Ultimele actualizari :
27/04/2026
Antibiotic   Tobramycin sulfate  
Injectabil
Aerosol colir Soluţie orală
Stabilitatea in solutie Stabilitatea in amestec Factorii care influenteaza stabilitatea Compatibilitate Microunde Bibliografie pdf
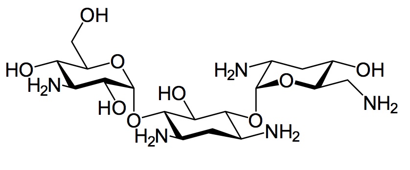
   Formula chimica  

Denumirea comerciala   Denumirea comerciala     

Trade names are indicative and excipients composition can be different depending on the country and manufacturers

Bactob India
Beltob India
Bramicil Italia
Brulamycin Malaezia, Slovenia, Ungaria
Eltol India
Fytobra India
Gernebcin Germania
Komitob India
Nebcin Arabia Saudita, Egipt, Emiratele Arabe Unite, Grecia, Marea Britanie, noua Zeelandă
Nebcina Danemarca, Maroc, Norvegia, Suedia
Nebcine Franta, Maroc, Slovenia
Nebicina Italia
Obracin Belgia, Elvetia, Luxemburg, Olanda
Tobracin Arabia Saudita, Brazilia, Egipt
Tobramicina Argentina, Brazilia, Chilli, Columbia, Ecuador, Italia, Portugalia, Spania
Tobramina Brazilia
Tobramycin Arabia Saudita, Australia, Canada, Germania, Irlanda, Marea Britanie, Norvegia, SUA
Tobramycine Franta, Irlanda, Olanda
Tobrasix Austria
Tobrazid Germania
Stabilitatea in amestec   Injectabil   Stabilitatea in amestec : Tobramycin sulfate     
Continut Solvent Concentratie Molecula (substanta activa) Temperatura Conservare Durata stabilității Bibiografie
sticla Glucoza 5% 3,2 mg/ml
Injectabil   Tobramycin sulfate   
Injectabil   Filgrastim 40 µg/ml
25°C
4 Ora
Neprecizat 104
Nivel de evidență B
sticla fara 0,8 mg/ml
Injectabil   Tobramycin sulfate   
Injectabil   Ofloxacin 2 mg/ml
25°C
48 Ora
Neprecizat 889
Nivel de evidență D
clorura de polivinil clorura de sodiu 0,9% 1,2 mg/ml
Injectabil   Tobramycin sulfate   
Injectabil   Clindamycin phosphate 9 mg/ml
-20°C
28 Ziua
Ferit de lumina 565
Nivel de evidență D
clorura de polivinil clorura de sodiu 0,9% 1 mg/ml
Injectabil   Tobramycin sulfate   
Injectabil   Ciprofloxacin lactate 1,5 mg/ml
25°C
48 Ora
Lumina 434
clorura de polivinil clorura de sodiu 0,9% 0,2 & 0,8 mg/ml
Injectabil   Tobramycin sulfate   
Injectabil   Aztreonam 10 & 20 mg/ml
25°C
48 Ora
Neprecizat 19
Nivel de evidență D
clorura de polivinil clorura de sodiu 0,9% 0,2 mg/ml
Injectabil   Tobramycin sulfate   
Injectabil   Aztreonam 10 & 20 mg/ml
4°C
7 Ziua
Ferit de lumina 19
Nivel de evidență D
clorura de polivinil clorura de sodiu 0,9% 0,2 & 0,8 mg/ml
Injectabil   Tobramycin sulfate   
Injectabil   Aztreonam 10 & 20 mg/ml
4°C
7 Ziua
Ferit de lumina 19
Nivel de evidență D
clorura de polivinil clorura de sodiu 0,9% 1 mg/ml
Injectabil   Tobramycin sulfate   
Injectabil   Ciprofloxacin lactate 1,5 mg/ml
4°C
48 Ora
Ferit de lumina 434
clorura de polivinil Glucoza 5% 1,2 mg/ml
Injectabil   Tobramycin sulfate   
Injectabil   Clindamycin phosphate 9 mg/ml
-20°C
14 Ziua
Ferit de lumina 565
Nivel de evidență D
clorura de polivinil Glucoza 5% 1 mg/ml
Injectabil   Tobramycin sulfate   
Injectabil   Ciprofloxacin lactate 1,5 mg/ml
25°C
48 Ora
Lumina 434
clorura de polivinil Glucoza 5% 0,2 & 0,8 mg/ml
Injectabil   Tobramycin sulfate   
Injectabil   Aztreonam 10 & 20 mg/ml
25°C
48 Ora
Neprecizat 19
Nivel de evidență D
clorura de polivinil Glucoza 5% 0,2 mg/ml
Injectabil   Tobramycin sulfate   
Injectabil   Aztreonam 10 & 20 mg/ml
4°C
7 Ziua
Ferit de lumina 19
Nivel de evidență D
clorura de polivinil Glucoza 5% 0,2 & 0,8 mg/ml
Injectabil   Tobramycin sulfate   
Injectabil   Aztreonam 10 & 20 mg/ml
4°C
7 Ziua
Ferit de lumina 19
Nivel de evidență D
clorura de polivinil Glucoza 5% 1 mg/ml
Injectabil   Tobramycin sulfate   
Injectabil   Ciprofloxacin lactate 1,5 mg/ml
4°C
48 Ora
Ferit de lumina 434
clorura de polivinil Dianéal® PD2 2.5% glucose (Baxter) 0,008 mg/ml
Injectabil   Tobramycin sulfate   
Injectabil   Ceftazidime 0,125 mg/ml
24°C
16 Ora
Neprecizat 2369
Nivel de evidență B
clorura de polivinil Dianéal® PD2 2.5% glucose (Baxter) 0,008 mg/ml
Injectabil   Tobramycin sulfate   
Injectabil   Ceftazidime 0,125 mg/ml
37°C
8 Ora
Neprecizat 2369
Nivel de evidență B
poliolefine fara 0,80 mg/ml
Injectabil   Tobramycin sulfate   
Injectabil   Linezolid 1,80 mg/ml
23°C
1 Ziua
Ferit de lumina 2353
Nivel de evidență B+
poliolefine fara 0,80 mg/ml
Injectabil   Tobramycin sulfate   
Injectabil   Linezolid 1,80 mg/ml
4°C
7 Ziua
Ferit de lumina 2353
Nivel de evidență B+

  Mentions Légales