Останнє оновлення :
27/04/2026
Антибіотик   Tobramycin sulfate  
ін'єкція
аерозоль Очні краплі Розчин для перорального застосування
Стійкість в розчинах Стійкість сумішей Фактори, що впливають на стабільність Сумісність Шлях введення Список літератури pdf
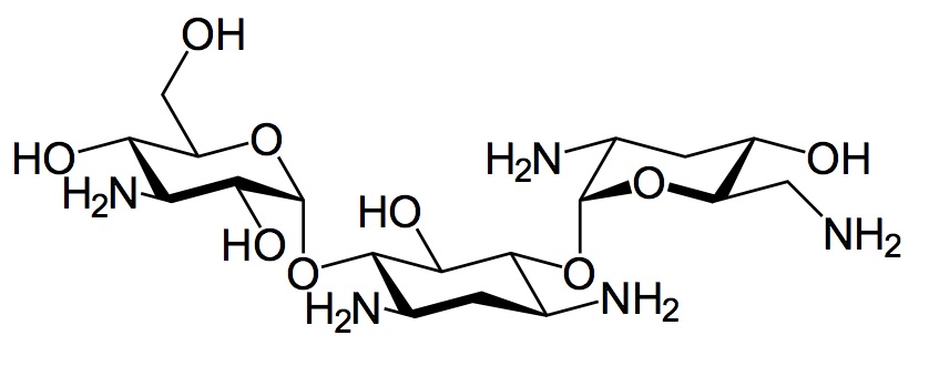
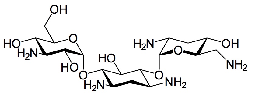
   Хімічна структура  

Торгова назва   Торгова назва     

Торгові назви є орієнтовними, а склад допоміжних речовин може бути різним залежно від країни та виробника

Bactob Індія
Beltob Індія
Bramicil Італія
Brulamycin Малайзія, Словенія, Угорщина
Eltol Індія
Fytobra Індія
Gernebcin Німеччина
Komitob Індія
Nebcin Єгипет, Великобританія, Греція, Нова Зеландія, Об'єднані Арабські Емірати, Саудівська Аравія
Nebcina Данія, Марокко, Норвегія, Швеція
Nebcine Марокко, Словенія, Франція
Nebicina Італія
Obracin Бельгія, Люксембург, Нідерланди, Швейцарія
Tobracin Єгипет, Бразилія, Саудівська Аравія
Tobramicina Іспанія, Італія, Аргентина, Бразилія, Еквадор, Колумбія, Португалія, Чилі
Tobramina Бразилія
Tobramycin Ірландія, Австралія, Великобританія, Канада, Німеччина, Норвегія, Саудівська Аравія, Сполучені Штати Америки
Tobramycine Ірландія, Нідерланди, Франція
Tobrasix Австрія
Tobrazid Німеччина
Стійкість сумішей   ін'єкція   Стійкість сумішей : Tobramycin sulfate     
Контейнер Розчинник Концентрація З'єднання температура Зберігання Тривалість стабільності Список літератури
скло Глюкоза 5% 3,2 mg/ml
ін'єкція   Tobramycin sulfate   
ін'єкція   Filgrastim 40 µg/ml
25°C
4 годину
Не визначено 104
Рівень доказовості B
скло Жодного 0,8 mg/ml
ін'єкція   Tobramycin sulfate   
ін'єкція   Ofloxacin 2 mg/ml
25°C
48 годину
Не визначено 889
Рівень доказовості D
Полівініл хлорид Натрію хлорид 0,9% 1,2 mg/ml
ін'єкція   Tobramycin sulfate   
ін'єкція   Clindamycin phosphate 9 mg/ml
-20°C
28 День
Берегти від світла 565
Рівень доказовості D
Полівініл хлорид Натрію хлорид 0,9% 1 mg/ml
ін'єкція   Tobramycin sulfate   
ін'єкція   Ciprofloxacin lactate 1,5 mg/ml
25°C
48 годину
світло 434
Полівініл хлорид Натрію хлорид 0,9% 0,2 & 0,8 mg/ml
ін'єкція   Tobramycin sulfate   
ін'єкція   Aztreonam 10 & 20 mg/ml
25°C
48 годину
Не визначено 19
Рівень доказовості D
Полівініл хлорид Натрію хлорид 0,9% 0,2 mg/ml
ін'єкція   Tobramycin sulfate   
ін'єкція   Aztreonam 10 & 20 mg/ml
4°C
7 День
Берегти від світла 19
Рівень доказовості D
Полівініл хлорид Натрію хлорид 0,9% 0,2 & 0,8 mg/ml
ін'єкція   Tobramycin sulfate   
ін'єкція   Aztreonam 10 & 20 mg/ml
4°C
7 День
Берегти від світла 19
Рівень доказовості D
Полівініл хлорид Натрію хлорид 0,9% 1 mg/ml
ін'єкція   Tobramycin sulfate   
ін'єкція   Ciprofloxacin lactate 1,5 mg/ml
4°C
48 годину
Берегти від світла 434
Полівініл хлорид Глюкоза 5% 1,2 mg/ml
ін'єкція   Tobramycin sulfate   
ін'єкція   Clindamycin phosphate 9 mg/ml
-20°C
14 День
Берегти від світла 565
Рівень доказовості D
Полівініл хлорид Глюкоза 5% 1 mg/ml
ін'єкція   Tobramycin sulfate   
ін'єкція   Ciprofloxacin lactate 1,5 mg/ml
25°C
48 годину
світло 434
Полівініл хлорид Глюкоза 5% 0,2 & 0,8 mg/ml
ін'єкція   Tobramycin sulfate   
ін'єкція   Aztreonam 10 & 20 mg/ml
25°C
48 годину
Не визначено 19
Рівень доказовості D
Полівініл хлорид Глюкоза 5% 0,2 mg/ml
ін'єкція   Tobramycin sulfate   
ін'єкція   Aztreonam 10 & 20 mg/ml
4°C
7 День
Берегти від світла 19
Рівень доказовості D
Полівініл хлорид Глюкоза 5% 0,2 & 0,8 mg/ml
ін'єкція   Tobramycin sulfate   
ін'єкція   Aztreonam 10 & 20 mg/ml
4°C
7 День
Берегти від світла 19
Рівень доказовості D
Полівініл хлорид Глюкоза 5% 1 mg/ml
ін'єкція   Tobramycin sulfate   
ін'єкція   Ciprofloxacin lactate 1,5 mg/ml
4°C
48 годину
Берегти від світла 434
Полівініл хлорид Dianéal® PD2 2.5% glucose (Baxter) 0,008 mg/ml
ін'єкція   Tobramycin sulfate   
ін'єкція   Ceftazidime 0,125 mg/ml
24°C
16 годину
Не визначено 2369
Рівень доказовості B
Полівініл хлорид Dianéal® PD2 2.5% glucose (Baxter) 0,008 mg/ml
ін'єкція   Tobramycin sulfate   
ін'єкція   Ceftazidime 0,125 mg/ml
37°C
8 годину
Не визначено 2369
Рівень доказовості B
Поліолефін Жодного 0,80 mg/ml
ін'єкція   Tobramycin sulfate   
ін'єкція   Linezolid 1,80 mg/ml
23°C
1 День
Берегти від світла 2353
Рівень доказовості B+
Поліолефін Жодного 0,80 mg/ml
ін'єкція   Tobramycin sulfate   
ін'єкція   Linezolid 1,80 mg/ml
4°C
7 День
Берегти від світла 2353
Рівень доказовості B+

  Mentions Légales