Seneste opdatering :
27/04/2026
Antibiotisk   Tobramycin sulfate  
Injektion
Aerosol Oral opløsning Øjendråber
Stabilitet i (vandige) opløsninger Stabilitet i blandinger Faktorer der påvirker stabiliteten Kompatibilitet Administrationsvej Bibliografi pdf
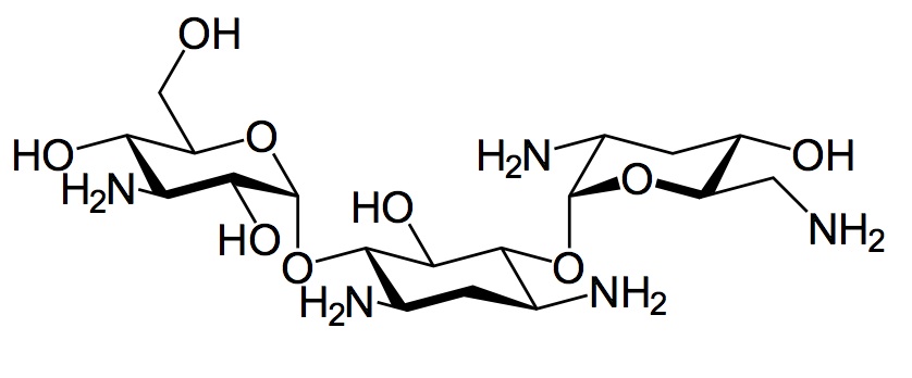
   Kemisk struktur  

Handelsnavn   Handelsnavn     

Handel navne er vejledende og hjælpestoffer sammensætning kan være forskellig afhængigt af landet og laboratorier

Bactob Indien
Beltob Indien
Bramicil Italien
Brulamycin Malaysia, Slovenien, Ungarn
Eltol Indien
Fytobra Indien
Gernebcin Tyskland
Komitob Indien
Nebcin Forenede Arabiske Emirater, Grækenland, New Zealand, Saudi-Arabien, Storbritanien, Ægypten
Nebcina Danmark, Marokko, Norge, Sverige
Nebcine Frankrig, Marokko, Slovenien
Nebicina Italien
Obracin Belgien, Holland, Luxemborg, Schweiz
Tobracin Brasilien, Saudi-Arabien, Ægypten
Tobramicina Argentina, Brasilien, Chile, Colombia, Ecuador, Italien, Portugal, Spanien
Tobramina Brasilien
Tobramycin Australien, Canada, Irland, Norge, Saudi-Arabien, Storbritanien, Tyskland, USA
Tobramycine Frankrig, Holland, Irland
Tobrasix Østrig
Tobrazid Tyskland
Stabilitet i blandinger   Injektion   Stabilitet i blandinger : Tobramycin sulfate     
Beholder Opløsningsmiddel Koncentration Molekyle Temperatur Konservering Varighed af stabilitet Bibliografi
Glas 5 % Glukose 3,2 mg/ml
Injektion   Tobramycin sulfate   
Injektion   Filgrastim 40 µg/ml
25°C
4 Time
Ikke nærmere angivet 104
Level af bevismateriale B
Glas Ingen 0,8 mg/ml
Injektion   Tobramycin sulfate   
Injektion   Ofloxacin 2 mg/ml
25°C
48 Time
Ikke nærmere angivet 889
Level af bevismateriale D
Polyvinylklorid 0,9 % Natriumklorid 1,2 mg/ml
Injektion   Tobramycin sulfate   
Injektion   Clindamycin phosphate 9 mg/ml
-20°C
28 Dag
Beskyt mod lys 565
Level af bevismateriale D
Polyvinylklorid 0,9 % Natriumklorid 1 mg/ml
Injektion   Tobramycin sulfate   
Injektion   Ciprofloxacin lactate 1,5 mg/ml
25°C
48 Time
Lys 434
Polyvinylklorid 0,9 % Natriumklorid 0,2 & 0,8 mg/ml
Injektion   Tobramycin sulfate   
Injektion   Aztreonam 10 & 20 mg/ml
25°C
48 Time
Ikke nærmere angivet 19
Level af bevismateriale D
Polyvinylklorid 0,9 % Natriumklorid 0,2 mg/ml
Injektion   Tobramycin sulfate   
Injektion   Aztreonam 10 & 20 mg/ml
4°C
7 Dag
Beskyt mod lys 19
Level af bevismateriale D
Polyvinylklorid 0,9 % Natriumklorid 0,2 & 0,8 mg/ml
Injektion   Tobramycin sulfate   
Injektion   Aztreonam 10 & 20 mg/ml
4°C
7 Dag
Beskyt mod lys 19
Level af bevismateriale D
Polyvinylklorid 0,9 % Natriumklorid 1 mg/ml
Injektion   Tobramycin sulfate   
Injektion   Ciprofloxacin lactate 1,5 mg/ml
4°C
48 Time
Beskyt mod lys 434
Polyvinylklorid 5 % Glukose 1,2 mg/ml
Injektion   Tobramycin sulfate   
Injektion   Clindamycin phosphate 9 mg/ml
-20°C
14 Dag
Beskyt mod lys 565
Level af bevismateriale D
Polyvinylklorid 5 % Glukose 1 mg/ml
Injektion   Tobramycin sulfate   
Injektion   Ciprofloxacin lactate 1,5 mg/ml
25°C
48 Time
Lys 434
Polyvinylklorid 5 % Glukose 0,2 & 0,8 mg/ml
Injektion   Tobramycin sulfate   
Injektion   Aztreonam 10 & 20 mg/ml
25°C
48 Time
Ikke nærmere angivet 19
Level af bevismateriale D
Polyvinylklorid 5 % Glukose 0,2 mg/ml
Injektion   Tobramycin sulfate   
Injektion   Aztreonam 10 & 20 mg/ml
4°C
7 Dag
Beskyt mod lys 19
Level af bevismateriale D
Polyvinylklorid 5 % Glukose 0,2 & 0,8 mg/ml
Injektion   Tobramycin sulfate   
Injektion   Aztreonam 10 & 20 mg/ml
4°C
7 Dag
Beskyt mod lys 19
Level af bevismateriale D
Polyvinylklorid 5 % Glukose 1 mg/ml
Injektion   Tobramycin sulfate   
Injektion   Ciprofloxacin lactate 1,5 mg/ml
4°C
48 Time
Beskyt mod lys 434
Polyvinylklorid Dianéal® PD2 2.5% glucose (Baxter) 0,008 mg/ml
Injektion   Tobramycin sulfate   
Injektion   Ceftazidime 0,125 mg/ml
24°C
16 Time
Ikke nærmere angivet 2369
Level af bevismateriale B
Polyvinylklorid Dianéal® PD2 2.5% glucose (Baxter) 0,008 mg/ml
Injektion   Tobramycin sulfate   
Injektion   Ceftazidime 0,125 mg/ml
37°C
8 Time
Ikke nærmere angivet 2369
Level af bevismateriale B
Polyolefin Ingen 0,80 mg/ml
Injektion   Tobramycin sulfate   
Injektion   Linezolid 1,80 mg/ml
23°C
1 Dag
Beskyt mod lys 2353
Level af bevismateriale B+
Polyolefin Ingen 0,80 mg/ml
Injektion   Tobramycin sulfate   
Injektion   Linezolid 1,80 mg/ml
4°C
7 Dag
Beskyt mod lys 2353
Level af bevismateriale B+

  Mentions Légales