Pēdējā atjaunošana :
27/04/2026
Antibiotika   Tobramycin sulfate  
Injekcija
Acu pilieni Aerosols Orāls šķīdums
Šķīduma stabilitāte Maisījuma stabilitāte Stabilitāti ietekmējoši faktori Saderība Levadīšanas veids Literatūras saraksts pdf
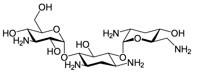
   Ķīmiskā uzbūve   

Oriģinālais nosaukums   Oriģinālais nosaukums     

Tirdzniecības nosaukumi ir apzīmējoši un palīgvielas var atšķirties dažādām valstīm un laboratorijām

Bactob Indija
Beltob Indija
Bramicil Itālija
Brulamycin Malaizija, Slovēnija, Ungārija
Eltol Indija
Fytobra Indija
Gernebcin Vācija
Komitob Indija
Nebcin Apvienotie Arābu Emirāti, Ēģipte, Grieķija, Jaunzēlande, Lielbritānija, Saūda Arābija
Nebcina Dānija, Maroka, Norvēģija, Zviedrija
Nebcine Francija, Maroka, Slovēnija
Nebicina Itālija
Obracin Beļģija, Holande, Luksemburga, Šveice
Tobracin Brazīlija, Ēģipte, Saūda Arābija
Tobramicina Argentīna, Brazīlija, Čīle, Ekvadora, Itālija, Kolumbija, Portugāle, Spānija
Tobramina Brazīlija
Tobramycin Amerikas Savienotās Valstis, Austrālija, Īrija, Kanāda, Lielbritānija, Norvēģija, Saūda Arābija, Vācija
Tobramycine Francija, Holande, Īrija
Tobrasix Austrija
Tobrazid Vācija
Maisījuma stabilitāte   Injekcija   Maisījuma stabilitāte : Tobramycin sulfate     
Iepakojums Šķīdinātājs Koncentrācija Savienojums Temperatūra Glabāšana Stabilitātes ilgums Literatūras saraksts
Stikls 5% glikoze 3,2 mg/ml
Injekcija   Tobramycin sulfate   
Injekcija   Filgrastim 40 µg/ml
25°C
4 Stunda
Nav specifisks 104
Pierādījumu līmenis B
Stikls Nekāds 0,8 mg/ml
Injekcija   Tobramycin sulfate   
Injekcija   Ofloxacin 2 mg/ml
25°C
48 Stunda
Nav specifisks 889
Pierādījumu līmenis D
Polivinilhlorīds Nātrija hlorīds 0.9% 1,2 mg/ml
Injekcija   Tobramycin sulfate   
Injekcija   Clindamycin phosphate 9 mg/ml
-20°C
28 Diena
Aizsargāt no gaismas 565
Pierādījumu līmenis D
Polivinilhlorīds Nātrija hlorīds 0.9% 1 mg/ml
Injekcija   Tobramycin sulfate   
Injekcija   Ciprofloxacin lactate 1,5 mg/ml
25°C
48 Stunda
Gaisma 434
Polivinilhlorīds Nātrija hlorīds 0.9% 0,2 & 0,8 mg/ml
Injekcija   Tobramycin sulfate   
Injekcija   Aztreonam 10 & 20 mg/ml
25°C
48 Stunda
Nav specifisks 19
Pierādījumu līmenis D
Polivinilhlorīds Nātrija hlorīds 0.9% 0,2 mg/ml
Injekcija   Tobramycin sulfate   
Injekcija   Aztreonam 10 & 20 mg/ml
4°C
7 Diena
Aizsargāt no gaismas 19
Pierādījumu līmenis D
Polivinilhlorīds Nātrija hlorīds 0.9% 0,2 & 0,8 mg/ml
Injekcija   Tobramycin sulfate   
Injekcija   Aztreonam 10 & 20 mg/ml
4°C
7 Diena
Aizsargāt no gaismas 19
Pierādījumu līmenis D
Polivinilhlorīds Nātrija hlorīds 0.9% 1 mg/ml
Injekcija   Tobramycin sulfate   
Injekcija   Ciprofloxacin lactate 1,5 mg/ml
4°C
48 Stunda
Aizsargāt no gaismas 434
Polivinilhlorīds 5% glikoze 1,2 mg/ml
Injekcija   Tobramycin sulfate   
Injekcija   Clindamycin phosphate 9 mg/ml
-20°C
14 Diena
Aizsargāt no gaismas 565
Pierādījumu līmenis D
Polivinilhlorīds 5% glikoze 1 mg/ml
Injekcija   Tobramycin sulfate   
Injekcija   Ciprofloxacin lactate 1,5 mg/ml
25°C
48 Stunda
Gaisma 434
Polivinilhlorīds 5% glikoze 0,2 & 0,8 mg/ml
Injekcija   Tobramycin sulfate   
Injekcija   Aztreonam 10 & 20 mg/ml
25°C
48 Stunda
Nav specifisks 19
Pierādījumu līmenis D
Polivinilhlorīds 5% glikoze 0,2 mg/ml
Injekcija   Tobramycin sulfate   
Injekcija   Aztreonam 10 & 20 mg/ml
4°C
7 Diena
Aizsargāt no gaismas 19
Pierādījumu līmenis D
Polivinilhlorīds 5% glikoze 0,2 & 0,8 mg/ml
Injekcija   Tobramycin sulfate   
Injekcija   Aztreonam 10 & 20 mg/ml
4°C
7 Diena
Aizsargāt no gaismas 19
Pierādījumu līmenis D
Polivinilhlorīds 5% glikoze 1 mg/ml
Injekcija   Tobramycin sulfate   
Injekcija   Ciprofloxacin lactate 1,5 mg/ml
4°C
48 Stunda
Aizsargāt no gaismas 434
Polivinilhlorīds Dianéal® PD2 2.5% glucose (Baxter) 0,008 mg/ml
Injekcija   Tobramycin sulfate   
Injekcija   Ceftazidime 0,125 mg/ml
24°C
16 Stunda
Nav specifisks 2369
Pierādījumu līmenis B
Polivinilhlorīds Dianéal® PD2 2.5% glucose (Baxter) 0,008 mg/ml
Injekcija   Tobramycin sulfate   
Injekcija   Ceftazidime 0,125 mg/ml
37°C
8 Stunda
Nav specifisks 2369
Pierādījumu līmenis B
Poliolefīns Nekāds 0,80 mg/ml
Injekcija   Tobramycin sulfate   
Injekcija   Linezolid 1,80 mg/ml
23°C
1 Diena
Aizsargāt no gaismas 2353
Pierādījumu līmenis B+
Poliolefīns Nekāds 0,80 mg/ml
Injekcija   Tobramycin sulfate   
Injekcija   Linezolid 1,80 mg/ml
4°C
7 Diena
Aizsargāt no gaismas 2353
Pierādījumu līmenis B+

  Mentions Légales