zadnja posodobitev :
27/04/2026
Antibiotik   Tobramycin sulfate  
Brizgalka
Aerosol Kapljice za oči Peroralna raztopina
Stabilnost raztopine Stabilnost mešanice Faktorji, ki vplivajo na stabilnost Kompatibilnost način aplikacije Viri pdf
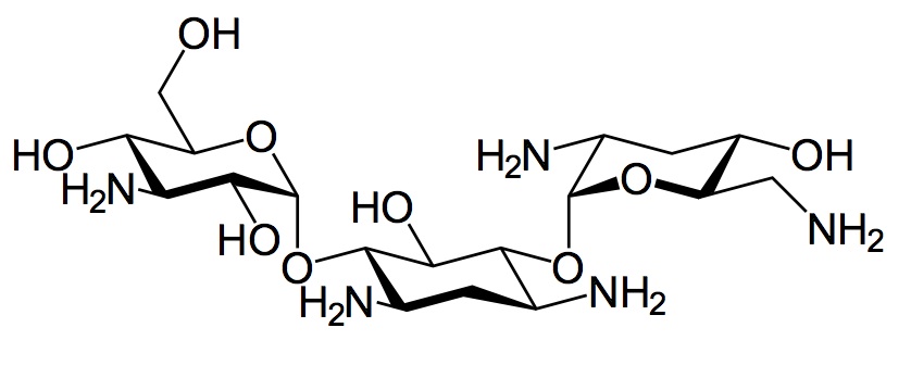
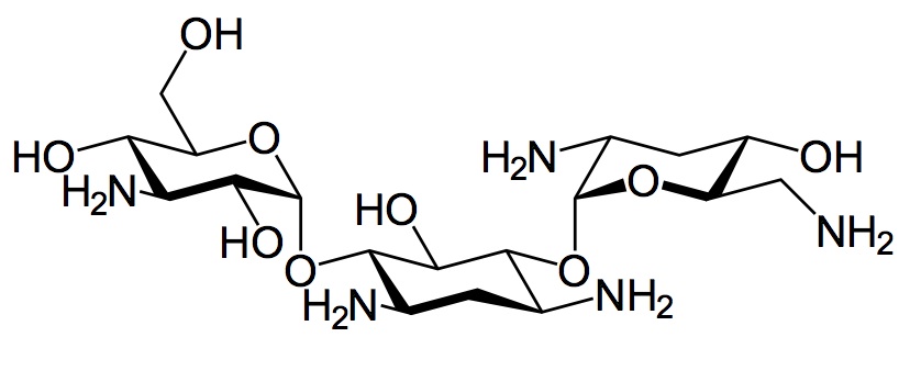
   Kemična formula  

