Siste oppdatering :
27/04/2026
Antibiotika   Tobramycin sulfate  
Injeksjon
Aerosol Mikstur Øyedråper
Oppløsningsstabilitet Stabilitet i blandinger Faktorer som påvirker stabiliteten Kompatibilitet Administrasjonsmåte Referanser pdf
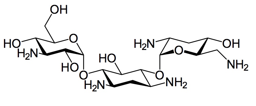
   Kjemisk struktur  

Handelsnavn   Handelsnavn     

Handelsnavn er veiledende og sammensetning av hjelpestoffer kan være forskjellig avhengig av land og produsent

Bactob India
Beltob India
Bramicil Italia
Brulamycin Malaysia, Slovenia, Ungarn
Eltol India
Fytobra India
Gernebcin Tyskland
Komitob India
Nebcin De forente arabiske emirater, Egypt, Hellas, New Zealand, Saudi-Arabia, Storbritannia
Nebcina Danmark, Marokko, Norge, Sverige
Nebcine Frankrike, Marokko, Slovenia
Nebicina Italia
Obracin Belgia, Luxembourg, Nederland, Sveits
Tobracin Brasil, Egypt, Saudi-Arabia
Tobramicina Argentina, Brasil, Chile, Colombia, Ecuador, Italia, Portugal, Spania
Tobramina Brasil
Tobramycin Australia, Canada, Irland, Norge, Saudi-Arabia, Storbritannia, Tyskland, USA
Tobramycine Frankrike, Irland, Nederland
Tobrasix Østerrike
Tobrazid Tyskland
Stabilitet i blandinger   Injeksjon   Stabilitet i blandinger : Tobramycin sulfate     
Beholder Oppløsningsmiddel Konsentrasjon Legemiddel Temperatur Oppbevaring Varighet av stabilitet Referanser
Glass Glukose 5 % 3,2 mg/ml
Injeksjon   Tobramycin sulfate   
Injeksjon   Filgrastim 40 µg/ml
25°C
4 Tid
Ikke angitt 104
Bevisgrad B
Glass Ingen 0,8 mg/ml
Injeksjon   Tobramycin sulfate   
Injeksjon   Ofloxacin 2 mg/ml
25°C
48 Tid
Ikke angitt 889
Bevisgrad D
Polyvinylklorid Natriumklorid 0,9 % 1,2 mg/ml
Injeksjon   Tobramycin sulfate   
Injeksjon   Clindamycin phosphate 9 mg/ml
-20°C
28 Dag
Beskyttes mot lys 565
Bevisgrad D
Polyvinylklorid Natriumklorid 0,9 % 1 mg/ml
Injeksjon   Tobramycin sulfate   
Injeksjon   Ciprofloxacin lactate 1,5 mg/ml
25°C
48 Tid
Lys 434
Polyvinylklorid Natriumklorid 0,9 % 0,2 & 0,8 mg/ml
Injeksjon   Tobramycin sulfate   
Injeksjon   Aztreonam 10 & 20 mg/ml
25°C
48 Tid
Ikke angitt 19
Bevisgrad D
Polyvinylklorid Natriumklorid 0,9 % 0,2 mg/ml
Injeksjon   Tobramycin sulfate   
Injeksjon   Aztreonam 10 & 20 mg/ml
4°C
7 Dag
Beskyttes mot lys 19
Bevisgrad D
Polyvinylklorid Natriumklorid 0,9 % 0,2 & 0,8 mg/ml
Injeksjon   Tobramycin sulfate   
Injeksjon   Aztreonam 10 & 20 mg/ml
4°C
7 Dag
Beskyttes mot lys 19
Bevisgrad D
Polyvinylklorid Natriumklorid 0,9 % 1 mg/ml
Injeksjon   Tobramycin sulfate   
Injeksjon   Ciprofloxacin lactate 1,5 mg/ml
4°C
48 Tid
Beskyttes mot lys 434
Polyvinylklorid Glukose 5 % 1,2 mg/ml
Injeksjon   Tobramycin sulfate   
Injeksjon   Clindamycin phosphate 9 mg/ml
-20°C
14 Dag
Beskyttes mot lys 565
Bevisgrad D
Polyvinylklorid Glukose 5 % 1 mg/ml
Injeksjon   Tobramycin sulfate   
Injeksjon   Ciprofloxacin lactate 1,5 mg/ml
25°C
48 Tid
Lys 434
Polyvinylklorid Glukose 5 % 0,2 & 0,8 mg/ml
Injeksjon   Tobramycin sulfate   
Injeksjon   Aztreonam 10 & 20 mg/ml
25°C
48 Tid
Ikke angitt 19
Bevisgrad D
Polyvinylklorid Glukose 5 % 0,2 mg/ml
Injeksjon   Tobramycin sulfate   
Injeksjon   Aztreonam 10 & 20 mg/ml
4°C
7 Dag
Beskyttes mot lys 19
Bevisgrad D
Polyvinylklorid Glukose 5 % 0,2 & 0,8 mg/ml
Injeksjon   Tobramycin sulfate   
Injeksjon   Aztreonam 10 & 20 mg/ml
4°C
7 Dag
Beskyttes mot lys 19
Bevisgrad D
Polyvinylklorid Glukose 5 % 1 mg/ml
Injeksjon   Tobramycin sulfate   
Injeksjon   Ciprofloxacin lactate 1,5 mg/ml
4°C
48 Tid
Beskyttes mot lys 434
Polyvinylklorid Dianéal® PD2 2.5% glucose (Baxter) 0,008 mg/ml
Injeksjon   Tobramycin sulfate   
Injeksjon   Ceftazidime 0,125 mg/ml
24°C
16 Tid
Ikke angitt 2369
Bevisgrad B
Polyvinylklorid Dianéal® PD2 2.5% glucose (Baxter) 0,008 mg/ml
Injeksjon   Tobramycin sulfate   
Injeksjon   Ceftazidime 0,125 mg/ml
37°C
8 Tid
Ikke angitt 2369
Bevisgrad B
Polyolefin Ingen 0,80 mg/ml
Injeksjon   Tobramycin sulfate   
Injeksjon   Linezolid 1,80 mg/ml
23°C
1 Dag
Beskyttes mot lys 2353
Bevisgrad B+
Polyolefin Ingen 0,80 mg/ml
Injeksjon   Tobramycin sulfate   
Injeksjon   Linezolid 1,80 mg/ml
4°C
7 Dag
Beskyttes mot lys 2353
Bevisgrad B+

  Mentions Légales