Última actualización :
27/04/2026
Antibiótico   Tobramycin sulfate  
Inyectables
Aerosol Gotas oculares Solución Oral
Estabilidad en solucion Estabilidad en mezcla Factores que influyen sobre la estabilidad Compatibilidades método de inyección Bibliografía pdf
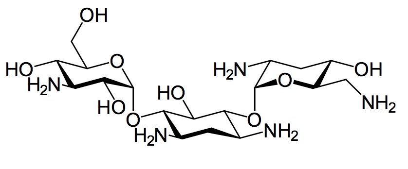
   Estructura química  

Nombre comercial   Nombre comercial     

Los nombres comerciales son orientativos y los excipientes de la formulación pueden ser distintos dependiendo del país y del laboratorio fabricante.

Bactob India
Beltob India
Bramicil Italia
Brulamycin Eslovenia, Hungría, Malasia
Eltol India
Fytobra India
Gernebcin Alemania
Komitob India
Nebcin Arabia Saudita, Egipto, Emiratos Árabes Unidos, Gran Bretaña, Grecia, Nueva Zelanda
Nebcina Dinamarca, Marruecos, Noruega, Suecia
Nebcine Eslovenia, Francia, Marruecos
Nebicina Italia
Obracin Bélgica, Luxemburgo, Países Bajos, Suiza
Tobracin Arabia Saudita, Brasil, Egipto
Tobramicina Argentina, Brasil, Chile, Colombia, Ecuador, España, Italia, Portugal
Tobramina Brasil
Tobramycin Alemania, Arabia Saudita, Australia, Canadá, Estados Unidos de América, Gran Bretaña, Irlanda, Noruega
Tobramycine Francia, Irlanda, Países Bajos
Tobrasix Austria
Tobrazid Alemania
Estabilidad en mezcla   Inyectables   Estabilidad en mezcla : Tobramycin sulfate     
Envase Solvente Concentración Molécula Temperatura Conservación Duración de la estabilidad Bibliografía
Vidrio Glucosa 5% 3,2 mg/ml
Inyectables   Tobramycin sulfate   
Inyectables   Filgrastim 40 µg/ml
25°C
4 Hora
No precisada 104
Nivel de evidencia B
Vidrio Ninguno 0,8 mg/ml
Inyectables   Tobramycin sulfate   
Inyectables   Ofloxacin 2 mg/ml
25°C
48 Hora
No precisada 889
Nivel de evidencia D
Cloruro de polivinilo Cloruro de sodio 0,9% 1,2 mg/ml
Inyectables   Tobramycin sulfate   
Inyectables   Clindamycin phosphate 9 mg/ml
-20°C
28 Día
A cubierto de la luz 565
Nivel de evidencia D
Cloruro de polivinilo Cloruro de sodio 0,9% 1 mg/ml
Inyectables   Tobramycin sulfate   
Inyectables   Ciprofloxacin lactate 1,5 mg/ml
25°C
48 Hora
Luz 434
Cloruro de polivinilo Cloruro de sodio 0,9% 0,2 & 0,8 mg/ml
Inyectables   Tobramycin sulfate   
Inyectables   Aztreonam 10 & 20 mg/ml
25°C
48 Hora
No precisada 19
Nivel de evidencia D
Cloruro de polivinilo Cloruro de sodio 0,9% 0,2 mg/ml
Inyectables   Tobramycin sulfate   
Inyectables   Aztreonam 10 & 20 mg/ml
4°C
7 Día
A cubierto de la luz 19
Nivel de evidencia D
Cloruro de polivinilo Cloruro de sodio 0,9% 0,2 & 0,8 mg/ml
Inyectables   Tobramycin sulfate   
Inyectables   Aztreonam 10 & 20 mg/ml
4°C
7 Día
A cubierto de la luz 19
Nivel de evidencia D
Cloruro de polivinilo Cloruro de sodio 0,9% 1 mg/ml
Inyectables   Tobramycin sulfate   
Inyectables   Ciprofloxacin lactate 1,5 mg/ml
4°C
48 Hora
A cubierto de la luz 434
Cloruro de polivinilo Glucosa 5% 1,2 mg/ml
Inyectables   Tobramycin sulfate   
Inyectables   Clindamycin phosphate 9 mg/ml
-20°C
14 Día
A cubierto de la luz 565
Nivel de evidencia D
Cloruro de polivinilo Glucosa 5% 1 mg/ml
Inyectables   Tobramycin sulfate   
Inyectables   Ciprofloxacin lactate 1,5 mg/ml
25°C
48 Hora
Luz 434
Cloruro de polivinilo Glucosa 5% 0,2 & 0,8 mg/ml
Inyectables   Tobramycin sulfate   
Inyectables   Aztreonam 10 & 20 mg/ml
25°C
48 Hora
No precisada 19
Nivel de evidencia D
Cloruro de polivinilo Glucosa 5% 0,2 mg/ml
Inyectables   Tobramycin sulfate   
Inyectables   Aztreonam 10 & 20 mg/ml
4°C
7 Día
A cubierto de la luz 19
Nivel de evidencia D
Cloruro de polivinilo Glucosa 5% 0,2 & 0,8 mg/ml
Inyectables   Tobramycin sulfate   
Inyectables   Aztreonam 10 & 20 mg/ml
4°C
7 Día
A cubierto de la luz 19
Nivel de evidencia D
Cloruro de polivinilo Glucosa 5% 1 mg/ml
Inyectables   Tobramycin sulfate   
Inyectables   Ciprofloxacin lactate 1,5 mg/ml
4°C
48 Hora
A cubierto de la luz 434
Cloruro de polivinilo Dianéal® PD2 2.5% glucose (Baxter) 0,008 mg/ml
Inyectables   Tobramycin sulfate   
Inyectables   Ceftazidime 0,125 mg/ml
24°C
16 Hora
No precisada 2369
Nivel de evidencia B
Cloruro de polivinilo Dianéal® PD2 2.5% glucose (Baxter) 0,008 mg/ml
Inyectables   Tobramycin sulfate   
Inyectables   Ceftazidime 0,125 mg/ml
37°C
8 Hora
No precisada 2369
Nivel de evidencia B
Poliolefina Ninguno 0,80 mg/ml
Inyectables   Tobramycin sulfate   
Inyectables   Linezolid 1,80 mg/ml
23°C
1 Día
A cubierto de la luz 2353
Nivel de evidencia B+
Poliolefina Ninguno 0,80 mg/ml
Inyectables   Tobramycin sulfate   
Inyectables   Linezolid 1,80 mg/ml
4°C
7 Día
A cubierto de la luz 2353
Nivel de evidencia B+

  Mentions Légales