Lastniško ime   Lastniško ime     

Sestava pomožnih snovi je med paralelami lahko različna

Bactob Indija
Beltob Indija
Bramicil Italija
Brulamycin Madžarska, Malezija, Slovenija
Eltol Indija
Fytobra Indija
Gernebcin Nemčija
Komitob Indija
Nebcin Egipt, Grčija, nova Zelandija, Savdska Arabija, Velika Britanija, Združeni arabski emirati
Nebcina Danska, Maroko, Norveška, Švedska
Nebcine Francija, Maroko, Slovenija
Nebicina Italija
Obracin Belgija, Luksemburg, Nizozemska, Švica
Tobracin Brazilija, Egipt, Savdska Arabija
Tobramicina Argentina, Brazilija, Čile, Ekvador, Italija, Kolumbija, Portugalska, Španija
Tobramina Brazilija
Tobramycin Avstralija, Irska, Kanada, Nemčija, Norveška, Savdska Arabija, Velika Britanija, Združene države Amerike
Tobramycine Francija, Irska, Nizozemska
Tobrasix Avstrija
Tobrazid Nemčija
Stabilnost mešanice   Brizgalka   Stabilnost mešanice : Tobramycin sulfate     
Vsebnik Topilo Koncentracija Sestava Temperatura Shranjevanje Trajanje stabilnosti Viri
Steklo Glukoza 5% 3,2 mg/ml
Brizgalka   Tobramycin sulfate   
Brizgalka   Filgrastim 40 µg/ml
25°C
4 čas
Nedoločeno 104
 Stopnja dokaza B
Steklo Nobeden 0,8 mg/ml
Brizgalka   Tobramycin sulfate   
Brizgalka   Ofloxacin 2 mg/ml
25°C
48 čas
Nedoločeno 889
 Stopnja dokaza D
Polivinil klorid Natrijev klorid 0,9% 1,2 mg/ml
Brizgalka   Tobramycin sulfate   
Brizgalka   Clindamycin phosphate 9 mg/ml
-20°C
28 Dan
Zaščiteno pred svetlobo 565
 Stopnja dokaza D
Polivinil klorid Natrijev klorid 0,9% 1 mg/ml
Brizgalka   Tobramycin sulfate   
Brizgalka   Ciprofloxacin lactate 1,5 mg/ml
25°C
48 čas
Svetloba 434
Polivinil klorid Natrijev klorid 0,9% 0,2 & 0,8 mg/ml
Brizgalka   Tobramycin sulfate   
Brizgalka   Aztreonam 10 & 20 mg/ml
25°C
48 čas
Nedoločeno 19
 Stopnja dokaza D
Polivinil klorid Natrijev klorid 0,9% 0,2 mg/ml
Brizgalka   Tobramycin sulfate   
Brizgalka   Aztreonam 10 & 20 mg/ml
4°C
7 Dan
Zaščiteno pred svetlobo 19
 Stopnja dokaza D
Polivinil klorid Natrijev klorid 0,9% 0,2 & 0,8 mg/ml
Brizgalka   Tobramycin sulfate   
Brizgalka   Aztreonam 10 & 20 mg/ml
4°C
7 Dan
Zaščiteno pred svetlobo 19
 Stopnja dokaza D
Polivinil klorid Natrijev klorid 0,9% 1 mg/ml
Brizgalka   Tobramycin sulfate   
Brizgalka   Ciprofloxacin lactate 1,5 mg/ml
4°C
48 čas
Zaščiteno pred svetlobo 434
Polivinil klorid Glukoza 5% 1,2 mg/ml
Brizgalka   Tobramycin sulfate   
Brizgalka   Clindamycin phosphate 9 mg/ml
-20°C
14 Dan
Zaščiteno pred svetlobo 565
 Stopnja dokaza D
Polivinil klorid Glukoza 5% 1 mg/ml
Brizgalka   Tobramycin sulfate   
Brizgalka   Ciprofloxacin lactate 1,5 mg/ml
25°C
48 čas
Svetloba 434
Polivinil klorid Glukoza 5% 0,2 & 0,8 mg/ml
Brizgalka   Tobramycin sulfate   
Brizgalka   Aztreonam 10 & 20 mg/ml
25°C
48 čas
Nedoločeno 19
 Stopnja dokaza D
Polivinil klorid Glukoza 5% 0,2 mg/ml
Brizgalka   Tobramycin sulfate   
Brizgalka   Aztreonam 10 & 20 mg/ml
4°C
7 Dan
Zaščiteno pred svetlobo 19
 Stopnja dokaza D
Polivinil klorid Glukoza 5% 0,2 & 0,8 mg/ml
Brizgalka   Tobramycin sulfate   
Brizgalka   Aztreonam 10 & 20 mg/ml
4°C
7 Dan
Zaščiteno pred svetlobo 19
 Stopnja dokaza D
Polivinil klorid Glukoza 5% 1 mg/ml
Brizgalka   Tobramycin sulfate   
Brizgalka   Ciprofloxacin lactate 1,5 mg/ml
4°C
48 čas
Zaščiteno pred svetlobo 434
Polivinil klorid Dianéal® PD2 2.5% glucose (Baxter) 0,008 mg/ml
Brizgalka   Tobramycin sulfate   
Brizgalka   Ceftazidime 0,125 mg/ml
24°C
16 čas
Nedoločeno 2369
 Stopnja dokaza B
Polivinil klorid Dianéal® PD2 2.5% glucose (Baxter) 0,008 mg/ml
Brizgalka   Tobramycin sulfate   
Brizgalka   Ceftazidime 0,125 mg/ml
37°C
8 čas
Nedoločeno 2369
 Stopnja dokaza B
Poliolefin Nobeden 0,80 mg/ml
Brizgalka   Tobramycin sulfate   
Brizgalka   Linezolid 1,80 mg/ml
23°C
1 Dan
Zaščiteno pred svetlobo 2353
 Stopnja dokaza B+
Poliolefin Nobeden 0,80 mg/ml
Brizgalka   Tobramycin sulfate   
Brizgalka   Linezolid 1,80 mg/ml
4°C
7 Dan
Zaščiteno pred svetlobo 2353
 Stopnja dokaza B+

  Mentions Légales