Utolsó frissítés :
27/04/2026
Antibiotikum   Tobramycin sulfate  
Injekció
aeroszol belsőleges oldat Szemcsepp
Az oldatok stabilitása A keverékek stabilitása Stabilitást befolyásoló tényezők Kompatibilitás Az alkalmazás módja Irodalom pdf
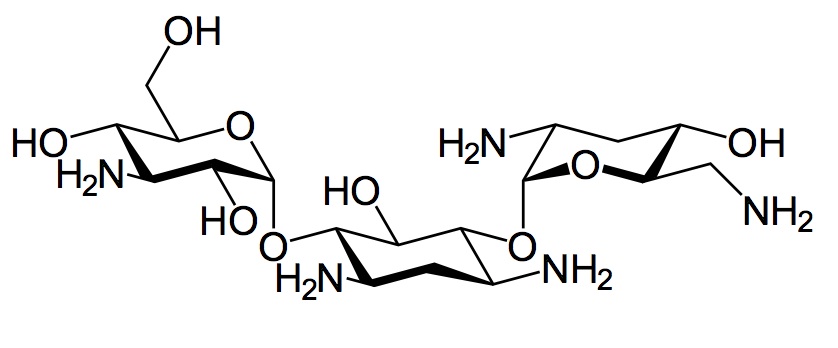
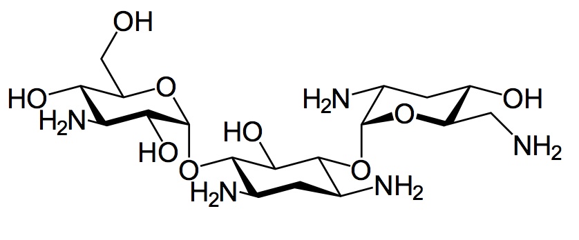
   Kémiai szerkezet   

Kereskedelmi név   Kereskedelmi név     

A kereskedelmi név meghatározó jelentőségű: a készítmények összetétele országonként, előállítóként eltérő lehet

