Son güncelleme :
27/04/2026
Antibiyotik   Tobramycin sulfate  
Enjeksiyon
Aerosol Göz damlası Oral solüsyon / oral çözelti
Çözeltilerin stabilitesi Karışımlardaki stabilitesi Stabiliteyi etkileyen faktörler Uyumluluk Uygulama yöntemi Kaynaklar pdf
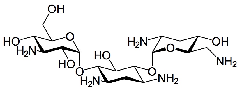
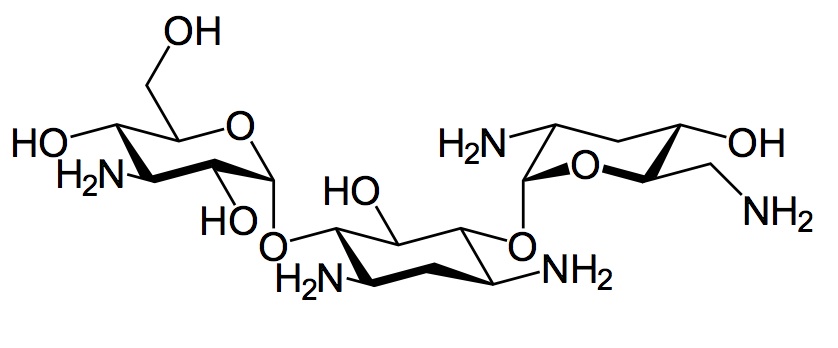
   Kimyasal yapı   

Ticari isim   Ticari isim     

Trade names are indicative and excipients composition can be different depending on the country and manufacturers

