näytön laajuus D
Polyvinyylikloridi Natriumkloridi 0,9% 1 mg/ml
Injektioneste   Tobramycin sulfate   
Injektioneste   Ciprofloxacin lactate 1,5 mg/ml
4°C
48 tunti
Suojattava valolta 434
Polyvinyylikloridi Glukoosi 5% 1,2 mg/ml
Injektioneste   Tobramycin sulfate   
Injektioneste   Clindamycin phosphate 9 mg/ml
-20°C
14 Päivä
Suojattava valolta 565
Näytön laajuus D
Polyvinyylikloridi Glukoosi 5% 1 mg/ml
Injektioneste   Tobramycin sulfate   
Injektioneste   Ciprofloxacin lactate 1,5 mg/ml
25°C
48 tunti
Valo 434
Polyvinyylikloridi Glukoosi 5% 0,2 & 0,8 mg/ml
Injektioneste   Tobramycin sulfate   
Injektioneste   Aztreonam 10 & 20 mg/ml
25°C
48 tunti
Ei määritetty 19
Näytön laajuus D
Polyvinyylikloridi Glukoosi 5% 0,2 mg/ml
Injektioneste   Tobramycin sulfate   
Injektioneste   Aztreonam 10 & 20 mg/ml
4°C
7 Päivä
Suojattava valolta 19
Näytön laajuus D
Polyvinyylikloridi Glukoosi 5% 0,2 & 0,8 mg/ml
Injektioneste   Tobramycin sulfate   
Injektioneste   Aztreonam 10 & 20 mg/ml
4°C
7 Päivä
Suojattava valolta 19
Näytön laajuus D
Polyvinyylikloridi Glukoosi 5% 1 mg/ml
Injektioneste   Tobramycin sulfate   
Injektioneste   Ciprofloxacin lactate 1,5 mg/ml
4°C
48 tunti
Suojattava valolta 434
Polyvinyylikloridi Dianéal® PD2 2.5% glucose (Baxter) 0,008 mg/ml
Injektioneste   Tobramycin sulfate   
Injektioneste   Ceftazidime 0,125 mg/ml
24°C
16 tunti
Ei määritetty 2369
Näytön laajuus B
Polyvinyylikloridi Dianéal® PD2 2.5% glucose (Baxter) 0,008 mg/ml
Injektioneste   Tobramycin sulfate   
Injektioneste   Ceftazidime 0,125 mg/ml
37°C
8 tunti
Ei määritetty 2369
Näytön laajuus B
Polyolefiini Ei mikään 0,80 mg/ml
Injektioneste   Tobramycin sulfate   
Injektioneste   Linezolid 1,80 mg/ml
23°C
1 Päivä
Suojattava valolta 2353
Näytön laajuus B+
Polyolefiini Ei mikään 0,80 mg/ml
Injektioneste   Tobramycin sulfate   
Injektioneste   Linezolid 1,80 mg/ml
4°C
7 Päivä
Suojattava valolta 2353
Näytön laajuus B+

  Mentions Légales