Senaste uppdateringen :
27/04/2026
Antibiotikum   Tobramycin sulfate  
injektion
Aerosol ögondroppar Oral lösning
Lösningars stabilitet Stabilitet i blandningar Faktorer som påverkar stabiliteten Kompatibilitet Administreringssätt Hänvisningar pdf
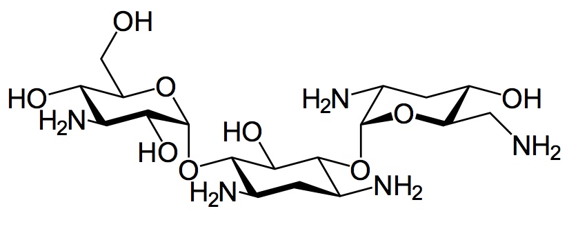
   Molekylstruktur  

Varunamn   Varunamn     

Angivna handelsnamn på läkemedel är enbart vägledande då formulering inklusive hjälpämnen kan variera mellan länder och tillverkare

Bactob Indien
Beltob Indien
Bramicil Italien
Brulamycin Malaysia, Slovenien, Ungern
Eltol Indien
Fytobra Indien
Gernebcin Tyskland
Komitob Indien
Nebcin Egypten, Förenade Arabemiraten, Grekland, nya Zeeland, Saudi-Arabien, Storbritannien
Nebcina Danmark, Marocko, Norge, Sverige
Nebcine Frankrike, Marocko, Slovenien
Nebicina Italien
Obracin Belgien, Luxemburg, Nederländerna, Schweiz
Tobracin Brasilien, Egypten, Saudi-Arabien
Tobramicina Argentina, Brasilien, Chile, Colombia, Ecuador, Italien, Portugal, Spanien
Tobramina Brasilien
Tobramycin Australien, Förenta Staterna, Irland, Kanada, Norge, Saudi-Arabien, Storbritannien, Tyskland
Tobramycine Frankrike, Irland, Nederländerna
Tobrasix Österrike
Tobrazid Tyskland
Stabilitet i blandningar   injektion   Stabilitet i blandningar : Tobramycin sulfate     
Behållare Lösningsmedel Koncentration Substans Temperatur Förvaring Stabilitets varaktighet Hänvisningar
Glas Glukos 5 % 3,2 mg/ml
injektion   Tobramycin sulfate   
injektion   Filgrastim 40 µg/ml
25°C
4 Timma
Ej angiven 104
Evidensnivå B
Glas Ingen 0,8 mg/ml
injektion   Tobramycin sulfate   
injektion   Ofloxacin 2 mg/ml
25°C
48 Timma
Ej angiven 889
Evidensnivå D
Polyvinylklorid Natriumklorid 0,9 % 1,2 mg/ml
injektion   Tobramycin sulfate   
injektion   Clindamycin phosphate 9 mg/ml
-20°C
28 Dag
Skyddas från ljus 565
Evidensnivå D
Polyvinylklorid Natriumklorid 0,9 % 1 mg/ml
injektion   Tobramycin sulfate   
injektion   Ciprofloxacin lactate 1,5 mg/ml
25°C
48 Timma
Ljus 434
Polyvinylklorid Natriumklorid 0,9 % 0,2 & 0,8 mg/ml
injektion   Tobramycin sulfate   
injektion   Aztreonam 10 & 20 mg/ml
25°C
48 Timma
Ej angiven 19
Evidensnivå D
Polyvinylklorid Natriumklorid 0,9 % 0,2 mg/ml
injektion   Tobramycin sulfate   
injektion   Aztreonam 10 & 20 mg/ml
4°C
7 Dag
Skyddas från ljus 19
Evidensnivå D
Polyvinylklorid Natriumklorid 0,9 % 0,2 & 0,8 mg/ml
injektion   Tobramycin sulfate   
injektion   Aztreonam 10 & 20 mg/ml
4°C
7 Dag
Skyddas från ljus 19
Evidensnivå D
Polyvinylklorid Natriumklorid 0,9 % 1 mg/ml
injektion   Tobramycin sulfate   
injektion   Ciprofloxacin lactate 1,5 mg/ml
4°C
48 Timma
Skyddas från ljus 434
Polyvinylklorid Glukos 5 % 1,2 mg/ml
injektion   Tobramycin sulfate   
injektion   Clindamycin phosphate 9 mg/ml
-20°C
14 Dag
Skyddas från ljus 565
Evidensnivå D
Polyvinylklorid Glukos 5 % 1 mg/ml
injektion   Tobramycin sulfate   
injektion   Ciprofloxacin lactate 1,5 mg/ml
25°C
48 Timma
Ljus 434
Polyvinylklorid Glukos 5 % 0,2 & 0,8 mg/ml
injektion   Tobramycin sulfate   
injektion   Aztreonam 10 & 20 mg/ml
25°C
48 Timma
Ej angiven 19
Evidensnivå D
Polyvinylklorid Glukos 5 % 0,2 mg/ml
injektion   Tobramycin sulfate   
injektion   Aztreonam 10 & 20 mg/ml
4°C
7 Dag
Skyddas från ljus 19
Evidensnivå D
Polyvinylklorid Glukos 5 % 0,2 & 0,8 mg/ml
injektion   Tobramycin sulfate   
injektion   Aztreonam 10 & 20 mg/ml
4°C
7 Dag
Skyddas från ljus 19
Evidensnivå D
Polyvinylklorid Glukos 5 % 1 mg/ml
injektion   Tobramycin sulfate   
injektion   Ciprofloxacin lactate 1,5 mg/ml
4°C
48 Timma
Skyddas från ljus 434
Polyvinylklorid Dianéal® PD2 2.5% glucose (Baxter) 0,008 mg/ml
injektion   Tobramycin sulfate   
injektion   Ceftazidime 0,125 mg/ml
24°C
16 Timma
Ej angiven 2369
Evidensnivå B
Polyvinylklorid Dianéal® PD2 2.5% glucose (Baxter) 0,008 mg/ml
injektion   Tobramycin sulfate   
injektion   Ceftazidime 0,125 mg/ml
37°C
8 Timma
Ej angiven 2369
Evidensnivå B
Polyolefin Ingen 0,80 mg/ml
injektion   Tobramycin sulfate   
injektion   Linezolid 1,80 mg/ml
23°C
1 Dag
Skyddas från ljus 2353
Evidensnivå B+
Polyolefin Ingen 0,80 mg/ml
injektion   Tobramycin sulfate   
injektion   Linezolid 1,80 mg/ml
4°C
7 Dag
Skyddas från ljus 2353
Evidensnivå B+

  Mentions Légales