Zadnji put ažurirano :
27/04/2026
antibiotik   Tobramycin sulfate  
injekcija
aerosol kapi za oko oralna otopina
Stabilizacija rješenja Stabilnost mješavine Stabilizacijski faktor Kompatibilnosti način davanja lijeka Bibliografija pdf
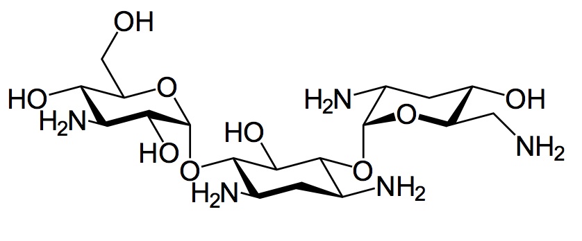
   Kemijska struktura  

Nekomercijalni   Nekomercijalni     

Zaštićeni nazivi su indikativni i sastav ekscipijensa može biti različit ovisno o državi i laboratorijima

Bactob Indija
Beltob Indija
Bramicil Italija
Brulamycin Madžarska, Malezija, Slovenija
Eltol Indija
Fytobra Indija
Gernebcin Njemačka
Komitob Indija
Nebcin Egipat, Grčka, novi Zeland, Saudijska Arabija, Ujedinjeni Arapski Emirati, Velika Britanija
Nebcina Danska, Maroko, Norveška, Švedska
Nebcine Francuska, Maroko, Slovenija
Nebicina Italija
Obracin Belgija, Luksemburg, Nizozemska, Švicarska
Tobracin Brazil, Egipat, Saudijska Arabija
Tobramicina Argentina, Brazil, Čile, Ekvador, Italija, Kolumbija, Portugal, Španjolska
Tobramina Brazil
Tobramycin Australija, Irska, Kanada, Njemačka, Norveška, S A D, Saudijska Arabija, Velika Britanija
Tobramycine Francuska, Irska, Nizozemska
Tobrasix Austrija
Tobrazid Njemačka
Stabilnost mješavine   injekcija   Stabilnost mješavine : Tobramycin sulfate     
Kontejner sredstvo za rastapanje koncentracija molekula temperatura Konzerviranje Trajanje stabilnosti Bibliografija
čaša glukoza 5% 3,2 mg/ml
injekcija   Tobramycin sulfate   
injekcija   Filgrastim 40 µg/ml
25°C
4 sat
nespecifičan 104
Razina dokaza B
čaša nijedan 0,8 mg/ml
injekcija   Tobramycin sulfate   
injekcija   Ofloxacin 2 mg/ml
25°C
48 sat
nespecifičan 889
Razina dokaza D
polivinilklorid natrijumkorid 0,9% 1,2 mg/ml
injekcija   Tobramycin sulfate   
injekcija   Clindamycin phosphate 9 mg/ml
-20°C
28 dan
Zaštićeno od svjetlosti 565
Razina dokaza D
polivinilklorid natrijumkorid 0,9% 1 mg/ml
injekcija   Tobramycin sulfate   
injekcija   Ciprofloxacin lactate 1,5 mg/ml
25°C
48 sat
svjetlost 434
polivinilklorid natrijumkorid 0,9% 0,2 & 0,8 mg/ml
injekcija   Tobramycin sulfate   
injekcija   Aztreonam 10 & 20 mg/ml
25°C
48 sat
nespecifičan 19
Razina dokaza D
polivinilklorid natrijumkorid 0,9% 0,2 mg/ml
injekcija   Tobramycin sulfate   
injekcija   Aztreonam 10 & 20 mg/ml
4°C
7 dan
Zaštićeno od svjetlosti 19
Razina dokaza D
polivinilklorid natrijumkorid 0,9% 0,2 & 0,8 mg/ml
injekcija   Tobramycin sulfate   
injekcija   Aztreonam 10 & 20 mg/ml
4°C
7 dan
Zaštićeno od svjetlosti 19
Razina dokaza D
polivinilklorid natrijumkorid 0,9% 1 mg/ml
injekcija   Tobramycin sulfate   
injekcija   Ciprofloxacin lactate 1,5 mg/ml
4°C
48 sat
Zaštićeno od svjetlosti 434
polivinilklorid glukoza 5% 1,2 mg/ml
injekcija   Tobramycin sulfate   
injekcija   Clindamycin phosphate 9 mg/ml
-20°C
14 dan
Zaštićeno od svjetlosti 565
Razina dokaza D
polivinilklorid glukoza 5% 1 mg/ml
injekcija   Tobramycin sulfate   
injekcija   Ciprofloxacin lactate 1,5 mg/ml
25°C
48 sat
svjetlost 434
polivinilklorid glukoza 5% 0,2 & 0,8 mg/ml
injekcija   Tobramycin sulfate   
injekcija   Aztreonam 10 & 20 mg/ml
25°C
48 sat
nespecifičan 19
Razina dokaza D
polivinilklorid glukoza 5% 0,2 mg/ml
injekcija   Tobramycin sulfate   
injekcija   Aztreonam 10 & 20 mg/ml
4°C
7 dan
Zaštićeno od svjetlosti 19
Razina dokaza D
polivinilklorid glukoza 5% 0,2 & 0,8 mg/ml
injekcija   Tobramycin sulfate   
injekcija   Aztreonam 10 & 20 mg/ml
4°C
7 dan
Zaštićeno od svjetlosti 19
Razina dokaza D
polivinilklorid glukoza 5% 1 mg/ml
injekcija   Tobramycin sulfate   
injekcija   Ciprofloxacin lactate 1,5 mg/ml
4°C
48 sat
Zaštićeno od svjetlosti 434
polivinilklorid Dianéal® PD2 2.5% glucose (Baxter) 0,008 mg/ml
injekcija   Tobramycin sulfate   
injekcija   Ceftazidime 0,125 mg/ml
24°C
16 sat
nespecifičan 2369
Razina dokaza B
polivinilklorid Dianéal® PD2 2.5% glucose (Baxter) 0,008 mg/ml
injekcija   Tobramycin sulfate   
injekcija   Ceftazidime 0,125 mg/ml
37°C
8 sat
nespecifičan 2369
Razina dokaza B
poliolefin nijedan 0,80 mg/ml
injekcija   Tobramycin sulfate   
injekcija   Linezolid 1,80 mg/ml
23°C
1 dan
Zaštićeno od svjetlosti 2353
Razina dokaza B+
poliolefin nijedan 0,80 mg/ml
injekcija   Tobramycin sulfate   
injekcija   Linezolid 1,80 mg/ml
4°C
7 dan
Zaštićeno od svjetlosti 2353
Razina dokaza B+

  Mentions Légales