Bactob Hindistan
Beltob Hindistan
Bramicil İtalya
Brulamycin Macaristan, Malezya, Slovenya
Eltol Hindistan
Fytobra Hindistan
Gernebcin Almanya
Komitob Hindistan
Nebcin Birleşik Arap Emirlikleri, Büyük Britanya, Mısır, Suudi Arabistan, yeni Zelanda, Yunanistan
Nebcina Danimarka, Fas, İsveç, Norveç
Nebcine Fas, Fransa, Slovenya
Nebicina İtalya
Obracin Belçika, Hollanda, İsviçre, Lüksemburg
Tobracin Brezilya, Mısır, Suudi Arabistan
Tobramicina Arjantin, Brezilya, Ekvador, İspanya, İtalya, Kolombiya, Portekiz, Şili
Tobramina Brezilya
Tobramycin Almanya, Amerika Birleşik Devletleri, Avustralya, Büyük Britanya, İrlanda, Kanada, Norveç, Suudi Arabistan
Tobramycine Fransa, Hollanda, İrlanda
Tobrasix Avusturya
Tobrazid Almanya
Karışımlardaki stabilitesi   Enjeksiyon    Karışımlardaki stabilitesi : Tobramycin sulfate     
Saklama kabı Çözücü Konsantrasyon Bileşik Isı Saklama    Stabilite süresi Kaynaklar
Cam Glukoz %5 3,2 mg/ml
Enjeksiyon   Tobramycin sulfate   
Enjeksiyon   Filgrastim 40 µg/ml
25°C
4 Zaman
Belirtilmemiş 104
Kanıt düzeyi B
Cam Yok 0,8 mg/ml
Enjeksiyon   Tobramycin sulfate   
Enjeksiyon   Ofloxacin 2 mg/ml
25°C
48 Zaman
Belirtilmemiş 889
Kanıt düzeyi D
Polivinil klorür Sodyum klorür % 0,9 1,2 mg/ml
Enjeksiyon   Tobramycin sulfate   
Enjeksiyon   Clindamycin phosphate 9 mg/ml
-20°C
28 Gün
Işıktan koruyunuz 565
Kanıt düzeyi D
Polivinil klorür Sodyum klorür % 0,9 1 mg/ml
Enjeksiyon   Tobramycin sulfate   
Enjeksiyon   Ciprofloxacin lactate 1,5 mg/ml
25°C
48 Zaman
I_ık 434
Polivinil klorür Sodyum klorür % 0,9 0,2 & 0,8 mg/ml
Enjeksiyon   Tobramycin sulfate   
Enjeksiyon   Aztreonam 10 & 20 mg/ml
25°C
48 Zaman
Belirtilmemiş 19
Kanıt düzeyi D
Polivinil klorür Sodyum klorür % 0,9 0,2 mg/ml
Enjeksiyon   Tobramycin sulfate   
Enjeksiyon   Aztreonam 10 & 20 mg/ml
4°C
7 Gün
Işıktan koruyunuz 19
Kanıt düzeyi D
Polivinil klorür Sodyum klorür % 0,9 0,2 & 0,8 mg/ml
Enjeksiyon   Tobramycin sulfate   
Enjeksiyon   Aztreonam 10 & 20 mg/ml
4°C
7 Gün
Işıktan koruyunuz 19
Kanıt düzeyi D
Polivinil klorür Sodyum klorür % 0,9 1 mg/ml
Enjeksiyon   Tobramycin sulfate   
Enjeksiyon   Ciprofloxacin lactate 1,5 mg/ml
4°C
48 Zaman
Işıktan koruyunuz 434
Polivinil klorür Glukoz %5 1,2 mg/ml
Enjeksiyon   Tobramycin sulfate   
Enjeksiyon   Clindamycin phosphate 9 mg/ml
-20°C
14 Gün
Işıktan koruyunuz 565
Kanıt düzeyi D
Polivinil klorür Glukoz %5 1 mg/ml
Enjeksiyon   Tobramycin sulfate   
Enjeksiyon   Ciprofloxacin lactate 1,5 mg/ml
25°C
48 Zaman
I_ık 434
Polivinil klorür Glukoz %5 0,2 & 0,8 mg/ml
Enjeksiyon   Tobramycin sulfate   
Enjeksiyon   Aztreonam 10 & 20 mg/ml
25°C
48 Zaman
Belirtilmemiş 19
Kanıt düzeyi D
Polivinil klorür Glukoz %5 0,2 mg/ml
Enjeksiyon   Tobramycin sulfate   
Enjeksiyon   Aztreonam 10 & 20 mg/ml
4°C
7 Gün
Işıktan koruyunuz 19
Kanıt düzeyi D
Polivinil klorür Glukoz %5 0,2 & 0,8 mg/ml
Enjeksiyon   Tobramycin sulfate   
Enjeksiyon   Aztreonam 10 & 20 mg/ml
4°C
7 Gün
Işıktan koruyunuz 19
Kanıt düzeyi D
Polivinil klorür Glukoz %5 1 mg/ml
Enjeksiyon   Tobramycin sulfate   
Enjeksiyon   Ciprofloxacin lactate 1,5 mg/ml
4°C
48 Zaman
Işıktan koruyunuz 434
Polivinil klorür Dianéal® PD2 2.5% glucose (Baxter) 0,008 mg/ml
Enjeksiyon   Tobramycin sulfate   
Enjeksiyon   Ceftazidime 0,125 mg/ml
24°C
16 Zaman
Belirtilmemiş 2369
Kanıt düzeyi B
Polivinil klorür Dianéal® PD2 2.5% glucose (Baxter) 0,008 mg/ml
Enjeksiyon   Tobramycin sulfate   
Enjeksiyon   Ceftazidime 0,125 mg/ml
37°C
8 Zaman
Belirtilmemiş 2369
Kanıt düzeyi B
Poliolefin Yok 0,80 mg/ml
Enjeksiyon   Tobramycin sulfate   
Enjeksiyon   Linezolid 1,80 mg/ml
23°C
1 Gün
Işıktan koruyunuz 2353
Kanıt düzeyi B+
Poliolefin Yok 0,80 mg/ml
Enjeksiyon   Tobramycin sulfate   
Enjeksiyon   Linezolid 1,80 mg/ml
4°C
7 Gün
Işıktan koruyunuz 2353
Kanıt düzeyi B+

  Mentions Légales