Bactob India
Beltob India
Bramicil Olaszország
Brulamycin Magyarország, Malaysia, Szlovénia
Eltol India
Fytobra India
Gernebcin Németország
Komitob India
Nebcin Egyesült Arab Emírségek, Egyiptom, Görögország, Nagy-Britannia, Szaúd-Arábiában, új-Zéland
Nebcina Dánia, Marokkó, Norvégia, Svédország
Nebcine Franciaország, Marokkó, Szlovénia
Nebicina Olaszország
Obracin Belgium, Hollandia, Luxemburg, Svájc
Tobracin Brazília, Egyiptom, Szaúd-Arábiában
Tobramicina Argentína, Brazília, Chile, Colombia, Ecuador, Olaszország, Portugália, Spanyolország
Tobramina Brazília
Tobramycin Amerikai Egyesült Államok, Ausztrália, Írország, Kanada, Nagy-Britannia, Németország, Norvégia, Szaúd-Arábiában
Tobramycine Franciaország, Hollandia, Írország
Tobrasix Ausztria
Tobrazid Németország
A keverékek stabilitása   Injekció   A keverékek stabilitása : Tobramycin sulfate     
Csomagolás Oldószer Koncentráció Vegyület Hőmérséklet Tárolás A stabilitás időtartama Irodalom
Üveg 5% glükóz 3,2 mg/ml
Injekció   Tobramycin sulfate   
Injekció   Filgrastim 40 µg/ml
25°C
4 Óra
Nincs meghatározva 104
Szintű bizonyítékot B
Üveg Egy sem 0,8 mg/ml
Injekció   Tobramycin sulfate   
Injekció   Ofloxacin 2 mg/ml
25°C
48 Óra
Nincs meghatározva 889
Szintű bizonyítékot D
Poli(vinilklorid) 0,9% nátrium-klorid 1,2 mg/ml
Injekció   Tobramycin sulfate   
Injekció   Clindamycin phosphate 9 mg/ml
-20°C
28 Nap
Fénytől védve tartandó 565
Szintű bizonyítékot D
Poli(vinilklorid) 0,9% nátrium-klorid 1 mg/ml
Injekció   Tobramycin sulfate   
Injekció   Ciprofloxacin lactate 1,5 mg/ml
25°C
48 Óra
Fény 434
Poli(vinilklorid) 0,9% nátrium-klorid 0,2 & 0,8 mg/ml
Injekció   Tobramycin sulfate   
Injekció   Aztreonam 10 & 20 mg/ml
25°C
48 Óra
Nincs meghatározva 19
Szintű bizonyítékot D
Poli(vinilklorid) 0,9% nátrium-klorid 0,2 mg/ml
Injekció   Tobramycin sulfate   
Injekció   Aztreonam 10 & 20 mg/ml
4°C
7 Nap
Fénytől védve tartandó 19
Szintű bizonyítékot D
Poli(vinilklorid) 0,9% nátrium-klorid 0,2 & 0,8 mg/ml
Injekció   Tobramycin sulfate   
Injekció   Aztreonam 10 & 20 mg/ml
4°C
7 Nap
Fénytől védve tartandó 19
Szintű bizonyítékot D
Poli(vinilklorid) 0,9% nátrium-klorid 1 mg/ml
Injekció   Tobramycin sulfate   
Injekció   Ciprofloxacin lactate 1,5 mg/ml
4°C
48 Óra
Fénytől védve tartandó 434
Poli(vinilklorid) 5% glükóz 1,2 mg/ml
Injekció   Tobramycin sulfate   
Injekció   Clindamycin phosphate 9 mg/ml
-20°C
14 Nap
Fénytől védve tartandó 565
Szintű bizonyítékot D
Poli(vinilklorid) 5% glükóz 1 mg/ml
Injekció   Tobramycin sulfate   
Injekció   Ciprofloxacin lactate 1,5 mg/ml
25°C
48 Óra
Fény 434
Poli(vinilklorid) 5% glükóz 0,2 & 0,8 mg/ml
Injekció   Tobramycin sulfate   
Injekció   Aztreonam 10 & 20 mg/ml
25°C
48 Óra
Nincs meghatározva 19
Szintű bizonyítékot D
Poli(vinilklorid) 5% glükóz 0,2 mg/ml
Injekció   Tobramycin sulfate   
Injekció   Aztreonam 10 & 20 mg/ml
4°C
7 Nap
Fénytől védve tartandó 19
Szintű bizonyítékot D
Poli(vinilklorid) 5% glükóz 0,2 & 0,8 mg/ml
Injekció   Tobramycin sulfate   
Injekció   Aztreonam 10 & 20 mg/ml
4°C
7 Nap
Fénytől védve tartandó 19
Szintű bizonyítékot D
Poli(vinilklorid) 5% glükóz 1 mg/ml
Injekció   Tobramycin sulfate   
Injekció   Ciprofloxacin lactate 1,5 mg/ml
4°C
48 Óra
Fénytől védve tartandó 434
Poli(vinilklorid) Dianéal® PD2 2.5% glucose (Baxter) 0,008 mg/ml
Injekció   Tobramycin sulfate   
Injekció   Ceftazidime 0,125 mg/ml
24°C
16 Óra
Nincs meghatározva 2369
Szintű bizonyítékot B
Poli(vinilklorid) Dianéal® PD2 2.5% glucose (Baxter) 0,008 mg/ml
Injekció   Tobramycin sulfate   
Injekció   Ceftazidime 0,125 mg/ml
37°C
8 Óra
Nincs meghatározva 2369
Szintű bizonyítékot B
Poliolefin Egy sem 0,80 mg/ml
Injekció   Tobramycin sulfate   
Injekció   Linezolid 1,80 mg/ml
23°C
1 Nap
Fénytől védve tartandó 2353
Szintű bizonyítékot B+
Poliolefin Egy sem 0,80 mg/ml
Injekció   Tobramycin sulfate   
Injekció   Linezolid 1,80 mg/ml
4°C
7 Nap
Fénytől védve tartandó 2353
Szintű bizonyítékot B+

  Mentions Légales