Cập nhật lần cuối :
27/04/2026
Kháng sinh   Tobramycin sulfate  
Dạng tiêm
Dung dịch uống Khí dung Thuốc nhỏ mắt
Tính ổn định của các dung dịch Độ ổn định khi trộn lẫn Những yếu tố ảnh hưởng đến độ ổn định Khả năng tương thích Đường dùng Tài liệu tham khảo Pdf
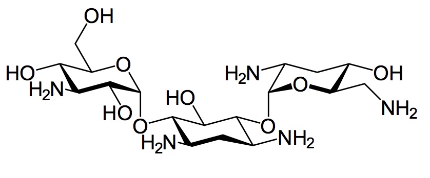
   Cấu trúc hóa học  

Tên thương mại   Tên thương mại     

Các tên thương mại được cung cấp và thành phần tá dược có thể khác nhau giữa các quốc gia và các hãng dược

Bactob Ấn Độ
Beltob Ấn Độ
Bramicil Ý
Brulamycin Hungary, Malaysia, Slovenia
Eltol Ấn Độ
Fytobra Ấn Độ
Gernebcin Đức
Komitob Ấn Độ
Nebcin Ả Rập, Ả Rập Saudi, Anh, Hy Lạp, new zealand, United Arab Emirates
Nebcina Morocco, Na Uy, Thụy Điển, Đan Mạch
Nebcine Morocco, Pháp, Slovenia
Nebicina Ý
Obracin Bỉ, Hà Lan, Luxembourg, Thụy Sỹ
Tobracin Ả Rập, Ả Rập Saudi, Brazil
Tobramicina Argentina, Bồ Đào Nha, Brazil, Chile, Colombia, Ecuador, Tây Ban Nha, Ý
Tobramina Brazil
Tobramycin Ả Rập Saudi, Anh, Canada, Hoa Kỳ, Ireland, Na Uy, Úc, Đức
Tobramycine Hà Lan, Ireland, Pháp
Tobrasix Áo
Tobrazid Đức
Độ ổn định khi trộn lẫn   Dạng tiêm   Độ ổn định khi trộn lẫn : Tobramycin sulfate     
Bao bì Dung môi Nồng độ Phân tử Nhiệt độ Bảo quản Thời gian ổn định Mục lục
Thủy tinh Glucose 5% 3,2 mg/ml
Dạng tiêm   Tobramycin sulfate   
Dạng tiêm   Filgrastim 40 µg/ml
25°C
4 Giờ
Không rõ 104
Cấp độ bằng chứng B
Thủy tinh Không 0,8 mg/ml
Dạng tiêm   Tobramycin sulfate   
Dạng tiêm   Ofloxacin 2 mg/ml
25°C
48 Giờ
Không rõ 889
Cấp độ bằng chứng D
Nhựa polyvinyl chloride NaCl 0,9% 1,2 mg/ml
Dạng tiêm   Tobramycin sulfate   
Dạng tiêm   Clindamycin phosphate 9 mg/ml
-20°C
28 Ngày
Tránh ánh sáng 565
Cấp độ bằng chứng D
Nhựa polyvinyl chloride NaCl 0,9% 1 mg/ml
Dạng tiêm   Tobramycin sulfate   
Dạng tiêm   Ciprofloxacin lactate 1,5 mg/ml
25°C
48 Giờ
Ánh sáng 434
Nhựa polyvinyl chloride NaCl 0,9% 0,2 & 0,8 mg/ml
Dạng tiêm   Tobramycin sulfate   
Dạng tiêm   Aztreonam 10 & 20 mg/ml
25°C
48 Giờ
Không rõ 19
Cấp độ bằng chứng D
Nhựa polyvinyl chloride NaCl 0,9% 0,2 mg/ml
Dạng tiêm   Tobramycin sulfate   
Dạng tiêm   Aztreonam 10 & 20 mg/ml
4°C
7 Ngày
Tránh ánh sáng 19
Cấp độ bằng chứng D
Nhựa polyvinyl chloride NaCl 0,9% 0,2 & 0,8 mg/ml
Dạng tiêm   Tobramycin sulfate   
Dạng tiêm   Aztreonam 10 & 20 mg/ml
4°C
7 Ngày
Tránh ánh sáng 19
Cấp độ bằng chứng D
Nhựa polyvinyl chloride NaCl 0,9% 1 mg/ml
Dạng tiêm   Tobramycin sulfate   
Dạng tiêm   Ciprofloxacin lactate 1,5 mg/ml
4°C
48 Giờ
Tránh ánh sáng 434
Nhựa polyvinyl chloride Glucose 5% 1,2 mg/ml
Dạng tiêm   Tobramycin sulfate   
Dạng tiêm   Clindamycin phosphate 9 mg/ml
-20°C
14 Ngày
Tránh ánh sáng 565
Cấp độ bằng chứng D
Nhựa polyvinyl chloride Glucose 5% 1 mg/ml
Dạng tiêm   Tobramycin sulfate   
Dạng tiêm   Ciprofloxacin lactate 1,5 mg/ml
25°C
48 Giờ
Ánh sáng 434
Nhựa polyvinyl chloride Glucose 5% 0,2 & 0,8 mg/ml
Dạng tiêm   Tobramycin sulfate   
Dạng tiêm   Aztreonam 10 & 20 mg/ml
25°C
48 Giờ
Không rõ 19
Cấp độ bằng chứng D
Nhựa polyvinyl chloride Glucose 5% 0,2 mg/ml
Dạng tiêm   Tobramycin sulfate   
Dạng tiêm   Aztreonam 10 & 20 mg/ml
4°C
7 Ngày
Tránh ánh sáng 19
Cấp độ bằng chứng D
Nhựa polyvinyl chloride Glucose 5% 0,2 & 0,8 mg/ml
Dạng tiêm   Tobramycin sulfate   
Dạng tiêm   Aztreonam 10 & 20 mg/ml
4°C
7 Ngày
Tránh ánh sáng 19
Cấp độ bằng chứng D
Nhựa polyvinyl chloride Glucose 5% 1 mg/ml
Dạng tiêm   Tobramycin sulfate   
Dạng tiêm   Ciprofloxacin lactate 1,5 mg/ml
4°C
48 Giờ
Tránh ánh sáng 434
Nhựa polyvinyl chloride Dianéal® PD2 2,5% glucose (Baxter) 0,008 mg/ml
Dạng tiêm   Tobramycin sulfate   
Dạng tiêm   Ceftazidime 0,125 mg/ml
24°C
16 Giờ
Không rõ 2369
Cấp độ bằng chứng B
Nhựa polyvinyl chloride Dianéal® PD2 2,5% glucose (Baxter) 0,008 mg/ml
Dạng tiêm   Tobramycin sulfate   
Dạng tiêm   Ceftazidime 0,125 mg/ml
37°C
8 Giờ
Không rõ 2369
Cấp độ bằng chứng B
Nhựa polyolefin Không 0,80 mg/ml
Dạng tiêm   Tobramycin sulfate   
Dạng tiêm   Linezolid 1,80 mg/ml
23°C
1 Ngày
Tránh ánh sáng 2353
Cấp độ bằng chứng B+
Nhựa polyolefin Không 0,80 mg/ml
Dạng tiêm   Tobramycin sulfate   
Dạng tiêm   Linezolid 1,80 mg/ml
4°C
7 Ngày
Tránh ánh sáng 2353
Cấp độ bằng chứng B+

  Mentions Légales