Poslední aktualizace :
27/04/2026
Antibiotikum   Tobramycin sulfate  
injekce
Aerosol Humbuk Perorální roztok
Stabilita roztoků Stabilita směsí Faktory ovlivňující stabilitu Kompatibilita Způsoby aplikace Odkazy pdf
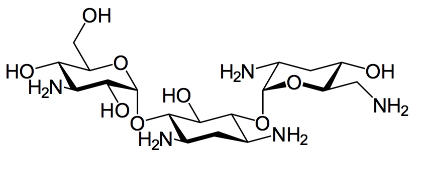
   Chemický vzorec  

Obchodní název   Obchodní název     

Trade names are indicative and excipients composition can be different depending on the country and manufacturers

Bactob Indie
Beltob Indie
Bramicil Itálie
Brulamycin Malajsie, MaÔarsko, Slovinsko
Eltol Indie
Fytobra Indie
Gernebcin NÏmecko
Komitob Indie
Nebcin Egypt, nový Zéland, Saúdská Arábie, Spojené arabské emiráty, Velká Británie, ÿecko
Nebcina Dánsko, Maroko, Norsko, Švédsko
Nebcine Francie, Maroko, Slovinsko
Nebicina Itálie
Obracin Belgie, Lucembursko, Nizozemsko, Švýcarsko
Tobracin BrazÌlie, Egypt, Saúdská Arábie
Tobramicina äpanÏlsko, Argentina, BrazÌlie, Chile, Ekvádor, Itálie, Kolumbie, Portugalsko
Tobramina BrazÌlie
Tobramycin Austrálie, Irsko, Kanada, NÏmecko, Norsko, Saúdská Arábie, USA, Velká Británie
Tobramycine Francie, Irsko, Nizozemsko
Tobrasix Rakousko
Tobrazid NÏmecko
Stabilita směsí   injekce   Stabilita směsí : Tobramycin sulfate     
Obal RozpouötÏdlo Koncentrace SlouËenina Teplota Uchovávání Trvání stability Odkazy
Sklo GlukÛza 5% 3,2 mg/ml
injekce   Tobramycin sulfate   
injekce   Filgrastim 40 µg/ml
25°C
4 Hodina
Nespecifikováno 104
Úroveň zkoušky B
Sklo Žádné 0,8 mg/ml
injekce   Tobramycin sulfate   
injekce   Ofloxacin 2 mg/ml
25°C
48 Hodina
Nespecifikováno 889
Úroveň zkoušky D
Polyvinyl chlorid Chlorid sodný 0,9% 1,2 mg/ml
injekce   Tobramycin sulfate   
injekce   Clindamycin phosphate 9 mg/ml
-20°C
28 Den
Chráněno před světlem 565
Úroveň zkoušky D
Polyvinyl chlorid Chlorid sodný 0,9% 1 mg/ml
injekce   Tobramycin sulfate   
injekce   Ciprofloxacin lactate 1,5 mg/ml
25°C
48 Hodina
SvÏtlo 434
Polyvinyl chlorid Chlorid sodný 0,9% 0,2 & 0,8 mg/ml
injekce   Tobramycin sulfate   
injekce   Aztreonam 10 & 20 mg/ml
25°C
48 Hodina
Nespecifikováno 19
Úroveň zkoušky D
Polyvinyl chlorid Chlorid sodný 0,9% 0,2 mg/ml
injekce   Tobramycin sulfate   
injekce   Aztreonam 10 & 20 mg/ml
4°C
7 Den
Chráněno před světlem 19
Úroveň zkoušky D
Polyvinyl chlorid Chlorid sodný 0,9% 0,2 & 0,8 mg/ml
injekce   Tobramycin sulfate   
injekce   Aztreonam 10 & 20 mg/ml
4°C
7 Den
Chráněno před světlem 19
Úroveň zkoušky D
Polyvinyl chlorid Chlorid sodný 0,9% 1 mg/ml
injekce   Tobramycin sulfate   
injekce   Ciprofloxacin lactate 1,5 mg/ml
4°C
48 Hodina
Chráněno před světlem 434
Polyvinyl chlorid GlukÛza 5% 1,2 mg/ml
injekce   Tobramycin sulfate   
injekce   Clindamycin phosphate 9 mg/ml
-20°C
14 Den
Chráněno před světlem 565
Úroveň zkoušky D
Polyvinyl chlorid GlukÛza 5% 1 mg/ml
injekce   Tobramycin sulfate   
injekce   Ciprofloxacin lactate 1,5 mg/ml
25°C
48 Hodina
SvÏtlo 434
Polyvinyl chlorid GlukÛza 5% 0,2 & 0,8 mg/ml
injekce   Tobramycin sulfate   
injekce   Aztreonam 10 & 20 mg/ml
25°C
48 Hodina
Nespecifikováno 19
Úroveň zkoušky D
Polyvinyl chlorid GlukÛza 5% 0,2 mg/ml
injekce   Tobramycin sulfate   
injekce   Aztreonam 10 & 20 mg/ml
4°C
7 Den
Chráněno před světlem 19
Úroveň zkoušky D
Polyvinyl chlorid GlukÛza 5% 0,2 & 0,8 mg/ml
injekce   Tobramycin sulfate   
injekce   Aztreonam 10 & 20 mg/ml
4°C
7 Den
Chráněno před světlem 19
Úroveň zkoušky D
Polyvinyl chlorid GlukÛza 5% 1 mg/ml
injekce   Tobramycin sulfate   
injekce   Ciprofloxacin lactate 1,5 mg/ml
4°C
48 Hodina
Chráněno před světlem 434
Polyvinyl chlorid Dianéal® PD2 2.5% glucose (Baxter) 0,008 mg/ml
injekce   Tobramycin sulfate   
injekce   Ceftazidime 0,125 mg/ml
24°C
16 Hodina
Nespecifikováno 2369
Úroveň zkoušky B
Polyvinyl chlorid Dianéal® PD2 2.5% glucose (Baxter) 0,008 mg/ml
injekce   Tobramycin sulfate   
injekce   Ceftazidime 0,125 mg/ml
37°C
8 Hodina
Nespecifikováno 2369
Úroveň zkoušky B
Polyoleofin Žádné 0,80 mg/ml
injekce   Tobramycin sulfate   
injekce   Linezolid 1,80 mg/ml
23°C
1 Den
Chráněno před světlem 2353
Úroveň zkoušky B+
Polyoleofin Žádné 0,80 mg/ml
injekce   Tobramycin sulfate   
injekce   Linezolid 1,80 mg/ml
4°C
7 Den
Chráněno před světlem 2353
Úroveň zkoušky B+

  Mentions Légales